



Abstract:The impact of random seeds in fine-tuning large language models (LLMs) has been largely overlooked despite its potential influence on model performance.In this study, we systematically evaluate the effects of random seeds on LLMs using the GLUE and SuperGLUE benchmarks. We analyze the macro-level impact through traditional metrics like accuracy and F1, calculating their mean and variance to quantify performance fluctuations. To capture the micro-level effects, we introduce a novel metric, consistency, measuring the stability of individual predictions across runs. Our experiments reveal significant variance at both macro and micro levels, underscoring the need for careful consideration of random seeds in fine-tuning and evaluation.



Abstract:Soil and groundwater contamination is a pervasive problem at thousands of locations across the world. Contaminated sites often require decades to remediate or to monitor natural attenuation. Climate change exacerbates the long-term site management problem because extreme precipitation and/or shifts in precipitation/evapotranspiration regimes could re-mobilize contaminants and proliferate affected groundwater. To quickly assess the spatiotemporal variations of groundwater contamination under uncertain climate disturbances, we developed a physics-informed machine learning surrogate model using U-Net enhanced Fourier Neural Operator (U-FNO) to solve Partial Differential Equations (PDEs) of groundwater flow and transport simulations at the site scale.We develop a combined loss function that includes both data-driven factors and physical boundary constraints at multiple spatiotemporal scales. Our U-FNOs can reliably predict the spatiotemporal variations of groundwater flow and contaminant transport properties from 1954 to 2100 with realistic climate projections. In parallel, we develop a convolutional autoencoder combined with online clustering to reduce the dimensionality of the vast historical and projected climate data by quantifying climatic region similarities across the United States. The ML-based unique climate clusters provide climate projections for the surrogate modeling and help return reliable future recharge rate projections immediately without querying large climate datasets. In all, this Multi-scale Digital Twin work can advance the field of environmental remediation under climate change.




Abstract:Deep learning classifiers are assisting humans in making decisions and hence the user's trust in these models is of paramount importance. Trust is often a function of constant behavior. From an AI model perspective it means given the same input the user would expect the same output, especially for correct outputs, or in other words consistently correct outputs. This paper studies a model behavior in the context of periodic retraining of deployed models where the outputs from successive generations of the models might not agree on the correct labels assigned to the same input. We formally define consistency and correct-consistency of a learning model. We prove that consistency and correct-consistency of an ensemble learner is not less than the average consistency and correct-consistency of individual learners and correct-consistency can be improved with a probability by combining learners with accuracy not less than the average accuracy of ensemble component learners. To validate the theory using three datasets and two state-of-the-art deep learning classifiers we also propose an efficient dynamic snapshot ensemble method and demonstrate its value.




Abstract:The COVID-19 pandemic represents the most significant public health disaster since the 1918 influenza pandemic. During pandemics such as COVID-19, timely and reliable spatio-temporal forecasting of epidemic dynamics is crucial. Deep learning-based time series models for forecasting have recently gained popularity and have been successfully used for epidemic forecasting. Here we focus on the design and analysis of deep learning-based models for COVID-19 forecasting. We implement multiple recurrent neural network-based deep learning models and combine them using the stacking ensemble technique. In order to incorporate the effects of multiple factors in COVID-19 spread, we consider multiple sources such as COVID-19 testing data and human mobility data for better predictions. To overcome the sparsity of training data and to address the dynamic correlation of the disease, we propose clustering-based training for high-resolution forecasting. The methods help us to identify the similar trends of certain groups of regions due to various spatio-temporal effects. We examine the proposed method for forecasting weekly COVID-19 new confirmed cases at county-, state-, and country-level. A comprehensive comparison between different time series models in COVID-19 context is conducted and analyzed. The results show that simple deep learning models can achieve comparable or better performance when compared with more complicated models. We are currently integrating our methods as a part of our weekly forecasts that we provide state and federal authorities.




Abstract:Influenza-like illness (ILI) places a heavy social and economic burden on our society. Traditionally, ILI surveillance data is updated weekly and provided at a spatially coarse resolution. Producing timely and reliable high-resolution spatiotemporal forecasts for ILI is crucial for local preparedness and optimal interventions. We present TDEFSI (Theory Guided Deep Learning Based Epidemic Forecasting with Synthetic Information), an epidemic forecasting framework that integrates the strengths of deep neural networks and high-resolution simulations of epidemic processes over networks. TDEFSI yields accurate high-resolution spatiotemporal forecasts using low-resolution time series data. During the training phase, TDEFSI uses high-resolution simulations of epidemics that explicitly model spatial and social heterogeneity inherent in urban regions as one component of training data. We train a two-branch recurrent neural network model to take both within-season and between-season low-resolution observations as features, and output high-resolution detailed forecasts. The resulting forecasts are not just driven by observed data but also capture the intricate social, demographic and geographic attributes of specific urban regions and mathematical theories of disease propagation over networks. We focus on forecasting the incidence of ILI and evaluate TDEFSI's performance using synthetic and real-world testing datasets at the state and county levels in the USA. The results show that, at the state level, our method achieves comparable/better performance than several state-of-the-art methods. At the county level, TDEFSI outperforms the other methods. The proposed method can be applied to other infectious diseases as well.




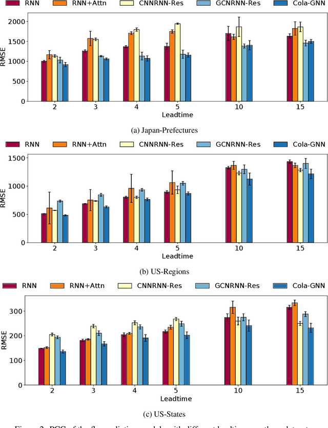
Abstract:Forecasting influenza-like illness (ILI) is of prime importance to epidemiologists and health-care providers. Early prediction of epidemic outbreaks plays a pivotal role in disease intervention and control. Most existing work has either limited long-term prediction performance or lacks a comprehensive ability to capture spatio-temporal dependencies in data. Accurate and early disease forecasting models would markedly improve both epidemic prevention and managing the onset of an epidemic. In this paper, we design a cross-location attention based graph neural network (Cola-GNN) for learning time series embeddings and location aware attentions. We propose a graph message passing framework to combine learned feature embeddings and an attention matrix to model disease propagation over time. We compare the proposed method with state-of-the-art statistical approaches and deep learning models on real-world epidemic-related datasets from United States and Japan. The proposed method shows strong predictive performance and leads to interpretable results for long-term epidemic predictions.