Abstract:Harnessing multi-level electron transitions, Rydberg Atomic Receivers (RAREs) can detect wireless signals across a wide range of frequency bands, from Megahertz to Terahertz, enabling multi-band communications and sensing (C&S). Current research on multi-band RAREs primarily focuses on experimental demonstrations, lacking an interpretable model to mathematically characterize their mechanisms. This issue leaves the multi-band RARE as a black box, posing challenges in its practical C&S applications. To fill in this gap, this paper investigates the underlying mechanism of multi-band RAREs and explores their optimal performance. For the first time, the closed-form expression of the transfer function of a multi-band RARE is derived by solving the quantum response of Rydberg atoms excited by multi-band signals. The function reveals that a multiband RARE simultaneously serves as both a multi-band atomic mixer for down-converting multi-band signals and a multi-band atomic amplifier that reflects its sensitivity to each band. Further analysis of the atomic amplifier unveils that the gain factor at each frequency band can be decoupled into a global gain term and a Rabi attention term. The former determines the overall sensitivity of a RARE to all frequency bands of wireless signals. The latter influences the allocation of the overall sensitivity to each frequency band, representing a unique attention mechanism of multi-band RAREs. The optimal design of the global gain is provided to maximize the overall sensitivity of multi-band RAREs. Subsequently, the optimal Rabi attentions are also derived to maximize the practical multi-band C&S performance. Numerical results confirm the effectiveness of the derived transfer function and the superiority of multi-band RAREs.




Abstract:The advancement of Rydberg Atomic REceiver (RARE) is driving a paradigm shift in electromagnetic (EM) wave measurement. RAREs utilize the electron transition phenomenon of highly-excited atoms to interact with EM waves, thereby enabling wireless signal detection. Operating at the quantum scale, such new receivers have the potential to breakthrough the sensitivity limit of classical receivers, sparking a revolution in physical-layer wireless communications. The objective of this paper is to offer insights into RARE-aided communication systems. We first provide a comprehensive introduction to the fundamental principles of RAREs. Then, a thorough comparison between RAREs and classical receivers is conducted in terms of the antenna size, sensitivity, coverage, and bandwidth. Subsequently, we overview the state-of-the-art design in RARE-aided wireless communications, exploring the latest progresses in frequency-division multiplexing, multiple-input-multiple-output, wireless sensing, and quantum many-body techniques. Finally, we highlight several wireless-communication related open problems as important research directions.
Abstract:Leveraging the strong atom-light interaction, Rydberg atomic receivers significantly enhance the sensitivity of electromagnetic signal measurements, outperforming traditional antennas. Existing research primarily focuses on improving the architecture and signal detection algorithms of atomic receivers, while established signal processing schemes at the transmitter end have remained constant. However, these schemes fail to maximize the throughput of atomic receivers due to the nonlinearity of transmission model. To address this issue, we propose to design transmitter precoding in multiple-input multiple-output systems to achieve the capacity of atomic receivers. Initially, we harness a strong reference approximation to convert the nonlinear magnitude-detection model of atomic receivers into a linear real-part detector. Based on this approximation, we prove that the degree of freedom is min{Nr/2,Nt} for a MIMO system comprising an Nr-antenna atomic receiver and an Nt-antenna classic transmitter. To achieve the system capacity, we propose an IQ-aware fully digital precoding method. Unlike traditional complex-valued digital precoders that jointly manipulate the inphase and quadrature (IQ) symbols, our method employs four real matrices to independently precode the IQ baseband symbols, which is shown to be optimal for atomic receivers. Then, to eliminate the reliance on fully digital precoding architecture, we further explore IQ-aware hybrid precoding techniques. Our design incorporates a low-dimensional IQ-aware digital precoder and a high-dimensional complex analog precoder. Alternating minimization algorithms are proposed to produce IQ-aware hybrid precoders, with the objective of approaching the optimal IQ-aware fully digital precoder. Simulation results validate the superiority of proposed IQ-aware precoding methods over existing techniques in atomic MIMO communications.




