



Abstract:Different from conventional passive reconfigurable intelligent surfaces (RISs), incident signals and thermal noise can be amplified at active RISs. By exploiting the amplifying capability of active RISs, noticeable performance improvement can be expected when precise channel state information (CSI) is available. Since obtaining perfect CSI related to an RIS is difficult in practice, a robust transmission design is proposed in this paper to tackle the channel uncertainty issue, which will be more severe for active RIS-aided systems. To account for the worst-case scenario, the minimum achievable rate of each user is derived under a statistical CSI error model. Subsequently, an optimization problem is formulated to maximize the sum of the minimum achievable rate. Since the objective function is non-concave, the formulated problem is transformed into a tractable lower bound maximization problem, which is solved using an alternating optimization method. Numerical results show that the proposed robust design outperforms a baseline scheme that only exploits estimated CSI.




Abstract:The following paper provides a multi-band channel measurement analysis on the frequency range (FR)3. This study focuses on the FR3 low frequencies 6.5 GHz and 8.75 GHz with a setup tailored to the context of integrated sensing and communication (ISAC), where the data are collected with and without the presence of a target. A method based on multiple signal classification (MUSIC) is used to refine the delays of the channel impulse response estimates. The results reveal that the channel at the lower frequency 6.5 GHz has additional distinguishable multipath components in the presence of the target, while the one associated with the higher frequency 8.75 GHz has more blockage. The set of results reported in this paper serves as a benchmark for future multi-band studies in the FR3 spectrum.
Abstract:In realistic cellular communication systems, multiple service providers will operate within different frequency ranges. Each serving cell, which is managed by a distinct service provider, is designed individually due to the orthogonal frequencies. However, when a reconfigurable intelligent surface (RIS) is deployed for a certain cell, the RIS still incurs reflective channels for the overall system since the RIS reflects signals across all frequency ranges. This may cause severe undesired performance degradation for the other cells unless the reflection coefficients are properly designed. To tackle this issue, by utilizing the Riemannian manifold optimization method, an RIS reflection coefficients design is proposed in this paper to maximize the performance improvements of the cell that deploys the RIS while minimizing the undesired performance degradation for the other cells simultaneously. Numerical results demonstrate that the proposed design can effectively balance the two objectives for practical scenarios.




Abstract:This paper investigates reconfigurable intelligent surface (RIS)-aided frequency division duplexing (FDD) communication systems. Since the downlink and uplink signals are simultaneously transmitted in FDD, the phase shifts at the RIS should be designed to support both transmissions. Considering a single-user multiple-input multiple-output system, we formulate a weighted sum-rate maximization problem to jointly maximize the downlink and uplink system performance. To tackle the non-convex optimization problem, we adopt an alternating optimization (AO) algorithm, in which two phase shift optimization techniques are developed to handle the unit-modulus constraints induced by the reflection coefficients at the RIS. The first technique exploits the manifold optimization-based algorithm, while the second uses a lower-complexity AO approach. Numerical results verify that the proposed techniques rapidly converge to local optima and significantly improve the overall system performance compared to existing benchmark schemes.
Abstract:In this paper, a channel estimation technique for reconfigurable intelligent surface (RIS)-aided multi-user multiple-input single-output communication systems is proposed. By deploying a small number of active elements at the RIS, the RIS can receive and process the training signals. Through the partial channel state information (CSI) obtained from the active elements, the overall training overhead to estimate the entire channel can be dramatically reduced. To minimize the estimation complexity, the proposed technique is based on the linear combination of partial CSI, which only requires linear matrix operations. By exploiting the spatial correlation among the RIS elements, proper weights for the linear combination and normalization factors are developed. Numerical results show that the proposed technique outperforms other schemes using the active elements at the RIS in terms of the normalized mean squared error when the number of active elements is small, which is necessary to maintain the low cost and power consumption of RIS.




Abstract:In this paper, channel estimation techniques and phase shift design for intelligent reflecting surface (IRS)-empowered single-user multiple-input multiple-output (SU-MIMO) systems are proposed. Among four channel estimation techniques developed in the paper, the two novel ones, single-path approximated channel (SPAC) and selective emphasis on rank-one matrices (SEROM), have low training overhead to enable practical IRS-empowered SU-MIMO systems. SPAC is mainly based on parameter estimation by approximating IRS-related channels as dominant single-path channels. SEROM exploits IRS phase shifts as well as training signals for channel estimation and easily adjusts its training overhead. A closed-form solution for IRS phase shift design is also developed to maximize spectral efficiency where the solution only requires basic linear operations. Numerical results show that SPAC and SEROM combined with the proposed IRS phase shift design achieve high spectral efficiency even with low training overhead compared to existing methods.




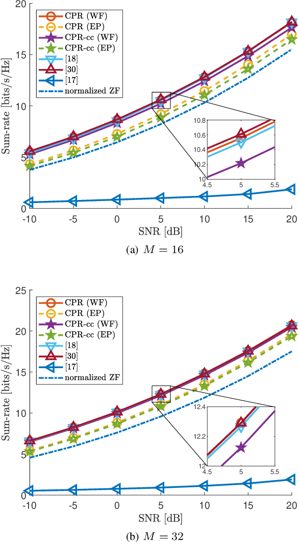
Abstract:This paper proposes a beamforming method under a per-antenna power constraint (PAPC). Although many beamformer designs with the PAPC need to solve complex optimization problems, the proposed complete power reallocation (CPR) method can generate beamformers with excellent performance only with linear operations. CPR is designed to have a simple structure, making it highly flexible and practical. In this paper, three CPR variations considering algorithm convergence speed, sum-rate maximization, and robustness to channel uncertainty are developed. Simulation results verify that CPR and its variations satisfy their design criteria, and, hence, CPR can be readily utilized for various purposes.




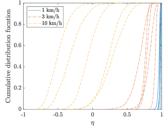
Abstract:This paper focuses on channel prediction techniques for massive multiple-input multiple-output (MIMO) systems. Previous channel predictors are based on theoretical channel models, which would be deviated from realistic channels. In this paper, we develop and compare a vector Kalman filter (VKF)-based channel predictor and a machine learning (ML)-based channel predictor using the realistic channels from the spatial channel model (SCM), which has been adopted in the 3GPP standard for years. First, we propose a low-complexity mobility estimator based on the spatial average using a large number of antennas in massive MIMO. The mobility estimate can be used to determine the complexity order of developed predictors. The VKF-based channel predictor developed in this paper exploits the autoregressive (AR) parameters estimated from the SCM channels based on the Yule-Walker equations. Then, the ML-based channel predictor using the linear minimum mean square error (LMMSE)-based noise pre-processed data is developed. Numerical results reveal that both channel predictors have substantial gain over the outdated channel in terms of the channel prediction accuracy and data rate. The ML-based predictor has larger overall computational complexity than the VKF-based predictor, but once trained, the operational complexity of ML-based predictor becomes smaller than that of VKF-based predictor.