Abstract:We present MACLA, a framework that decouples reasoning from learning by maintaining a frozen large language model while performing all adaptation in an external hierarchical procedural memory. MACLA extracts reusable procedures from trajectories, tracks reliability via Bayesian posteriors, selects actions through expected-utility scoring, and refines procedures by contrasting successes and failures. Across four benchmarks (ALFWorld, WebShop, TravelPlanner, InterCodeSQL), MACLA achieves 78.1 percent average performance, outperforming all baselines. On ALFWorld unseen tasks, MACLA reaches 90.3 percent with 3.1 percent positive generalization. The system constructs memory in 56 seconds, 2800 times faster than the state-of-the-art LLM parameter-training baseline, compressing 2851 trajectories into 187 procedures. Experimental results demonstrate that structured external memory with Bayesian selection and contrastive refinement enables sample-efficient, interpretable, and continually improving agents without LLM parameter updates.




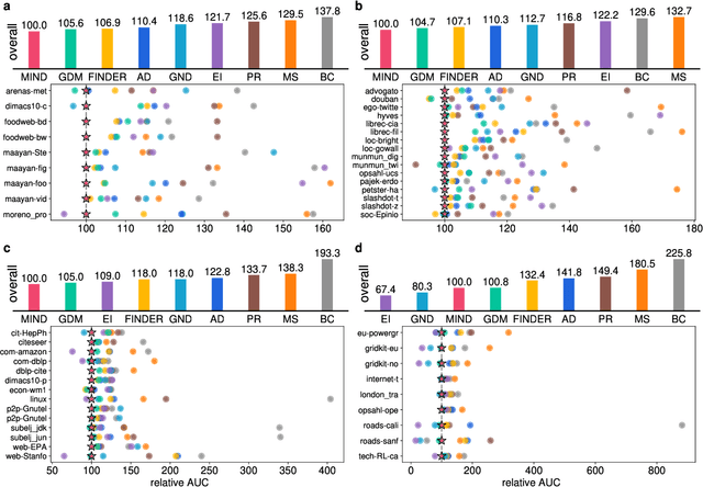
Abstract:The application of message-passing Graph Neural Networks has been a breakthrough for important network science problems. However, the competitive performance often relies on using handcrafted structural features as inputs, which increases computational cost and introduces bias into the otherwise purely data-driven network representations. Here, we eliminate the need for handcrafted features by introducing an attention mechanism and utilizing message-iteration profiles, in addition to an effective algorithmic approach to generate a structurally diverse training set of small synthetic networks. Thereby, we build an expressive message-passing framework and use it to efficiently solve the NP-hard problem of Network Dismantling, virtually equivalent to vital node identification, with significant real-world applications. Trained solely on diversified synthetic networks, our proposed model -- MIND: Message Iteration Network Dismantler -- generalizes to large, unseen real networks with millions of nodes, outperforming state-of-the-art network dismantling methods. Increased efficiency and generalizability of the proposed model can be leveraged beyond dismantling in a range of complex network problems.
Abstract:Constrained pathfinding is a well-studied, yet challenging network optimisation problem that can be seen in a broad range of real-world applications. Pathfinding with multiple resource limits, which is known as the Resource Constrained Shortest Path Problem (RCSP), aims to plan a cost-optimum path subject to limited usage of resources. Given the recent advances in constrained and multi-criteria search with A*, this paper introduces a new resource constrained search framework on the basis of A* to tackle RCSP in large networks, even in the presence of negative cost and negative resources. We empirically evaluate our new algorithm on a set of large instances and show up to two orders of magnitude faster performance compared to state-of-the-art RCSP algorithms in the literature.
Abstract:The Multi-objective Shortest Path (MOSP) problem is a classic network optimization problem that aims to find all Pareto-optimal paths between two points in a graph with multiple edge costs. Recent studies on multi-objective search with A* (MOA*) have demonstrated superior performance in solving difficult MOSP instances. This paper presents a novel search framework that allows efficient parallelization of MOA* with different objective orders. The framework incorporates a unique upper bounding strategy that helps the search reduce the problem's dimensionality to one in certain cases. Experimental results demonstrate that the proposed framework can enhance the performance of recent A*-based solutions, with the speed-up proportional to the problem dimension.
Abstract:The classic Resource Constrained Shortest Path (RCSP) problem aims to find a cost optimal path between a pair of nodes in a network such that the resources used in the path are within a given limit. Having been studied for over a decade, RCSP has seen recent solutions that utilize heuristic-guided search to solve the constrained problem faster. Building upon the bidirectional A* search paradigm, this research introduces a novel constrained search framework that uses efficient pruning strategies to allow for accelerated and effective RCSP search in large-scale networks. Results show that, compared to the state of the art, our enhanced framework can significantly reduce the constrained search time, achieving speed-ups of over to two orders of magnitude.