Abstract:Near-field beam training is essential for acquiring channel state information in 6G extremely large-scale multiple input multiple output (XL-MIMO) systems. To achieve low-overhead beam training, existing method has been proposed to leverage the near-field beam split effect, which deploys true-time-delay arrays to simultaneously search multiple angles of the entire angular range in a distance ring with a single pilot. However, the method still requires exhaustive search in the distance domain, which limits its efficiency. To address the problem, we propose a distance-dependent beam-split-based beam training method to further reduce the training overheads. Specifically, we first reveal the new phenomenon of distance-dependent beam split, where by manipulating the configurations of time-delay and phase-shift, beams at different frequencies can simultaneously scan the angular domain in multiple distance rings. Leveraging the phenomenon, we propose a near-field beam training method where both different angles and distances can simultaneously be searched in one time slot. Thus, a few pilots are capable of covering the whole angle-distance space for wideband XL-MIMO. Theoretical analysis and numerical simulations are also displayed to verify the superiority of the proposed method on beamforming gain and training overhead.
Abstract:By deploying a large number of antennas with sub-half-wavelength spacing in a compact space, dense array systems(DASs) can fully unleash the multiplexing-and-diversity gains of limited apertures. To acquire these gains, accurate channel state information acquisition is necessary but challenging due to the large antenna numbers. To overcome this obstacle, this paper reveals that exploiting the high spatial correlation of DAS channels is crucial while designing the observation matrix for optimal/near-optimal channel estimation. Firstly, we prove that the observation matrix design is equivalent to a time-domain duality of multiple-input multiple-output precoding, which can be ideally addressed by the water-filling principle. For practical realizations, a novel ice-filling algorithm is proposed to design amplitude-and-phase controllable observation matrices, and a majorization-minimization algorithm is proposed to address the phase-only controllable case. Particularly, we prove that the ice-filling algorithm can be viewed as a ``quantized" water-filling algorithm. To support the sub-optimality of the proposed designs, we provide comprehensive analyses on the achievable mean square errors and their asymptotic expressions. Finally, numerical simulations verify that our proposed channel estimation designs can achieve the near-optimal performance and outperform existing approaches significantly.




Abstract:Channel prediction is critical to address the channel aging issue in mobile scenarios. Existing channel prediction techniques are mainly designed for discrete channel prediction, which can only predict the future channel in a fixed time slot per frame, while the other intra-frame channels are usually recovered by interpolation. However, these approaches suffer from a serious interpolation loss, especially for mobile millimeter wave communications. To solve this challenging problem, we propose a tensor neural ordinary differential equation (TN-ODE) based continuous-time channel prediction scheme to realize the direct prediction of intra-frame channels. Specifically, inspired by the recently developed continuous mapping model named neural ODE in the field of machine learning, we first utilize the neural ODE model to predict future continuous-time channels. To improve the channel prediction accuracy and reduce computational complexity, we then propose the TN-ODE scheme to learn the structural characteristics of the high-dimensional channel by low dimensional learnable transform. Simulation results show that the proposed scheme is able to achieve higher intra-frame channel prediction accuracy than existing schemes.




Abstract:Massive multiple-input multiple-output (MIMO) for 5G is evolving into the extremely large-scale antenna array (ELAA) to increase the spectrum efficiency by orders of magnitude for 6G communications. ELAA introduces spherical-wave-based near-field communications, where channel capacity can be significantly improved for single-user and multi-user scenarios. Unfortunately, for the widely studied uniform linear array (ULA), the near-field regions at large incidence angles will be reduced. Thus, many users randomly distributed in a cell may fail to benefit from near-field communications. In this paper, we leverage the rotational symmetry of uniform circular array (UCA) to provide uniform and enlarged near-field region for all users in a cell, enabling more users to benefit from near-field communications. Specifically, by exploiting the geometrical relationship between UCA and user with the spherical-wave model, the near-field beamforming technique for UCA is developed for the first time. Based on the analysis of near-field beamforming, we reveal that UCA is able to provide a larger near-field region than ULA in terms of the effective Rayleigh distance. Moreover, based on the UCA beamforming property, a concentric-ring codebook is designed to realize efficient beamforming in the near-field region of UCA. In addition, we find out that UCA could generate orthogonal near-field beams along the same direction, which has the potential for further improvement of multi-user capacity compared with ULA. Simulation results are provided to verify the feasibility of UCA to enable more users to benefit from near-field communications by broadening the near-field region.
Abstract:Extremely large-scale multiple-input-multiple-output (XL-MIMO) at millimeter-wave (mmWave) and terahertz (THz) bands plays an important role in supporting extreme high beamforming gain as well as ultra-wideband spectrum resources. Unfortunately, accurate wideband XL-MIMO channel estimation suffers from the new challenge called as the near-field beam split effect. Prior works either neglect the accurate near-field channel model or fail to exploit the beam split effect, resulting in poor channel estimation accuracy for wideband XL-MIMO. To tackle this problem, this paper proposes a bilinear pattern detection (BPD) based approach to accurately recover the wideband XL-MIMO channel. Specifically, by analyzing the characteristics of near-field wideband channels, we first reveal the bilinear pattern of the near-field beam split effect, which implies that the sparse support set of near-field channels in both the angle and the distance domains can be regarded as a linear function against frequency. Then, inspired by the classical simultaneously orthogonal matching pursuit technique, we use the bilinear pattern to estimate the angle-of-arrival (AoA) and distance parameters of each near-field path component at all frequencies. In this way, the entire wideband XL-MIMO channel can be recovered by compressed sensing algorithms. Moreover, we provide the computational complexity of the proposed algorithm compared with existing algorithms. Finally, simulation results demonstrate that our scheme can achieve the accurate estimation of the near-field wideband XL-MIMO channel in the presence of near-field beam split effect.



