



Abstract:In health, most large language model (LLM) research has focused on clinical tasks. However, mobile and wearable devices, which are rarely integrated into such tasks, provide rich, longitudinal data for personal health monitoring. Here we present Personal Health Large Language Model (PH-LLM), fine-tuned from Gemini for understanding and reasoning over numerical time-series personal health data. We created and curated three datasets that test 1) production of personalized insights and recommendations from sleep patterns, physical activity, and physiological responses, 2) expert domain knowledge, and 3) prediction of self-reported sleep outcomes. For the first task we designed 857 case studies in collaboration with domain experts to assess real-world scenarios in sleep and fitness. Through comprehensive evaluation of domain-specific rubrics, we observed that Gemini Ultra 1.0 and PH-LLM are not statistically different from expert performance in fitness and, while experts remain superior for sleep, fine-tuning PH-LLM provided significant improvements in using relevant domain knowledge and personalizing information for sleep insights. We evaluated PH-LLM domain knowledge using multiple choice sleep medicine and fitness examinations. PH-LLM achieved 79% on sleep and 88% on fitness, exceeding average scores from a sample of human experts. Finally, we trained PH-LLM to predict self-reported sleep quality outcomes from textual and multimodal encoding representations of wearable data, and demonstrate that multimodal encoding is required to match performance of specialized discriminative models. Although further development and evaluation are necessary in the safety-critical personal health domain, these results demonstrate both the broad knowledge and capabilities of Gemini models and the benefit of contextualizing physiological data for personal health applications as done with PH-LLM.




Abstract:Foundation large language models (LLMs) have shown an impressive ability to solve tasks across a wide range of fields including health. To effectively solve personalized health tasks, LLMs need the ability to ingest a diversity of data modalities that are relevant to an individual's health status. In this paper, we take a step towards creating multimodal LLMs for health that are grounded in individual-specific data by developing a framework (HeLM: Health Large Language Model for Multimodal Understanding) that enables LLMs to use high-dimensional clinical modalities to estimate underlying disease risk. HeLM encodes complex data modalities by learning an encoder that maps them into the LLM's token embedding space and for simple modalities like tabular data by serializing the data into text. Using data from the UK Biobank, we show that HeLM can effectively use demographic and clinical features in addition to high-dimensional time-series data to estimate disease risk. For example, HeLM achieves an AUROC of 0.75 for asthma prediction when combining tabular and spirogram data modalities compared with 0.49 when only using tabular data. Overall, we find that HeLM outperforms or performs at parity with classical machine learning approaches across a selection of eight binary traits. Furthermore, we investigate the downstream uses of this model such as its generalizability to out-of-distribution traits and its ability to power conversations around individual health and wellness.




Abstract:Recent work on deep neural network pruning has shown there exist sparse subnetworks that achieve equal or improved accuracy, training time, and loss using fewer network parameters when compared to their dense counterparts. Orthogonal to pruning literature, deep neural networks are known to be susceptible to adversarial examples, which may pose risks in security- or safety-critical applications. Intuition suggests that there is an inherent trade-off between sparsity and robustness such that these characteristics could not co-exist. We perform an extensive empirical evaluation and analysis testing the Lottery Ticket Hypothesis with adversarial training and show this approach enables us to find sparse, robust neural networks. Code for reproducing experiments is available here: https://github.com/justincosentino/robust-sparse-networks.




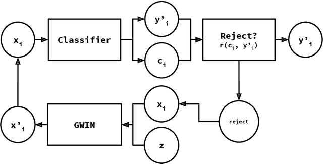
Abstract:We propose Generative Well-intentioned Networks (GWINs), a novel framework for increasing the accuracy of certainty-based, closed-world classifiers. A conditional generative network recovers the distribution of observations that the classifier labels correctly with high certainty. We introduce a reject option to the classifier during inference, allowing the classifier to reject an observation instance rather than predict an uncertain label. These rejected observations are translated by the generative network to high-certainty representations, which are then relabeled by the classifier. This architecture allows for any certainty-based classifier or rejection function and is not limited to multilayer perceptrons. The capability of this framework is assessed using benchmark classification datasets and shows that GWINs significantly improve the accuracy of uncertain observations.