Abstract:We introduce the Nemotron 3 family of models - Nano, Super, and Ultra. These models deliver strong agentic, reasoning, and conversational capabilities. The Nemotron 3 family uses a Mixture-of-Experts hybrid Mamba-Transformer architecture to provide best-in-class throughput and context lengths of up to 1M tokens. Super and Ultra models are trained with NVFP4 and incorporate LatentMoE, a novel approach that improves model quality. The two larger models also include MTP layers for faster text generation. All Nemotron 3 models are post-trained using multi-environment reinforcement learning enabling reasoning, multi-step tool use, and support granular reasoning budget control. Nano, the smallest model, outperforms comparable models in accuracy while remaining extremely cost-efficient for inference. Super is optimized for collaborative agents and high-volume workloads such as IT ticket automation. Ultra, the largest model, provides state-of-the-art accuracy and reasoning performance. Nano is released together with its technical report and this white paper, while Super and Ultra will follow in the coming months. We will openly release the model weights, pre- and post-training software, recipes, and all data for which we hold redistribution rights.
Abstract:We present Nemotron 3 Nano 30B-A3B, a Mixture-of-Experts hybrid Mamba-Transformer language model. Nemotron 3 Nano was pretrained on 25 trillion text tokens, including more than 3 trillion new unique tokens over Nemotron 2, followed by supervised fine tuning and large-scale RL on diverse environments. Nemotron 3 Nano achieves better accuracy than our previous generation Nemotron 2 Nano while activating less than half of the parameters per forward pass. It achieves up to 3.3x higher inference throughput than similarly-sized open models like GPT-OSS-20B and Qwen3-30B-A3B-Thinking-2507, while also being more accurate on popular benchmarks. Nemotron 3 Nano demonstrates enhanced agentic, reasoning, and chat abilities and supports context lengths up to 1M tokens. We release both our pretrained Nemotron 3 Nano 30B-A3B Base and post-trained Nemotron 3 Nano 30B-A3B checkpoints on Hugging Face.




Abstract:While machine learning has witnessed significant advancements, the emphasis has largely been on data acquisition and model creation. However, achieving a comprehensive assessment of machine learning solutions in real-world settings necessitates standardization throughout the entire pipeline. This need is particularly acute in time series forecasting, where diverse settings impede meaningful comparisons between various methods. To bridge this gap, we propose a unified benchmarking framework that exposes the crucial modelling and machine learning decisions involved in developing time series forecasting models. This framework fosters seamless integration of models and datasets, aiding both practitioners and researchers in their development efforts. We benchmark recently proposed models within this framework, demonstrating that carefully implemented deep learning models with minimal effort can rival gradient-boosting decision trees requiring extensive feature engineering and expert knowledge.




Abstract:Previous works have demonstrated the importance of considering different modalities on molecules, each of which provide a varied granularity of information for downstream property prediction tasks. Our method combines variants of the recent TransformerM architecture with Transformer, GNN, and ResNet backbone architectures. Models are trained on the 2D data, 3D data, and image modalities of molecular graphs. We ensemble these models with a HuberRegressor. The models are trained on 4 different train/validation splits of the original train + valid datasets. This yields a winning solution to the 2\textsuperscript{nd} edition of the OGB Large-Scale Challenge (2022) on the PCQM4Mv2 molecular property prediction dataset. Our proposed method achieves a test-challenge MAE of $0.0723$ and a validation MAE of $0.07145$. Total inference time for our solution is less than 2 hours. We open-source our code at https://github.com/jfpuget/NVIDIA-PCQM4Mv2.



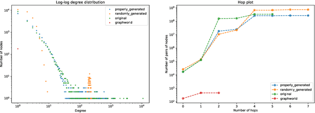
Abstract:Recently there has been increasing interest in developing and deploying deep graph learning algorithms for many graph analysis tasks such as node and edge classification, link prediction, and clustering with numerous practical applications such as fraud detection, drug discovery, or recommender systems. Allbeit there is a limited number of publicly available graph-structured datasets, most of which are tiny compared to production-sized applications with trillions of edges and billions of nodes. Further, new algorithms and models are benchmarked across similar datasets with similar properties. In this work, we tackle this shortcoming by proposing a scalable synthetic graph generation tool that can mimic the original data distribution of real-world graphs and scale them to arbitrary sizes. This tool can be used then to learn a set of parametric models from proprietary datasets that can subsequently be released to researchers to study various graph methods on the synthetic data increasing prototype development and novel applications. Finally, the performance of the graph learning algorithms depends not only on the size but also on the dataset's structure. We show how our framework generalizes across a set of datasets, mimicking both structural and feature distributions as well as its scalability across varying dataset sizes.