Abstract:In this study, we investigate feature-based 2.5D controlled source marine electromagnetic (mCSEM) data inversion using generative priors. Two-and-half dimensional modeling using finite difference method (FDM) is adopted to compute the response of horizontal electric dipole (HED) excitation. Rather than using a neural network to approximate the entire inverse mapping in a black-box manner, we adopt a plug-andplay strategy in which a variational autoencoder (VAE) is used solely to learn prior information on conductivity distributions. During the inversion process, the conductivity model is iteratively updated using the Gauss Newton method, while the model space is constrained by projections onto the learned VAE decoder. This framework preserves explicit control over data misfit and enables flexible adaptation to different survey configurations. Numerical and field experiments demonstrate that the proposed approach effectively incorporates prior information, improves reconstruction accuracy, and exhibits good generalization performance.




Abstract:Electromagnetic (EM) imaging is an important tool for non-invasive sensing with low-cost and portable devices. One emerging application is EM stroke imaging, which enables early diagnosis and continuous monitoring of brain strokes. Quantitative imaging is achieved by solving an inverse scattering problem (ISP) that reconstructs permittivity and conductivity maps from measurements. In general, the reconstruction accuracy is limited by its inherent nonlinearity and ill-posedness. Existing methods, including learning-free and learning-based approaches, fail to either incorporate complicated prior distributions or provide theoretical guarantees, posing difficulties in balancing interpretability, distortion error, and reliability. To overcome these limitations, we propose a posterior sampling method based on latent diffusion for quantitative EM brain imaging, adapted from a generative plug-and-play (PnP) posterior sampling framework. Our approach allows to flexibly integrate prior knowledge into physics-based inversion without requiring paired measurement-label datasets. We first learn the prior distribution of targets from an unlabeled dataset, and then incorporate the learned prior into posterior sampling. In particular, we train a latent diffusion model on permittivity and conductivity maps to capture their prior distribution. Then, given measurements and the forward model describing EM wave physics, we perform posterior sampling by alternating between two samplers that respectively enforce the likelihood and prior distributions. Finally, reliable reconstruction is obtained through minimum mean squared error (MMSE) estimation based on the samples. Experimental results on brain imaging demonstrate that our approach achieves state-of-the-art performance in reconstruction accuracy and structural similarity while maintaining high measurement fidelity.




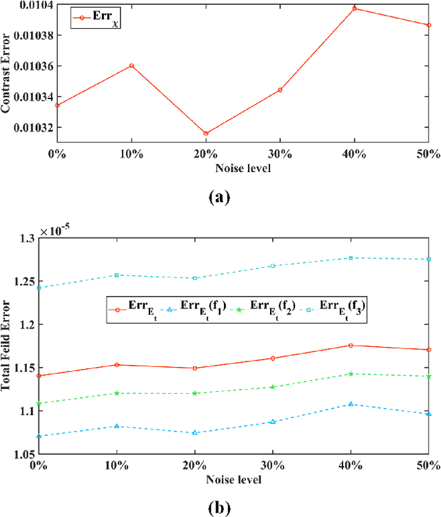
Abstract:In this work, we propose a deep learning-based imaging method for addressing the multi-frequency electromagnetic (EM) inverse scattering problem (ISP). By combining deep learning technology with EM physical laws, we have successfully developed a multi-frequency neural Born iterative method (NeuralBIM), guided by the principles of the single-frequency NeuralBIM. This method integrates multitask learning techniques with NeuralBIM's efficient iterative inversion process to construct a robust multi-frequency Born iterative inversion model. During training, the model employs a multitask learning approach guided by homoscedastic uncertainty to adaptively allocate the weights of each frequency's data. Additionally, an unsupervised learning method, constrained by the physical laws of ISP, is used to train the multi-frequency NeuralBIM model, eliminating the need for contrast and total field data. The effectiveness of the multi-frequency NeuralBIM is validated through synthetic and experimental data, demonstrating improvements in accuracy and computational efficiency for solving ISP. Moreover, this method exhibits strong generalization capabilities and noise resistance. The multi-frequency NeuralBIM method explores a novel inversion method for multi-frequency EM data and provides an effective solution for the electromagnetic ISP of multi-frequency data.
Abstract:Reconfigurable intelligent surfaces (RISs) are promising candidate for the 6G communication. Recently, active RIS has been proposed to compensate the multiplicative fading effect inherent in passive RISs. However, conventional distributed active RISs, with at least one amplifier per element, are costly, complex, and power-intensive. To address these challenges, this paper proposes a novel architecture of active RIS: the centralized active RIS (CA-RIS), which amplifies the energy using a centralized amplifying reflector to reduce the number of amplifiers. Under this architecture, only as low as one amplifier is needed for power amplification of the entire array, which can eliminate the mutual-coupling effect among amplifiers, and significantly reduce the cost, noise level, and power consumption. We evaluate the performance of CA-RIS, specifically its path loss, and compare it with conventional passive RISs, revealing a moderate amplification gain. Furthermore, the proposed CA-RIS and the path loss model are experimentally verified, achieving a 9.6 dB net gain over passive RIS at 4 GHz. The CA-RIS offers a substantial simplification of active RIS architecture while preserving performance, striking an optimal balance between system complexity and the performance, which is competitive in various scenarios.




