Abstract:State of the art large language models are trained using large amounts of tokens derived from raw text using what is called a tokenizer. Crucially, the tokenizer determines the (token) vocabulary a model will use during inference as well as, in principle, the (token) language. This is because, while the token vocabulary may allow for different tokenizations of a string, the tokenizer always maps the string to only one of these tokenizations--the canonical tokenization. However, multiple lines of empirical evidence suggest that large language models do not always generate canonical token sequences, and this comes with several negative consequences. In this work, we first show that, to generate a canonical token sequence, a model needs to generate (partial) canonical token sequences at each step of the autoregressive generation process underpinning its functioning. Building upon this theoretical result, we introduce canonical sampling, a simple and efficient sampling method that precludes a given model from generating non-canonical token sequences. Further, we also show that, in comparison with standard sampling, the distribution of token sequences generated using canonical sampling is provably closer to the true distribution of token sequences used during training.
Abstract:State-of-the-art large language models require specialized hardware and substantial energy to operate. As a consequence, cloud-based services that provide access to large language models have become very popular. In these services, the price users pay for an output provided by a model depends on the number of tokens the model uses to generate it -- they pay a fixed price per token. In this work, we show that this pricing mechanism creates a financial incentive for providers to strategize and misreport the (number of) tokens a model used to generate an output, and users cannot prove, or even know, whether a provider is overcharging them. However, we also show that, if an unfaithful provider is obliged to be transparent about the generative process used by the model, misreporting optimally without raising suspicion is hard. Nevertheless, as a proof-of-concept, we introduce an efficient heuristic algorithm that allows providers to significantly overcharge users without raising suspicion, highlighting the vulnerability of users under the current pay-per-token pricing mechanism. Further, to completely eliminate the financial incentive to strategize, we introduce a simple incentive-compatible token pricing mechanism. Under this mechanism, the price users pay for an output provided by a model depends on the number of characters of the output -- they pay a fixed price per character. Along the way, to illustrate and complement our theoretical results, we conduct experiments with several large language models from the $\texttt{Llama}$, $\texttt{Gemma}$ and $\texttt{Ministral}$ families, and input prompts from the LMSYS Chatbot Arena platform.




Abstract:State of the art large language models rely on randomization to respond to a prompt. As an immediate consequence, a model may respond differently to the same prompt if asked multiple times. In this work, we argue that the evaluation and ranking of large language models should control for the randomization underpinning their functioning. Our starting point is the development of a causal model for coupled autoregressive generation, which allows different large language models to sample responses with the same source of randomness. Building upon our causal model, we first show that, on evaluations based on benchmark datasets, coupled autoregressive generation leads to the same conclusions as vanilla autoregressive generation but using provably fewer samples. However, we further show that, on evaluations based on (human) pairwise comparisons, coupled and vanilla autoregressive generation can surprisingly lead to different rankings when comparing more than two models, even with an infinite amount of samples. This suggests that the apparent advantage of a model over others in existing evaluation protocols may not be genuine but rather confounded by the randomness inherent to the generation process. To illustrate and complement our theoretical results, we conduct experiments with several large language models from the Llama family. We find that, across multiple knowledge areas from the popular MMLU benchmark dataset, coupled autoregressive generation requires up to 40% fewer samples to reach the same conclusions as vanilla autoregressive generation. Further, using data from the LMSYS Chatbot Arena platform, we find that the win-rates derived from pairwise comparisons by a strong large language model to prompts differ under coupled and vanilla autoregressive generation.




Abstract:"Sure, I am happy to generate a story for you: Captain Lyra stood at the helm of her trusty ship, the Maelstrom's Fury, gazing out at the endless sea. [...] Lyra's eyes welled up with tears as she realized the bitter truth - she had sacrificed everything for fleeting riches, and lost the love of her crew, her family, and herself." Although this story, generated by a large language model, is captivating, one may wonder -- how would the story have unfolded if the model had chosen "Captain Maeve" as the protagonist instead? We cannot know. State-of-the-art large language models are stateless -- they maintain no internal memory or state. Given a prompt, they generate a sequence of tokens as an output using an autoregressive process. As a consequence, they cannot reason about counterfactual alternatives to tokens they have generated in the past. In this work, our goal is to enhance them with this functionality. To this end, we develop a causal model of token generation that builds upon the Gumbel-Max structural causal model. Our model allows any large language model to perform counterfactual token generation at almost no cost in comparison with vanilla token generation, it is embarrassingly simple to implement, and it does not require any fine-tuning nor prompt engineering. We implement our model on Llama 3 8B-instruct and conduct both qualitative and quantitative analyses of counterfactually generated text. We conclude with a demonstrative application of counterfactual token generation for bias detection, unveiling interesting insights about the model of the world constructed by large language models.




