


Abstract:As state of the art neural networks (NNs) continue to grow in size, their resource-efficient implementation becomes ever more important. In this paper, we introduce a compression scheme that reduces the number of computations required for NN inference on reconfigurable hardware such as FPGAs. This is achieved by combining pruning via regularized training, weight sharing and linear computation coding (LCC). Contrary to common NN compression techniques, where the objective is to reduce the memory used for storing the weights of the NNs, our approach is optimized to reduce the number of additions required for inference in a hardware-friendly manner. The proposed scheme achieves competitive performance for simple multilayer perceptrons, as well as for large scale deep NNs such as ResNet-34.
Abstract:We propose Multi-Antenna (MA) Towards Inband Shift Keying (TISK): a new multi-carrier radio concept to cope with critical link budgets. In contrast to common proposals that rely on analog beamforming at both transmitter and receiver, MA-TISK does not require beam alignment. The transmitted signals have all constant envelope in continuous time, which allows for efficient, low-cost power amplification and up-conversion. The concept is compatible with any linear PSK-modulation as well as pulse position modulation. Each sub-carrier is sent over a separate antenna that is equipped with a voltage-controlled oscillator. The phases of these oscillators are controlled by digital baseband. Temporal signal combining makes up for the lack of beamforming gain at the transmitter. A common message may be broadcast to many receivers, simultaneously. Demodulation can be efficiently implemented by means of fast Fourier transform. MA-TISK does not suffer from spectral re-growth issues plaguing other constant envelope modulations like GMSK. Almost rectangular signal spectra similar to those for linear modulation with root-raised-cosine pulse shaping are possible. For the 100 MHz-wide spectral mask of 5G downlink, QPSK-modulation allows for 160 MBit/s with 5.74 MHz subcarrier spacing when using 16 transmit antennas. The wide carrier spacing makes the signals insensitive to Doppler effects. There is no loss in link budget gain compared to spatial beamforming at the transmitter.




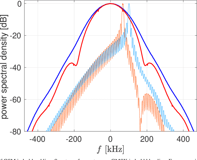
Abstract:Multi-antenna towards inband shift keying is a new continuous phase frequency shift keying that is particularly suited for multi-antenna communications when the link budget is critical. It combines the constant envelope of frequency modulation with low-rate repetition coding in order to make transmit beamforming dispensable. Although it is a frequency modulation, its transmit signal shows close to rectangular spectral shape. Similar to GSM's Gaussian minimum shift keying, it can be well approximated by linear modulation, when combined with differential precoding. This allows for easy coherent demodulation by means of a windowed fast Fourier transform.
Abstract:We revisit existing linear computation coding (LCC) algorithms, and introduce a new framework that measures the computational cost of computing multidimensional linear functions, not only in terms of the number of additions, but also with respect to their suitability for parallel processing. Utilizing directed acyclic graphs, which correspond to signal flow graphs in hardware, we propose a novel LCC algorithm that controls the trade-off between the total number of operations and their parallel executability. Numerical evaluations show that the proposed algorithm, constrained to a fully parallel structure, outperforms existing schemes.




Abstract:Linear computation coding is concerned with the compression of multidimensional linear functions, i.e. with reducing the computational effort of multiplying an arbitrary vector to an arbitrary, but known, constant matrix. This paper advances over the state-of-the art, that is based on a discrete matching pursuit (DMP) algorithm, by a step-wise optimal search. Offering significant performance gains over DMP, it is however computationally infeasible for large matrices and high accuracy. Therefore, a reduced-state algorithm is introduced that offers performance superior to DMP, while still being computationally feasible even for large matrices. Depending on the matrix size, the performance gain over DMP is on the order of at least 10%.



