Abstract:In the context of cardiovascular diseases (CVD) that exhibit an elevated prevalence and mortality, the electrocardiogram (ECG) is a popular and standard diagnostic tool for doctors, commonly utilizing a 12-lead configuration in clinical practice. However, the 10 electrodes placed on the surface would cause a lot of inconvenience and discomfort, while the rapidly advancing wearable devices adopt the reduced-lead or single-lead ECG to reduce discomfort as a solution in long-term monitoring. Since the single-lead ECG is a subset of 12-lead ECG, it provides insufficient cardiac health information and plays a substandard role in real-world healthcare applications. Hence, it is necessary to utilize signal generation technologies to reduce their clinical importance gap by reconstructing 12-lead ECG from the real single-lead ECG. Specifically, this study proposes a multi-channel masked autoencoder (MCMA) for this goal. In the experimental results, the visualized results between the generated and real signals can demonstrate the effectiveness of the proposed framework. At the same time, this study introduces a comprehensive evaluation benchmark named ECGGenEval, encompassing the signal-level, feature-level, and diagnostic-level evaluations, providing a holistic assessment of 12-lead ECG signals and generative model. Further, the quantitative experimental results are as follows, the mean square errors of 0.0178 and 0.0658, correlation coefficients of 0.7698 and 0.7237 in the signal-level evaluation, the average F1-score with two generated 12-lead ECG is 0.8319 and 0.7824 in the diagnostic-level evaluation, achieving the state-of-the-art performance. The open-source code is publicly available at \url{https://github.com/CHENJIAR3/MCMA}.




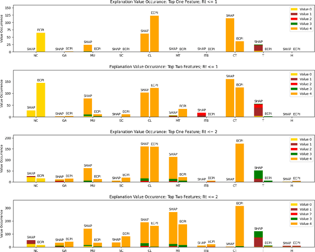
Abstract:Since COVID-19 was first identified in December 2019, various public health interventions have been implemented across the world. As different measures are implemented at different countries at different times, we conduct an assessment of the relative effectiveness of the measures implemented in 18 countries and regions using data from 22/01/2020 to 02/04/2020. We compute the top one and two measures that are most effective for the countries and regions studied during the period. Two Explainable AI techniques, SHAP and ECPI, are used in our study; such that we construct (machine learning) models for predicting the instantaneous reproduction number ($R_t$) and use the models as surrogates to the real world and inputs that the greatest influence to our models are seen as measures that are most effective. Across-the-board, city lockdown and contact tracing are the two most effective measures. For ensuring $R_t<1$, public wearing face masks is also important. Mass testing alone is not the most effective measure although when paired with other measures, it can be effective. Warm temperature helps for reducing the transmission.




Abstract:Depthwise convolution has gradually become an indispensable operation for modern efficient neural networks and larger kernel sizes ($\ge5$) have been applied to it recently. In this paper, we propose a novel extremely separated convolutional block (XSepConv), which fuses spatially separable convolutions into depthwise convolution to further reduce both the computational cost and parameter size of large kernels. Furthermore, an extra $2\times2$ depthwise convolution coupled with improved symmetric padding strategy is employed to compensate for the side effect brought by spatially separable convolutions. XSepConv is designed to be an efficient alternative to vanilla depthwise convolution with large kernel sizes. To verify this, we use XSepConv for the state-of-the-art architecture MobileNetV3-Small and carry out extensive experiments on four highly competitive benchmark datasets (CIFAR-10, CIFAR-100, SVHN and Tiny-ImageNet) to demonstrate that XSepConv can indeed strike a better trade-off between accuracy and efficiency.