



Abstract:The on-chip photonic switch is a critical building block for photonic integrated circuits (PICs) and the integration of phase change materials (PCMs) enables non-volatile switch designs that are compact, low-loss, and energy-efficient. Existing switch designs based on these materials typically rely on weak evanescent field interactions, resulting in devices with a large footprint and high energy consumption. Here we present a compact non-volatile 2 by 2 switch design leveraging optical concentration in slot waveguide modes to significantly enhance interactions of light with PCMs, thereby realizing a compact, efficient photonic switch. To further improve the device's energy efficiency, we introduce an integrated single-layer graphene heater for ultrafast electrothermal switching of the PCM. Computational simulations demonstrate a 2 by 2 switch with crosstalk (CT) down to -24 dB at 1550 nm wavelength and more than 55 nm 0.3 dB insertion loss (IL) bandwidth. The proposed photonic switch architecture can constitute the cornerstone for next-generation high-performance reconfigurable photonic circuits.




Abstract:The human brain has immense learning capabilities at extreme energy efficiencies and scale that no artificial system has been able to match. For decades, reverse engineering the brain has been one of the top priorities of science and technology research. Despite numerous efforts, conventional electronics-based methods have failed to match the scalability, energy efficiency, and self-supervised learning capabilities of the human brain. On the other hand, very recent progress in the development of new generations of photonic and electronic memristive materials, device technologies, and 3D electronic-photonic integrated circuits (3D EPIC ) promise to realize new brain-derived neuromorphic systems with comparable connectivity, density, energy-efficiency, and scalability. When combined with bio-realistic learning algorithms and architectures, it may be possible to realize an 'artificial brain' prototype with general self-learning capabilities. This paper argues the possibility of reverse-engineering the brain through architecting a prototype of a brain-derived neuromorphic computing system consisting of artificial electronic, ionic, photonic materials, devices, and circuits with dynamicity resembling the bio-plausible molecular, neuro/synaptic, neuro-circuit, and multi-structural hierarchical macro-circuits of the brain based on well-tested computational models. We further argue the importance of bio-plausible local learning algorithms applicable to the neuromorphic computing system that capture the flexible and adaptive unsupervised and self-supervised learning mechanisms central to human intelligence. Most importantly, we emphasize that the unique capabilities in brain-derived neuromorphic computing prototype systems will enable us to understand links between specific neuronal and network-level properties with system-level functioning and behavior.




Abstract:Metasurfaces have provided a novel and promising platform for the realization of compact and large-scale optical devices. The conventional metasurface design approach assumes periodic boundary conditions for each element, which is inaccurate in most cases since the near-field coupling effects between elements will change when surrounded by non-identical structures. In this paper, we propose a deep learning approach to predict the actual electromagnetic (EM) responses of each target meta-atom placed in a large array with near-field coupling effects taken into account. The predicting neural network takes the physical specifications of the target meta-atom and its neighbors as input, and calculates its phase and amplitude in milliseconds. This approach can be applied to explain metasurfaces' performance deterioration caused by mutual coupling and further used to optimize their efficiencies once combined with optimization algorithms. To demonstrate the efficacy of this methodology, we obtain large improvements in efficiency for a beam deflector and a metalens over the conventional design approach. Moreover, we show the correlations between a metasurface's performance and its design errors caused by mutual coupling are not bound to certain specifications (materials, shapes, etc.). As such, we envision that this approach can be readily applied to explore the mutual coupling effects and improve the performance of various metasurface designs.




Abstract:Metasurfaces have shown promising potentials in shaping optical wavefronts while remaining compact compared to bulky geometric optics devices. Design of meta-atoms, the fundamental building blocks of metasurfaces, relies on trial-and-error method to achieve target electromagnetic responses. This process includes the characterization of an enormous amount of different meta-atom designs with different physical and geometric parameters, which normally demands huge computational resources. In this paper, a deep learning-based metasurface/meta-atom modeling approach is introduced to significantly reduce the characterization time while maintaining accuracy. Based on a convolutional neural network (CNN) structure, the proposed deep learning network is able to model meta-atoms with free-form 2D patterns and different lattice sizes, material refractive indexes and thicknesses. Moreover, the presented approach features the capability to predict meta-atoms' wide spectrum responses in the timescale of milliseconds, which makes it attractive for applications such as fast meta-atom/metasurface on-demand designs and optimizations.




Abstract:Metasurfaces are being widely investigated and adopted for their promising performances in manipulating optical wavefronts and their potential for integrating multi-functionalities into one flat optical device. A key challenge in metasurface design is the non-intuitive design process that produces models and patterns from specific design requirements (commonly electromagnetic responses). A complete exploration of all design spaces can produce optimal designs but is unrealistic considering the massive amount of computation power required to explore large parameter spaces. Meanwhile, machine learning techniques, especially generative adversarial networks, have proven to be an effective solution to non-intuitive design tasks. In this paper, we present a novel conditional generative network that can generate meta-atom/metasurface designs based on different performance requirements. Compared to conventional trial-and-error or iterative optimization design methods, this new methodology is capable of producing on-demand freeform designs on a one-time calculation basis. More importantly, an increased complexity of design goals doesn't introduce further complexity into the network structure or the training process, which makes this approach suitable for multi-functional device designs. Compared to previous deep learning-based metasurface approaches, our network structure is extremely robust to train and converge, and is readily expanded to many multi-functional metasurface devices, including metasurface filters, lenses and holograms.




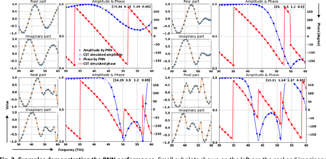
Abstract:Metasurfaces have become a promising means for manipulating optical wavefronts in flat and high-performance optical devices. Conventional metasurface device design relies on trial-and-error methods to obtain target electromagnetic (EM) response, an approach that demands significant efforts to investigate the enormous number of possible meta-atom structures. In this paper, a deep neural network approach is introduced that significantly improves on both speed and accuracy compared to techniques currently used to assemble metasurface-based devices. Our neural network approach overcomes three key challenges that have limited previous neural-network-based design schemes: input/output vector dimensional mismatch, accurate EM-wave phase prediction, as well as adaptation to 3-D dielectric structures, and can be generically applied to a wide variety of metasurface device designs across the entire electromagnetic spectrum. Using this new methodology, examples of neural networks capable of producing on-demand designs for meta-atoms, metasurface filters, and phase-change reconfigurable metasurfaces are demonstrated.