Abstract:This work studies a low-complexity design for reconfigurable intelligent surface (RIS)-aided multiuser multiple-input multiple-output systems. The base station (BS) applies receive antenna selection to connect a subset of its antennas to the available radio frequency chains. For this setting, the BS switching network, uplink precoders, and RIS phase-shifts are jointly designed, such that the uplink sum-rate is maximized. The principle design problem reduces to an NP-hard mixed-integer optimization. We hence invoke the weighted minimum mean squared error technique and the penalty dual decomposition method to develop a tractable iterative algorithm that approximates the optimal design effectively. Our numerical investigations verify the efficiency of the proposed algorithm and its superior performance as compared with the benchmark.


Abstract:Classical antenna selection schemes require instantaneous channel state information (CSI). This leads to high signaling overhead in the system. This work proposes a novel joint receive antenna selection and precoding scheme for multiuser multiple-input multiple-output uplink transmission that relies only on the long-term statistics of the CSI. The proposed scheme designs the switching network and the uplink precoders, such that the expected throughput of the system in the long term is maximized. Invoking results from the random matrix theory, we derive a closed-form expression for the expected throughput of the system. We then develop a tractable iterative algorithm to tackle the throughput maximization problem, capitalizing on the alternating optimization and majorization-maximization (MM) techniques. Numerical results substantiate the efficiency of the proposed approach and its superior performance as compared with the baseline.




Abstract:Since the introduction of massive MIMO (mMIMO), the design of a transceiver with feasible complexity has been a challenging problem. Initially, it was believed that the main issue in this respect is the overall RF-cost. However, as mMIMO is becoming more and more a key technology for future wireless networks, it is realized, that the RF-cost is only one of many implementational challenges and design trade-offs. In this paper, we present, analyze and compare various novel mMIMO architectures, considering recent emerging technologies such as intelligent surface-assisted and Rotman lens based architectures. These are compared to the conventional fully digital (FD) and hybrid analog-digital beamforming (HADB) approaches. To enable a fair comparison, we account for various hardware imperfections and losses and utilize a novel, universal algorithm for signal precoding. Based on our thorough investigations, we draw a generic efficiency to quality trade-off for various mMIMO architectures. We find that in a typical cellular communication setting the reflect/transmit array based architectures sketch the best overall trade-off. Further, we show that in a qualitative ranking the power efficiency of the considered architectures is independent of the frequency range.




Abstract:This paper develops a class of low-complexity device scheduling algorithms for over-the-air federated learning via the method of matching pursuit. The proposed scheme tracks closely the close-to-optimal performance achieved by difference-of-convex programming, and outperforms significantly the well-known benchmark algorithms based on convex relaxation. Compared to the state-of-the-art, the proposed scheme poses a drastically lower computational load on the system: For $K$ devices and $N$ antennas at the parameter server, the benchmark complexity scales with $\left(N^2+K\right)^3 + N^6$ while the complexity of the proposed scheme scales with $K^p N^q$ for some $0 < p,q \leq 2$. The efficiency of the proposed scheme is confirmed via numerical experiments on the CIFAR-10 dataset.




Abstract:Unlike the classical linear model, nonlinear generative models have been addressed sparsely in the literature. This work aims to bring attention to these models and their secrecy potential. To this end, we invoke the replica method to derive the asymptotic normalized cross entropy in an inverse probability problem whose generative model is described by a Gaussian random field with a generic covariance function. Our derivations further demonstrate the asymptotic statistical decoupling of Bayesian inference algorithms and specify the decoupled setting for a given nonlinear model. The replica solution depicts that strictly nonlinear models establish an all-or-nothing phase transition: There exists a critical load at which the optimal Bayesian inference changes from being perfect to an uncorrelated learning. This finding leads to design of a new secure coding scheme which achieves the secrecy capacity of the wiretap channel. The proposed coding has a significantly smaller codebook size compared to the random coding scheme of Wyner. This interesting result implies that strictly nonlinear generative models are perfectly secured without any secure coding. We justify this latter statement through the analysis of an illustrative model for perfectly secure and reliable inference.