Centre for Wireless Communications




Abstract:6G must be designed to withstand, adapt to, and evolve amid prolonged, complex disruptions. Mobile networks' shift from efficiency-first to sustainability-aware has motivated this white paper to assert that resilience is a primary design goal, alongside sustainability and efficiency, encompassing technology, architecture, and economics. We promote resilience by analysing dependencies between mobile networks and other critical systems, such as energy, transport, and emergency services, and illustrate how cascading failures spread through infrastructures. We formalise resilience using the 3R framework: reliability, robustness, resilience. Subsequently, we translate this into measurable capabilities: graceful degradation, situational awareness, rapid reconfiguration, and learning-driven improvement and recovery. Architecturally, we promote edge-native and locality-aware designs, open interfaces, and programmability to enable islanded operations, fallback modes, and multi-layer diversity (radio, compute, energy, timing). Key enablers include AI-native control loops with verifiable behaviour, zero-trust security rooted in hardware and supply-chain integrity, and networking techniques that prioritise critical traffic, time-sensitive flows, and inter-domain coordination. Resilience also has a techno-economic aspect: open platforms and high-quality complementors generate ecosystem externalities that enhance resilience while opening new markets. We identify nine business-model groups and several patterns aligned with the 3R objectives, and we outline governance and standardisation. This white paper serves as an initial step and catalyst for 6G resilience. It aims to inspire researchers, professionals, government officials, and the public, providing them with the essential components to understand and shape the development of 6G resilience.




Abstract:Radio frequency (RF) wireless power transfer (WPT) is a promising technology to seamlessly charge low-power devices, but its low end-to-end power transfer efficiency remains a critical challenge. To address the latter, low-cost transmit/radiating architectures, e.g., based on reconfigurable intelligent surfaces (RISs), have shown great potential. Beyond diagonal (BD) RIS is a novel branch of RIS offering enhanced performance over traditional diagonal RIS (D-RIS) in wireless communications, but its potential gains in RF-WPT remain unexplored. Motivated by this, we analyze a BD-RIS-assisted single-antenna RF-WPT system to charge a single rectifier, and formulate a joint beamforming and multi-carrier waveform optimization problem aiming to maximize the harvested power. We propose two solutions relying on semi-definite programming for fully connected BD-RIS and an efficient low-complexity iterative method relying on successive convex approximation. Numerical results show that the proposed algorithms converge to a local optimum and that adding transmit sub-carriers or RIS elements improves the harvesting performance. We show that the transmit power budget impacts the relative power allocation among different sub-carriers depending on the rectifier's operating regime, while BD-RIS shapes the cascade channel differently for frequency-selective and flat scenarios. Finally, we verify by simulation that BD-RIS and D-RIS achieve the same performance under pure far-field line-of-sight conditions (in the absence of mutual coupling). Meanwhile, BD-RIS outperforms D-RIS as the non-line-of-sight components of the channel become dominant.




Abstract:Wireless communication systems must increasingly support a multitude of machine-type communications (MTC) devices, thus calling for advanced strategies for active user detection (AUD). Recent literature has delved into AUD techniques based on compressed sensing, highlighting the critical role of signal sparsity. This study investigates the relationship between frequency diversity and signal sparsity in the AUD problem. Single-antenna users transmit multiple copies of non-orthogonal pilots across multiple frequency channels and the base station independently performs AUD in each channel using the orthogonal matching pursuit algorithm. We note that, although frequency diversity may improve the likelihood of successful reception of the signals, it may also damage the channel sparsity level, leading to important trade-offs. We show that a sparser signal significantly benefits AUD, surpassing the advantages brought by frequency diversity in scenarios with limited temporal resources and/or high numbers of receive antennas. Conversely, with longer pilots and fewer receive antennas, investing in frequency diversity becomes more impactful, resulting in a tenfold AUD performance improvement.




Abstract:Managing inter-cell interference is among the major challenges in a wireless network, more so when strict quality of service needs to be guaranteed such as in ultra-reliable low latency communications (URLLC) applications. This study introduces a novel intelligent interference management framework for a local 6G network that allocates resources based on interference prediction. The proposed algorithm involves an advanced signal pre-processing technique known as empirical mode decomposition followed by prediction of each decomposed component using the sequence-to-one transformer algorithm. The predicted interference power is then used to estimate future signal-to-interference plus noise ratio, and subsequently allocate resources to guarantee the high reliability required by URLLC applications. Finally, an interference cancellation scheme is explored based on the predicted interference signal with the transformer model. The proposed sequence-to-one transformer model exhibits its robustness for interference prediction. The proposed scheme is numerically evaluated against two baseline algorithms, and is found that the root mean squared error is reduced by up to 55% over a baseline scheme.




Abstract:Radio frequency (RF) wireless power transfer (WPT) is a promising charging technology for future wireless systems. However, low end-to-end power transfer efficiency (PTE) is a critical challenge for practical implementations. One of the main inefficiency sources is the power consumption and loss of key components such as the high-power amplifier (HPA) and rectenna, which must be considered for PTE optimization. Herein, we investigate the power consumption of an RF-WPT system considering the emerging dynamic metasurface antenna (DMA) as the transmitter. Moreover, we incorporate the HPA and rectenna non-linearities and consider the Doherty HPA to reduce power consumption. We provide a mathematical framework to calculate each user's harvested power from multi-tone signal transmissions and the system power consumption. Then, the waveform and beamforming are designed using swarm-based intelligence to minimize power consumption while satisfying the users' energy harvesting (EH) requirements. Numerical results manifest that increasing the number of transmit tones enhances the performance in terms of coverage probability and power consumption since the HPAs operate below the saturation region in the simulation setup and the EH non-linearity is the dominant factor. Finally, our findings demonstrate that a properly shaped DMA may outperform a fully-digital antenna of the same size.




