



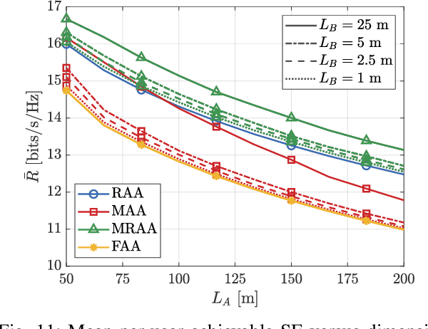
Abstract:Multi-User Multiple-Input Multiple-Output (MU-MIMO) is a pivotal technology in present-day wireless communication systems. In such systems, a base station or Access Point (AP) is equipped with multiple antenna elements and serves multiple active devices simultaneously. Nevertheless, most of the works evaluating the performance of MU-MIMO systems consider APs with static antenna arrays, that is, without any movement capability. Recently, the idea of APs and antenna arrays that are able to move have gained traction among the research community. Many works evaluate the communications performance of antenna systems able to move on the horizontal plane. However, such APs require a very bulky, complex and expensive movement system. In this work, we propose a simpler and cheaper alternative: the utilization of rotary APs, i.e. APs that can rotate. We also analyze the performance of a system in which the AP is able to both move and rotate. The movements and/or rotations of the APs are computed in order to maximize the mean per-user achievable spectral efficiency, based on estimates of the locations of the active devices and using particle swarm optimization. We adopt a spatially correlated Rician fading channel model, and evaluate the resulting optimized performance of the different setups in terms of mean per-user achievable spectral efficiencies. Our numerical results show that both the optimal rotations and movements of the APs can provide substantial performance gains when the line-of-sight components of the channel vectors are strong. Moreover, the simpler rotary APs can outperform the movable APs when their movement area is constrained.




Abstract:The Fifth-Generation (5G) wireless communications networks introduced native support for Machine-Type Communications (MTC) use cases. Nevertheless, current 5G networks cannot fully meet the very stringent requirements regarding latency, reliability, and number of connected devices of most MTC use cases. Industry and academia have been working on the evolution from 5G to Sixth Generation (6G) networks. One of the main novelties is adopting Distributed Multiple-Input Multiple-Output (D-MIMO) networks. However, most works studying D-MIMO consider antenna arrays with no movement capabilities, even though some recent works have shown that this could bring substantial performance improvements. In this work, we propose the utilization of Access Points (APs) equipped with Rotary Uniform Linear Arrays (RULAs) for this purpose. Considering a spatially correlated Rician fading model, the optimal angular position of the RULAs is jointly computed by the central processing unit using particle swarm optimization as a function of the position of the active devices. Considering the impact of imperfect positioning estimates, our numerical results show that the RULAs's optimal rotation brings substantial performance gains in terms of mean per-user spectral efficiency. The improvement grows with the strength of the line-of-sight components of the channel vectors. Given the total number of antenna elements, we study the trade-off between the number of APs and the number of antenna elements per AP, revealing an optimal number of APs for the cases of APs equipped with static ULAs and RULAs.




Abstract:Contemporary wireless communication systems rely on Multi-User Multiple-Input Multiple-Output (MU-MIMO) techniques. In such systems, each Access Point (AP) is equipped with multiple antenna elements and serves multiple devices simultaneously. Notably, traditional systems utilize fixed antennas, i.e., antennas without any movement capabilities, while the idea of movable antennas has recently gained traction among the research community. By moving in a confined region, movable antennas are able to exploit the wireless channel variation in the continuous domain. This additional degree of freedom may enhance the quality of the wireless links, and consequently the communication performance. However, movable antennas for MU-MIMO proposed in the literature are complex, bulky, expensive and present a high power consumption. In this paper, we propose an alternative to such systems that has lower complexity and lower cost. More specifically, we propose the incorporation of rotation capabilities to APs equipped with Uniform Linear Arrays (ULAs) of antennas. We consider the uplink of an indoor scenario where the AP serves multiple devices simultaneously. The optimal rotation of the ULA is computed based on estimates of the positions of the active devices and aiming at maximizing the per-user mean achievable Spectral Efficiency (SE). Adopting a spatially correlated Rician channel model, our numerical results show that the rotation capabilities of the AP can bring substantial improvements in the SE in scenarios where the line-of-sight component of the channel vectors is strong. Moreover, our proposed system is robust against imperfect positioning estimates.