Abstract:The rapid adoption of electric vehicles (EVs) in modern transport systems has made energy-aware routing a critical task in their successful integration, especially within large-scale networks. In cases where an EV's remaining energy is limited and charging locations are not easily accessible, some destinations may only be reachable through an energy-optimal path: a route that consumes less energy than all other alternatives. The feasibility of such energy-efficient paths depends heavily on the accuracy of the energy model used for planning, and thus failing to account for vehicle dynamics can lead to inaccurate energy estimates, rendering some planned routes infeasible in reality. This paper explores the impact of vehicle dynamics on energy-optimal path planning for EVs. We develop an accurate energy model that incorporates key vehicle dynamics parameters into energy calculations, thereby reducing the risk of planning infeasible paths under battery constraints. The paper also introduces two novel online reweighting functions that allow for a faster, pre-processing free, pathfinding in the presence of negative energy costs resulting from regenerative braking, making them ideal for real-time applications. Through extensive experimentation on real-world transport networks, we demonstrate that our approach considerably enhances energy-optimal pathfinding for EVs in both computational efficiency and energy estimation accuracy.
Abstract:The growing popularity of Electric Vehicles (EVs) poses unique challenges for grid operators and infrastructure, which requires effectively managing these vehicles' integration into the grid. Identification of EVs charging is essential to electricity Distribution Network Operators (DNOs) for better planning and managing the distribution grid. One critical aspect is the ability to accurately identify the presence of EV charging in the grid. EV charging identification using smart meter readings obtained from behind-the-meter devices is a challenging task that enables effective managing the integration of EVs into the existing power grid. Different from the existing supervised models that require addressing the imbalance problem caused by EVs and non-EVs data, we propose a novel unsupervised memory-based transformer (M-TR) that can run in real-time (online) to detect EVs charging from a streaming smart meter. It dynamically leverages coarse-scale historical information using an M-TR encoder from an extended global temporal window, in conjunction with an M-TR decoder that concentrates on a limited time frame, local window, aiming to capture the fine-scale characteristics of the smart meter data. The M-TR is based on an anomaly detection technique that does not require any prior knowledge about EVs charging profiles, nor it does only require real power consumption data of non-EV users. In addition, the proposed model leverages the power of transfer learning. The M-TR is compared with different state-of-the-art methods and performs better than other unsupervised learning models. The model can run with an excellent execution time of 1.2 sec. for 1-minute smart recordings.
Abstract:The increasing installation of Photovoltaics (PV) cells leads to more generation of renewable energy sources (RES), but results in increased uncertainties of energy scheduling. Predicting PV power generation is important for energy management and dispatch optimization in smart grid. However, the PV power generation data is often collected across different types of customers (e.g., residential, agricultural, industrial, and commercial) while the customer information is always de-identified. This often results in a forecasting model trained with all PV power generation data, allowing the predictor to learn various patterns through intra-model self-learning, instead of constructing a separate predictor for each customer type. In this paper, we propose a clustering-based multitasking deep neural network (CM-DNN) framework for PV power generation prediction. K-means is applied to cluster the data into different customer types. For each type, a deep neural network (DNN) is employed and trained until the accuracy cannot be improved. Subsequently, for a specified customer type (i.e., the target task), inter-model knowledge transfer is conducted to enhance its training accuracy. During this process, source task selection is designed to choose the optimal subset of tasks (excluding the target customer), and each selected source task uses a coefficient to determine the amount of DNN model knowledge (weights and biases) transferred to the aimed prediction task. The proposed CM-DNN is tested on a real-world PV power generation dataset and its superiority is demonstrated by comparing the prediction performance on training the dataset with a single model without clustering.
Abstract:The customization of recommended content to users holds significant importance in enhancing user experiences across a wide spectrum of applications such as e-commerce, music, and shopping. Graph-based methods have achieved considerable performance by capturing user-item interactions. However, these methods tend to utilize randomly constructed embeddings in the dataset used for training the recommender, which lacks any user preferences. Here, we propose the concept of variational embeddings as a means of pre-training the recommender system to improve the feature propagation through the layers of graph convolutional networks (GCNs). The graph variational embedding collaborative filtering (GVECF) is introduced as a novel framework to incorporate representations learned through a variational graph auto-encoder which are embedded into a GCN-based collaborative filtering. This approach effectively transforms latent high-order user-item interactions into more trainable vectors, ultimately resulting in better performance in terms of recall and normalized discounted cumulative gain(NDCG) metrics. The experiments conducted on benchmark datasets demonstrate that our proposed method achieves up to 13.78% improvement in the recall over the test data.




Abstract:Recently network embedding has gained increasing attention due to its advantages in facilitating network computation tasks such as link prediction, node classification and node clustering. The objective of network embedding is to represent network nodes in a low-dimensional vector space while retaining as much information as possible from the original network including structural, relational, and semantic information. However, asymmetric nature of directed networks poses many challenges as how to best preserve edge directions in the embedding process. Here, we propose a novel deep asymmetric attributed network embedding model based on convolutional graph neural network, called AAGCN. The main idea is to maximally preserve the asymmetric proximity and asymmetric similarity of directed attributed networks. AAGCN introduces two neighbourhood feature aggregation schemes to separately aggregate the features of a node with the features of its in- and out- neighbours. Then, it learns two embedding vectors for each node, one source embedding vector and one target embedding vector. The final representations are the results of concatenating source and target embedding vectors. We test the performance of AAGCN on three real-world networks for network reconstruction, link prediction, node classification and visualization tasks. The experimental results show the superiority of AAGCN against state-of-the-art embedding methods.