Abstract:The Pulmonary Function Test (PFT) is an widely utilized and rigorous classification test for lung function evaluation, serving as a comprehensive tool for lung diagnosis. Meanwhile, Electrical Impedance Tomography (EIT) is a rapidly advancing clinical technique that visualizes conductivity distribution induced by ventilation. EIT provides additional spatial and temporal information on lung ventilation beyond traditional PFT. However, relying solely on conventional isolated interpretations of PFT results and EIT images overlooks the continuous dynamic aspects of lung ventilation. This study aims to classify lung ventilation patterns by extracting spatial and temporal features from the 3D EIT image series. The study uses a Variational Autoencoder network with a MultiRes block to compress the spatial distribution in a 3D image into a one-dimensional vector. These vectors are then concatenated to create a feature map for the exhibition of temporal features. A simple convolutional neural network is used for classification. Data collected from 137 subjects were finally used for training. The model is validated by ten-fold and leave-one-out cross-validation first. The accuracy and sensitivity of normal ventilation mode are 0.95 and 1.00, and the f1-score is 0.94. Furthermore, we check the reliability and feasibility of the proposed pipeline by testing it on newly recruited nine subjects. Our results show that the pipeline correctly predicts the ventilation mode of 8 out of 9 subjects. The study demonstrates the potential of using image series for lung ventilation mode classification, providing a feasible method for patient prescreening and presenting an alternative form of PFT.




Abstract:The past decade has witnessed the advances of artificial intelligence with various applications in engineering. Recently, artificial neural network empowered inverse design for metasurfaces has been developed that can design on-demand meta-atoms with diverse shapes and high performance, where the design process based on artificial intelligence is fast and automatic. However, once the inverse-designed static meta-atom is fabricated, the function of the metasurface is fixed. Reconfigurable metasurfaces can realize dynamic functions, while applying artificial intelligence to design practical reconfigurable meta-atoms inversely has not been reported yet. Here, we present a deep-learning-empowered inverse design method for freeform reconfigurable metasurfaces, which can generate on-demand reconfigurable coding meta-atoms at self-defined frequency bands. To reduce the scale of dataset, a decoupling method of the reconfigurable meta-atom based on microwave network theory is proposed at first, which can convert the inverse design process for reconfigurable coding meta-atoms to the inverse design for static structures. A convolutional neural network model is trained to predict the responses of free-shaped meta-atoms, and the genetic algorithm is applied to generate the optimal structure patterns rapidly. As a demonstration of concept, several inverse-designed examples are generated with different self-defined spectrum responses in microwave band, and an inverse-designed wideband reconfigurable metasurface prototype is fabricated and measured for beam scanning applications with broad bandwidth. Our work paves the way for the fast and automatic design process of high-performance reconfigurable metasurfaces.




Abstract:Electromagnetic (EM) imaging is widely applied in sensing for security, biomedicine, geophysics, and various industries. It is an ill-posed inverse problem whose solution is usually computationally expensive. Machine learning (ML) techniques and especially deep learning (DL) show potential in fast and accurate imaging. However, the high performance of purely data-driven approaches relies on constructing a training set that is statistically consistent with practical scenarios, which is often not possible in EM imaging tasks. Consequently, generalizability becomes a major concern. On the other hand, physical principles underlie EM phenomena and provide baselines for current imaging techniques. To benefit from prior knowledge in big data and the theoretical constraint of physical laws, physics embedded ML methods for EM imaging have become the focus of a large body of recent work. This article surveys various schemes to incorporate physics in learning-based EM imaging. We first introduce background on EM imaging and basic formulations of the inverse problem. We then focus on three types of strategies combining physics and ML for linear and nonlinear imaging and discuss their advantages and limitations. Finally, we conclude with open challenges and possible ways forward in this fast-developing field. Our aim is to facilitate the study of intelligent EM imaging methods that will be efficient, interpretable and controllable.




Abstract:In this paper, we propose the neural Born iteration method (NeuralBIM) for solving 2D inverse scattering problems (ISPs) by drawing on the scheme of physics-informed supervised residual learning (PhiSRL) to emulate the computing process of the traditional Born iteration method (TBIM). NeuralBIM employs independent convolutional neural networks (CNNs) to learn the alternate update rules of two different candidate solutions with their corresponding residuals. Two different schemes of NeuralBIMs are presented in this paper including supervised and unsupervised learning schemes. With the data set generated by method of moments (MoM), supervised NeuralBIMs are trained with the knowledge of total fields and contrasts. Unsupervised NeuralBIM is guided by the physics-embedded loss functions founding on the governing equations of ISPs, which results in no requirements of total fields and contrasts for training. Representative numerical results further validate the effectiveness and competitiveness of both supervised and unsupervised NeuralBIMs.