Abstract:Spatial division multiple access (SDMA) is essential in supporting multiple user transmissions in multiple-input multiple-output (MIMO) communications. Classical 5G massive MIMO SDMA relies on the orthogonality in far-field areas to distinguish multiple users residing at different angles, which fails to make full use of the spatial resources. With the dramatically increasing number of antennas, the extremely large-scale antenna array (ELAA) introduces the additional spatial resolution in the distance domain, which provides a new dimension for enhancing multiple accessibility in the near-field region. In this paper, we propose the concept of location division multiple access (LDMA), which elaborately exploit the spatial resources to serve multiple users at different locations. Specifically, unlike classical far-field beamsteering vectors which focus on specific angles, near-field beamfocusing vectors are capable of focusing on specific locations with managed leakage energy on other locations. The near-field focusing property could be leveraged to mitigate the interference from users at the same angle to enhance the multiple accessibility. Similar to the asymptotic angular orthogonality of far-field beamsteering vectors, the asymptotic orthogonality of near-field beamfocusing in the distance domain is investigated. Near-field codebook design is critical to support multiple transmission services. An alternate algorithm based on generalized Lloyd algorithm (GLA) and heuristic spherical sampling method is proposed for uniform planar array (UPA) codebook design. Based on the near-field codebook, LDMA scheme is investigated, comprising the beam training, uplink channel estimation and downlink transmission procedure. Simulation results verify the superiority of proposed LDMA scheme on spectral efficiency over different scenarios.




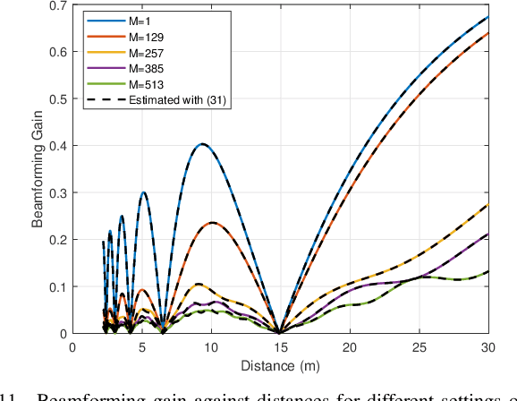
Abstract:Wideband extremely large-scale multiple-input-multiple-output (XL-MIMO) is a promising technique to achieve Tbps data rates in future 6G systems through beamforming and spatial multiplexing. Due to the extensive bandwidth and the huge number of antennas for wideband XL-MIMO, a significant near-field beam split effect will be induced, where beams at different frequencies are focused on different locations. The near-field beam split effect results in a severe array gain loss, so existing works mainly focus on compensating for this loss by utilizing the time delay (TD) beamformer. By contrast, this paper demonstrates that although the near-field beam split effect degrades the array gain, it also provides a new possibility to realize fast near-field beam training. Specifically, we first reveal the mechanism of the near-field controllable beam split effect. This effect indicates that, by dedicatedly designing the delay parameters, a TD beamformer is able to control the degree of the near-field beam split effect, i.e., beams at different frequencies can flexibly occupy the desired location range. Due to the similarity with the dispersion of natural light caused by a prism, this effect is also termed as the near-field rainbow in this paper. Then, taking advantage of the near-field rainbow effect, a fast wideband beam training scheme is proposed. In our scheme, the close form of the beamforming vector is elaborately derived to enable beams at different frequencies to be focused on different desired locations. By this means, the optimal beamforming vector with the largest array gain can be rapidly searched out by generating multiple beams focused on multiple locations simultaneously through only one radio-frequency (RF) chain. Finally, simulation results demonstrate the proposed scheme is able to realize near-optimal nearfield beam training with a very low training overhead.