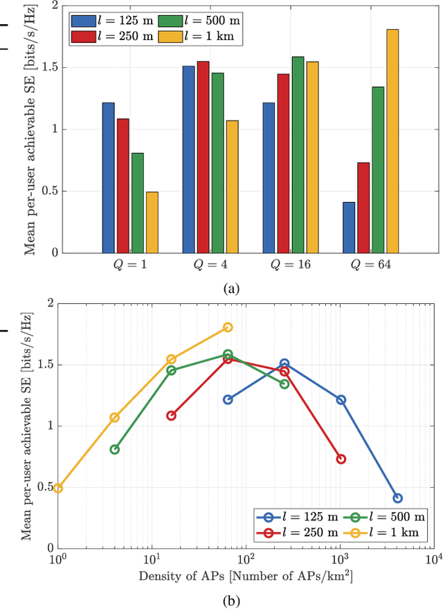
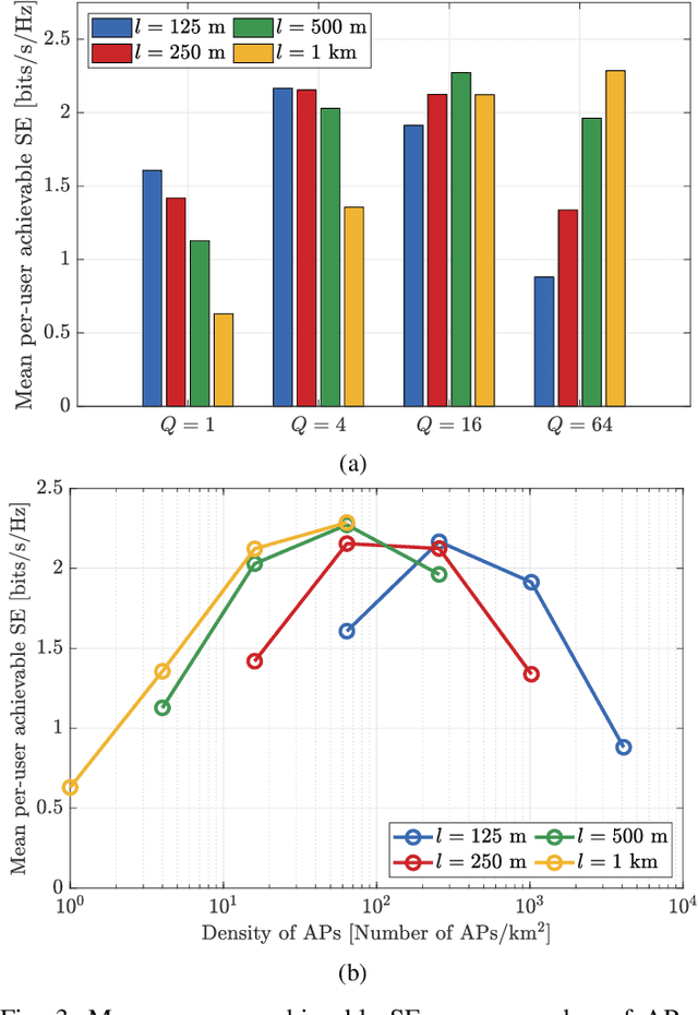
Abstract:Industry and academia have been working towards the evolution from Centralized massive Multiple-Input Multiple-Output (CmMIMO) to Distributed mMIMO (DmMIMO) architectures. Instead of splitting a coverage area into many cells, each served by a single Base Station equipped with several antennas, the whole coverage area is jointly covered by several Access Points (AP) equipped with few or single antennas. Nevertheless, when choosing between deploying more APs with few or single antennas or fewer APs equipped with many antennas, one observes an inherent trade-off between the beamforming and macro-diversity gains that has not been investigated in the literature. Given a total number of antenna elements and total downlink power, under a channel model that takes into account a probability of Line-of-Sight (LoS) as a function of the distance between the User Equipments (UEs) and APs, our numerical results show that there exists a ``sweet spot" on the optimal number of APs and of antenna elements per AP which is a function of the physical dimensions of the coverage area.