Abstract:Radio frequency (RF) wireless power transfer (WPT) is a promising technology for Internet of Things networks. However, RF-WPT is still energy inefficient, calling for advances in waveform optimization, distributed antenna, and energy beamforming (EB). In particular, EB can compensate for the severe propagation loss by directing beams toward the devices. The EB flexibility depends on the transmitter architecture, existing a trade-off between cost/complexity and degrees of freedom. Thus, simpler architectures such as dynamic metasurface antennas (DMAs) are gaining attention. Herein, we consider an RF-WPT system with a transmit DMA for meeting the EH requirements of multiple devices and formulate an optimization problem for the minimum-power design. First, we provide a mathematical model to capture the frequency-dependant signal propagation effect in the DMA architecture. Next, we propose a solution based on semi-definite programming and alternating optimization. Results show that a DMA-based implementation can outperform a fully-digital structure and that utilizing a larger antenna array can reduce the required transmit power, while the operation frequency does not influence much the performance.




Abstract:Effective resource allocation is a crucial requirement to achieve the stringent performance targets of ultra-reliable low-latency communication (URLLC) services. Predicting future interference and utilizing it to design efficient interference management algorithms is one way to allocate resources for URLLC services effectively. This paper proposes an empirical mode decomposition (EMD) based hybrid prediction method to predict the interference and allocate resources for downlink based on the prediction results. EMD is used to decompose the past interference values faced by the user equipment. Long short-term memory and auto-regressive integrated moving average methods are used to predict the decomposed components. The final predicted interference value is reconstructed using individual predicted values of decomposed components. It is found that such a decomposition-based prediction method reduces the root mean squared error of the prediction by $20 - 25\%$. The proposed resource allocation algorithm utilizing the EMD-based interference prediction was found to meet near-optimal allocation of resources and correspondingly results in $2-3$ orders of magnitude lower outage compared to state-of-the-art baseline prediction algorithm-based resource allocation.




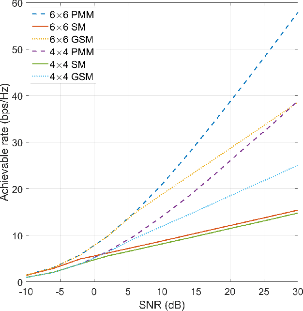
Abstract:We propose a novel scheme that allows MIMO system to modulate a set of permutation matrices to send more information bits, extending our initial work on the topic. This system is called Permutation Matrix Modulation (PMM). The basic idea is to employ a permutation matrix as a precoder and treat it as a modulated symbol. We continue the evolution of index modulation in MIMO by adopting all-antenna activation and obtaining a set of unique symbols from altering the positions of the antenna transmit power. We provide the analysis of the achievable rate of PMM under Gaussian Mixture Model (GMM) distribution and evaluate the numerical results by comparing it with the other existing systems. The result shows that PMM outperforms the existing systems under a fair parameter setting. We also present a way to attain the optimal achievable rate of PMM by solving a maximization problem via interior-point method. A low complexity detection scheme based on zero-forcing (ZF) is proposed, and maximum likelihood (ML) detection is discussed. We demonstrate the trade-off between simulation of the symbol error rate (SER) and the computational complexity where ZF performs worse in the SER simulation but requires much less computational complexity than ML.




Abstract:Multi-user shared access (MUSA) is introduced as advanced code domain non-orthogonal complex spreading sequences to support a massive number of machine-type communications (MTC) devices. In this paper, we propose a novel deep neural network (DNN)-based multiple user detection (MUD) for grant-free MUSA systems. The DNN-based MUD model determines the structure of the sensing matrix, randomly distributed noise, and inter-device interference during the training phase of the model by several hidden nodes, neuron activation units, and a fit loss function. The thoroughly learned DNN model is capable of distinguishing the active devices of the received signal without any a priori knowledge of the device sparsity level and the channel state information. Our numerical evaluation shows that with a higher percentage of active devices, the DNN-MUD achieves a significantly increased probability of detection compared to the conventional approaches.




Abstract:Grant-free random access and uplink non-orthogonal multiple access (NOMA) have been introduced to reduce transmission latency and signaling overhead in massive machine-type communication (mMTC). In this paper, we propose two novel group-based deep neural network active user detection (AUD) schemes for the grant-free sparse code multiple access (SCMA) system in mMTC uplink framework. The proposed AUD schemes learn the nonlinear mapping, i.e., multi-dimensional codebook structure and the channel characteristic. This is accomplished through the received signal which incorporates the sparse structure of device activity with the training dataset. Moreover, the offline pre-trained model is able to detect the active devices without any channel state information and prior knowledge of the device sparsity level. Simulation results show that with several active devices, the proposed schemes obtain more than twice the probability of detection compared to the conventional AUD schemes over the signal to noise ratio range of interest.