Abstract:Trajectory data combines the complexities of time series, spatial data, and (sometimes irrational) movement behavior. As data availability and computing power have increased, so has the popularity of deep learning from trajectory data. This review paper provides the first comprehensive overview of deep learning approaches for trajectory data. We have identified eight specific mobility use cases which we analyze with regards to the deep learning models and the training data used. Besides a comprehensive quantitative review of the literature since 2018, the main contribution of our work is the data-centric analysis of recent work in this field, placing it along the mobility data continuum which ranges from detailed dense trajectories of individual movers (quasi-continuous tracking data), to sparse trajectories (such as check-in data), and aggregated trajectories (crowd information).




Abstract:Knowledge about historic landslide event occurrence is important for supporting disaster risk reduction strategies. Building upon findings from 2022 Landslide4Sense Competition, we propose a deep neural network based system for landslide detection and segmentation from multisource remote sensing image input. We use a U-Net trained with Cross Entropy loss as baseline model. We then improve the U-Net baseline model by leveraging a wide range of deep learning techniques. In particular, we conduct feature engineering by generating new band data from the original bands, which helps to enhance the quality of remote sensing image input. Regarding the network architecture, we replace traditional convolutional layers in the U-Net baseline by a residual-convolutional layer. We also propose an attention layer which leverages the multi-head attention scheme. Additionally, we generate multiple output masks with three different resolutions, which creates an ensemble of three outputs in the inference process to enhance the performance. Finally, we propose a combined loss function which leverages Focal loss and IoU loss to train the network. Our experiments on the development set of the Landslide4Sense challenge achieve an F1 score and an mIoU score of 84.07 and 76.07, respectively. Our best model setup outperforms the challenge baseline and the proposed U-Net baseline, improving the F1 score/mIoU score by 6.8/7.4 and 10.5/8.8, respectively.




Abstract:In this paper, we present a high-performance and light-weight deep learning model for Remote Sensing Image Classification (RSIC), the task of identifying the aerial scene of a remote sensing image. To this end, we first valuate various benchmark convolutional neural network (CNN) architectures: MobileNet V1/V2, ResNet 50/151V2, InceptionV3/InceptionResNetV2, EfficientNet B0/B7, DenseNet 121/201, ConNeXt Tiny/Large. Then, the best performing models are selected to train a compact model in a teacher-student arrangement. The knowledge distillation from the teacher aims to achieve high performance with significantly reduced complexity. By conducting extensive experiments on the NWPU-RESISC45 benchmark, our proposed teacher-student models outperforms the state-of-the-art systems, and has potential to be applied on a wide rage of edge devices.




Abstract:The task of remote sensing image scene classification (RSISC), which aims at classifying remote sensing images into groups of semantic categories based on their contents, has taken the important role in a wide range of applications such as urban planning, natural hazards detection, environment monitoring,vegetation mapping, or geospatial object detection. During the past years, research community focusing on RSISC task has shown significant effort to publish diverse datasets as well as propose different approaches to deal with the RSISC challenges. Recently, almost proposed RSISC systems base on deep learning models which prove powerful and outperform traditional approaches using image processing and machine learning. In this paper, we also leverage the power of deep learning technology, evaluate a variety of deep neural network architectures, indicate main factors affecting the performance of a RSISC system. Given the comprehensive analysis, we propose a deep learning based framework for RSISC, which makes use of the transfer learning technique and multihead attention scheme. The proposed deep learning framework is evaluated on the benchmark NWPU-RESISC45 dataset and achieves the best classification accuracy of 94.7% which shows competitive to the state-of-the-art systems and potential for real-life applications.




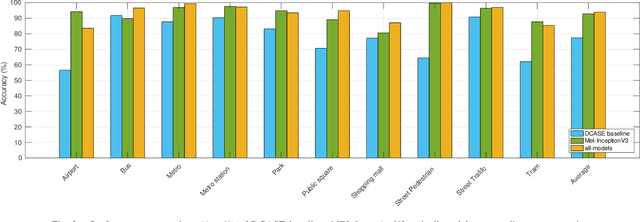
Abstract:In this paper, we present deep learning frameworks for audio-visual scene classification (SC) and indicate how individual visual and audio features as well as their combination affect SC performance. Our extensive experiments, which are conducted on DCASE (IEEE AASP Challenge on Detection and Classification of Acoustic Scenes and Events) Task 1B development dataset, achieve the best classification accuracy of 82.2%, 91.1%, and 93.9% with audio input only, visual input only, and both audio-visual input, respectively. The highest classification accuracy of 93.9%, obtained from an ensemble of audio-based and visual-based frameworks, shows an improvement of 16.5% compared with DCASE baseline.