Abstract:Massive Multiple-Input Multiple-Output (mMIMO) is one of the essential technologies introduced by the Fifth Generation (5G) of wireless communication systems. However, although mMIMO provides many benefits for wireless communications, it cannot ensure uniform wireless coverage and suffers from inter-cell interference inherent to the traditional cellular network paradigm. Therefore, industry and academia are working on the evolution from conventional Centralized mMIMO (CmMIMO) to Distributed mMIMO (DmMIMO) architectures for the Sixth Generation (6G) of wireless networks. Under this new paradigm, several Access Points (APs) are distributed in the coverage area, and all jointly cooperate to serve the active devices. Aiming at Machine-Type Communication (MTC) use cases, we compare the performance of CmMIMO and different DmMIMO deployments in an indoor industrial scenario considering regular and alarm traffic patterns for MTC. Our simulation results show that DmMIMO's performance is often superior to CmMIMO. However, the traditional CmMIMO can outperform DmMIMO when the devices' channels are highly correlated.




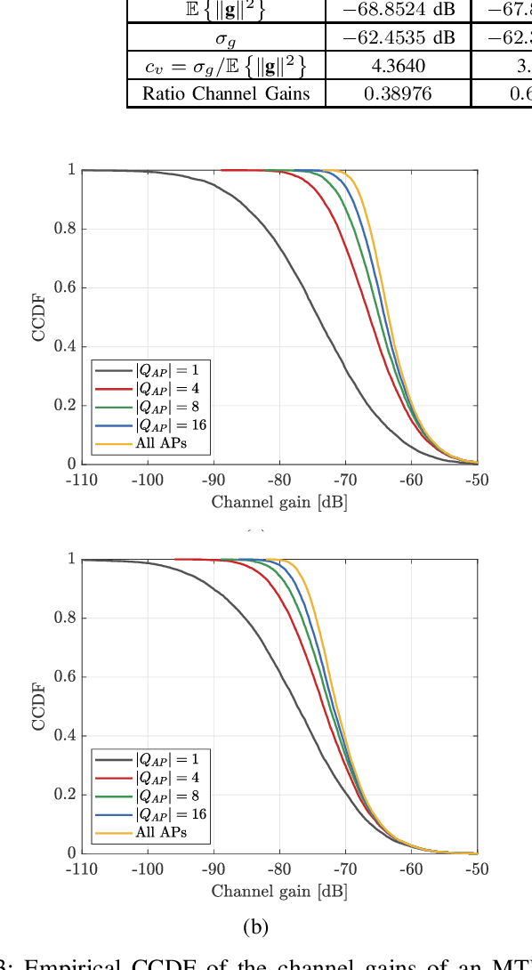
Abstract:The Fifth Generation (5G) of wireless networks introduced native support for Machine-Type Communication (MTC), which is a key enabler for the Internet of Things (IoT) revolution. Current 5G standards are not yet capable of fully satisfying the requirements of critical MTC (cMTC) and massive MTC (mMTC) use cases. This is the main reason why industry and academia have already started working on technical solutions for beyond-5G and Sixth Generation (6G) networks. One technological solution that has been extensively studied is the combination of network densification, massive Multiple-Input Multiple-Output (mMIMO) systems and user-centric design, which is known as distributed mMIMO or Cell-Free (CF) mMIMO. Under this new paradigm, there are no longer cell boundaries: all the Access Points (APs) on the network cooperate to jointly serve all the devices. In this paper, we compare the performance of traditional mMIMO and different distributed mMIMO setups, and quantify the macro diversity and signal spatial diversity performance they provide. Aiming at the uplink in industrial indoor scenarios, we adopt a path loss model based on real measurement campaigns. Monte Carlo simulation results show that the grid deployment of APs provide higher average channel gains, but radio stripes deployments provide lower variability of the received signal strength.




