



Abstract:3D face reconstruction (3DFR) algorithms are based on specific assumptions tailored to the limits and characteristics of the different application scenarios. In this study, we investigate how multiple state-of-the-art 3DFR algorithms can be used to generate a better representation of subjects, with the final goal of improving the performance of face recognition systems in challenging uncontrolled scenarios. We also explore how different parametric and non-parametric score-level fusion methods can exploit the unique strengths of multiple 3DFR algorithms to enhance biometric recognition robustness. With this goal, we propose a comprehensive analysis of several face recognition systems across diverse conditions, such as varying distances and camera setups, intra-dataset and cross-dataset, to assess the robustness of the proposed ensemble method. The results demonstrate that the distinct information provided by different 3DFR algorithms can alleviate the problem of generalizing over multiple application scenarios. In addition, the present study highlights the potential of advanced fusion strategies to enhance the reliability of 3DFR-based face recognition systems, providing the research community with key insights to exploit them in real-world applications effectively. Although the experiments are carried out in a specific face verification setup, our proposed fusion-based 3DFR methods may be applied to other tasks around face biometrics that are not strictly related to identity recognition.




Abstract:The impact of voice disorders is becoming more widely acknowledged as a public health issue. Several machine learning-based classifiers with the potential to identify disorders have been used in recent studies to differentiate between normal and pathological voices and sounds. In this paper, we focus on analyzing the vulnerabilities of these systems by exploring the possibility of attacks that can reverse classification and compromise their reliability. Given the critical nature of personal health information, understanding which types of attacks are effective is a necessary first step toward improving the security of such systems. Starting from the original audios, we implement various attack methods, including adversarial, evasion, and pitching techniques, and evaluate how state-of-the-art disorder detection models respond to them. Our findings identify the most effective attack strategies, underscoring the need to address these vulnerabilities in machine-learning systems used in the healthcare domain.




Abstract:3D face reconstruction (3DFR) algorithms are based on specific assumptions tailored to distinct application scenarios. These assumptions limit their use when acquisition conditions, such as the subject's distance from the camera or the camera's characteristics, are different than expected, as typically happens in video surveillance. Additionally, 3DFR algorithms follow various strategies to address the reconstruction of a 3D shape from 2D data, such as statistical model fitting, photometric stereo, or deep learning. In the present study, we explore the application of three 3DFR algorithms representative of the SOTA, employing each one as the template set generator for a face verification system. The scores provided by each system are combined by score-level fusion. We show that the complementarity induced by different 3DFR algorithms improves performance when tests are conducted at never-seen-before distances from the camera and camera characteristics (cross-distance and cross-camera settings), thus encouraging further investigations on multiple 3DFR-based approaches.




Abstract:The International Fingerprint Liveness Detection Competition (LivDet) is a biennial event that invites academic and industry participants to prove their advancements in Fingerprint Presentation Attack Detection (PAD). This edition, LivDet2023, proposed two challenges, Liveness Detection in Action and Fingerprint Representation, to evaluate the efficacy of PAD embedded in verification systems and the effectiveness and compactness of feature sets. A third, hidden challenge is the inclusion of two subsets in the training set whose sensor information is unknown, testing participants ability to generalize their models. Only bona fide fingerprint samples were provided to participants, and the competition reports and assesses the performance of their algorithms suffering from this limitation in data availability.




Abstract:Fingerprint authentication systems are highly vulnerable to artificial reproductions of fingerprint, called fingerprint presentation attacks. Detecting presentation attacks is not trivial because attackers refine their replication techniques from year to year. The International Fingerprint liveness Detection Competition (LivDet), an open and well-acknowledged meeting point of academies and private companies that deal with the problem of presentation attack detection, has the goal to assess the performance of fingerprint presentation attack detection (FPAD) algorithms by using standard experimental protocols and data sets. Each LivDet edition, held biannually since 2009, is characterized by a different set of challenges against which competitors must be dealt with. The continuous increase of competitors and the noticeable decrease in error rates across competitions demonstrate a growing interest in the topic. This paper reviews the LivDet editions from 2009 to 2021 and points out their evolution over the years.