Abstract:Decision support systems based on prediction sets have proven to be effective at helping human experts solve classification tasks. Rather than providing single-label predictions, these systems provide sets of label predictions constructed using conformal prediction, namely prediction sets, and ask human experts to predict label values from these sets. In this paper, we first show that the prediction sets constructed using conformal prediction are, in general, suboptimal in terms of average accuracy. Then, we show that the problem of finding the optimal prediction sets under which the human experts achieve the highest average accuracy is NP-hard. More strongly, unless P = NP, we show that the problem is hard to approximate to any factor less than the size of the label set. However, we introduce a simple and efficient greedy algorithm that, for a large class of expert models and non-conformity scores, is guaranteed to find prediction sets that provably offer equal or greater performance than those constructed using conformal prediction. Further, using a simulation study with both synthetic and real expert predictions, we demonstrate that, in practice, our greedy algorithm finds near-optimal prediction sets offering greater performance than conformal prediction.




Abstract:Humans performing tasks that involve taking a series of multiple dependent actions over time often learn from experience by reflecting on specific cases and points in time, where different actions could have led to significantly better outcomes. While recent machine learning methods to retrospectively analyze sequential decision making processes promise to aid decision makers in identifying such cases, they have focused on environments with finitely many discrete states. However, in many practical applications, the state of the environment is inherently continuous in nature. In this paper, we aim to fill this gap. We start by formally characterizing a sequence of discrete actions and continuous states using finite horizon Markov decision processes and a broad class of bijective structural causal models. Building upon this characterization, we formalize the problem of finding counterfactually optimal action sequences and show that, in general, we cannot expect to solve it in polynomial time. Then, we develop a search method based on the $A^*$ algorithm that, under a natural form of Lipschitz continuity of the environment's dynamics, is guaranteed to return the optimal solution to the problem. Experiments on real clinical data show that our method is very efficient in practice, and it has the potential to offer interesting insights for sequential decision making tasks.



Abstract:Methods to learn under algorithmic triage have predominantly focused on supervised learning settings where each decision, or prediction, is independent of each other. Under algorithmic triage, a supervised learning model predicts a fraction of the instances and humans predict the remaining ones. In this work, we take a first step towards developing reinforcement learning models that are optimized to operate under algorithmic triage. To this end, we look at the problem through the framework of options and develop a two-stage actor-critic method to learn reinforcement learning models under triage. The first stage performs offline, off-policy training using human data gathered in an environment where the human has operated on their own. The second stage performs on-policy training to account for the impact that switching may have on the human policy, which may be difficult to anticipate from the above human data. Extensive simulation experiments in a synthetic car driving task show that the machine models and the triage policies trained using our two-stage method effectively complement human policies and outperform those provided by several competitive baselines.




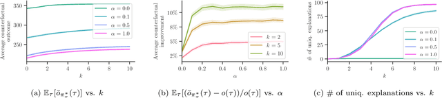
Abstract:Methods to find counterfactual explanations have predominantly focused on one step decision making processes. In this work, we initiate the development of methods to find counterfactual explanations for decision making processes in which multiple, dependent actions are taken sequentially over time. We start by formally characterizing a sequence of actions and states using finite horizon Markov decision processes and the Gumbel-Max structural causal model. Building upon this characterization, we formally state the problem of finding counterfactual explanations for sequential decision making processes. In our problem formulation, the counterfactual explanation specifies an alternative sequence of actions differing in at most k actions from the observed sequence that could have led the observed process realization to a better outcome. Then, we introduce a polynomial time algorithm based on dynamic programming to build a counterfactual policy that is guaranteed to always provide the optimal counterfactual explanation on every possible realization of the counterfactual environment dynamics. We validate our algorithm using both synthetic and real data from cognitive behavioral therapy and show that the counterfactual explanations our algorithm finds can provide valuable insights to enhance sequential decision making under uncertainty.



Abstract:Testing is recommended for all close contacts of confirmed COVID-19 patients. However, existing group testing methods are oblivious to the circumstances of contagion provided by contact tracing. Here, we build upon a well-known semi-adaptive pool testing method, Dorfman's method with imperfect tests, and derive a simple group testing method based on dynamic programming that is specifically designed to use the information provided by contact tracing. Experiments using a variety of reproduction numbers and dispersion levels, including those estimated in the context of the COVID-19 pandemic, show that the pools found using our method result in a significantly lower number of tests than those found using standard Dorfman's method, especially when the number of contacts of an infected individual is small. Moreover, our results show that our method can be more beneficial when the secondary infections are highly overdispersed.




Abstract:Multiple lines of evidence suggest that predictive models may benefit from algorithmic triage. Under algorithmic triage, a predictive model does not predict all instances but instead defers some of them to human experts. However, the interplay between the prediction accuracy of the model and the human experts under algorithmic triage is not well understood. In this work, we start by formally characterizing under which circumstances a predictive model may benefit from algorithmic triage. In doing so, we also demonstrate that models trained for full automation may be suboptimal under triage. Then, given any model and desired level of triage, we show that the optimal triage policy is a deterministic threshold rule in which triage decisions are derived deterministically by thresholding the difference between the model and human errors on a per-instance level. Building upon these results, we introduce a practical gradient-based algorithm that is guaranteed to find a sequence of triage policies and predictive models of increasing performance. Experiments on a wide variety of supervised learning tasks using synthetic and real data from two important applications -- content moderation and scientific discovery -- illustrate our theoretical results and show that the models and triage policies provided by our gradient-based algorithm outperform those provided by several competitive baselines.