Abstract:Internet of Things (IoT) has triggered a rapid increase in the number of connected devices and new use cases of wireless communications. To meet the new demands, the fifth generation (5G) of wireless communication systems features native machine type communication (MTC) services in addition to traditional human type communication (HTC) services. Some of the main challenges are the heterogeneous requirements and the sporadic traffic of massive MTC (mMTC), which makes the orthogonal allocation of resources infeasible. To overcome this problem, grant free non-orthogonal multiple access schemes have been proposed alongside with sparse signal recovery algorithms. While most of the related works have considered only homogeneous networks, we focus on a scenario where an enhanced mobile broadband (eMBB) device and multiple MTC devices share the same radio resources. We exploit the approximate message passing (AMP) algorithm for joint device activity detection and channel estimation of MTC devices in the presence of interference from eMBB, and evaluate the system performance in terms of receiver operating characteristics (ROC) and channel estimation errors. Moreover, we also propose two new pilot sequence generation strategies which improve the detection capabilities of the MTC receiver without affecting the eMBB service.




Abstract:In this work we study the coexistence in the same Radio Access Network (RAN) of two generic services present in the Fifth Generation (5G) of wireless communication systems: enhanced Mobile BroadBand (eMBB) and massive Machine-Type Communications (mMTC). eMBB services are requested for applications that demand extremely high data rates and moderate requirements on latency and reliability, whereas mMTC enables applications for connecting a massive number of low-power and low-complexity devices. The coexistence of both services is enabled by means of network slicing and Non-Orthogonal Multiple Access (NOMA) with Successive Interference Cancellation (SIC) decoding. Under the orthogonal slicing, the radio resources are exclusively allocated to each service, while in the non-orthogonal slicing the traffics from both services overlap in the same radio resources. We evaluate the uplink performance of both services in a scenario with a multi-antenna Base Station (BS). Our simulation results show that the performance gains obtained through multiple receive antennas are more accentuated for the non-orthogonal slicing than for the orthogonal allocation of resources, such that the non-orthogonal slicing outperforms its orthogonal counterpart in terms of achievable data rates or number of connected devices as the number of receive antennas increases.




Abstract:The 5G systems will feature three generic services: enhanced Mobile BroadBand (eMBB), massive Machine-Type Communications (mMTC) and Ultra-Reliable and Low-Latency Communications (URLLC). The diverse requirements of these services in terms of data-rates, number of connected devices, latency and reliability can lead to a sub-optimal use of the 5G network, thus network slicing is proposed as a solution that creates customized slices of the network specifically designed to meet the requirements of each service. Under the network slicing, the radio resources can be shared in orthogonal and non-orthogonal schemes. Motivated by Industrial Internet of Things (IIoT) scenarios where a large number of sensors may require connectivity with stringent requirements of latency and reliability, we propose the use of Non-Orthogonal Multiple Access (NOMA) to improve the number of URLLC users that are connected in the uplink to the same base station (BS), for both orthogonal and non-orthogonal network slicing with eMBB users. The multiple URLLC users transmit simultaneously and across multiple frequency channels. We set the reliability requirements for the two services and analyze their pair of sum rates. We show that, even with overlapping transmissions from multiple eMBB and URLLC users, the use of NOMA techniques allows us to guarantee the reliability requirements for both services.