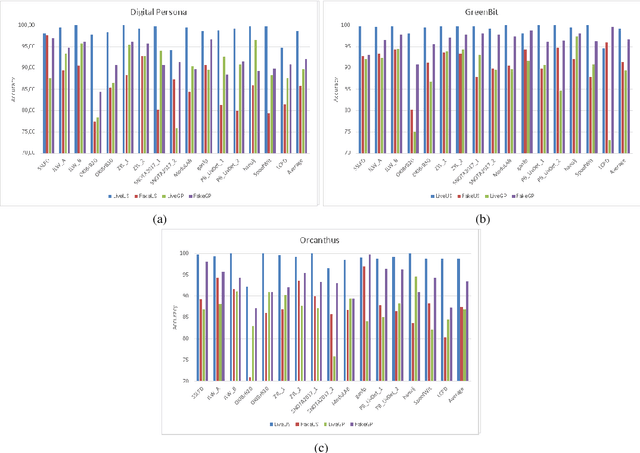
Abstract:The International Fingerprint Liveness Detection Competition is an international biennial competition open to academia and industry with the aim to assess and report advances in Fingerprint Presentation Attack Detection. The proposed "Liveness Detection in Action" and "Fingerprint representation" challenges were aimed to evaluate the impact of a PAD embedded into a verification system, and the effectiveness and compactness of feature sets for mobile applications. Furthermore, we experimented a new spoof fabrication method that has particularly affected the final results. Twenty-three algorithms were submitted to the competition, the maximum number ever achieved by LivDet.




Abstract:We investigated the threat level of realistic attacks using latent fingerprints against sensors equipped with state-of-art liveness detectors and fingerprint verification systems which integrate such liveness algorithms. To the best of our knowledge, only a previous investigation was done with spoofs from latent prints. In this paper, we focus on using snapshot pictures of latent fingerprints. These pictures provide molds, that allows, after some digital processing, to fabricate high-quality spoofs. Taking a snapshot picture is much simpler than developing fingerprints left on a surface by magnetic powders and lifting the trace by a tape. What we are interested here is to evaluate preliminary at which extent attacks of the kind can be considered a real threat for state-of-art fingerprint liveness detectors and verification systems. To this aim, we collected a novel data set of live and spoof images fabricated with snapshot pictures of latent fingerprints. This data set provide a set of attacks at the most favourable conditions. We refer to this method and the related data set as "ScreenSpoof". Then, we tested with it the performances of the best liveness detection algorithms, namely, the three winners of the LivDet competition. Reported results point out that the ScreenSpoof method is a threat of the same level, in terms of detection and verification errors, than that of attacks using spoofs fabricated with the full consensus of the victim. We think that this is a notable result, never reported in previous work.




Abstract:The International Fingerprint liveness Detection Competition (LivDet) is an open and well-acknowledged meeting point of academies and private companies that deal with the problem of distinguishing images coming from reproductions of fingerprints made of artificial materials and images relative to real fingerprints. In this edition of LivDet we invited the competitors to propose integrated algorithms with matching systems. The goal was to investigate at which extent this integration impact on the whole performance. Twelve algorithms were submitted to the competition, eight of which worked on integrated systems.




Abstract:Fingerprint Presentation Attack Detection (FPAD) deals with distinguishing images coming from artificial replicas of the fingerprint characteristic, made up of materials like silicone, gelatine or latex, and images coming from alive fingerprints. Images are captured by modern scanners, typically relying on solid-state or optical technologies. Since from 2009, the Fingerprint Liveness Detection Competition (LivDet) aims to assess the performance of the state-of-the-art algorithms according to a rigorous experimental protocol and, at the same time, a simple overview of the basic achievements. The competition is open to all academics research centers and all companies that work in this field. The positive, increasing trend of the participants number, which supports the success of this initiative, is confirmed even this year: 17 algorithms were submitted to the competition, with a larger involvement of companies and academies. This means that the topic is relevant for both sides, and points out that a lot of work must be done in terms of fundamental and applied research.