Abstract:Integrated sensing and communication (ISAC) is a key feature of next-generation wireless networks, enabling a wide range of emerging applications such as vehicle-to-everything (V2X) and unmanned aerial vehicles (UAVs), which operate in high-mobility scenarios. Notably, the wireless channels within these applications typically exhibit severe delay and Doppler spreads. The latter causes serious communication performance degradation in the Orthogonal Frequency-Division Multiplexing (OFDM) waveform that is widely adopted in current wireless networks. To address this challenge, the recently proposed Doppler-resilient affine frequency division multiplexing (AFDM) waveform, which uses flexible chirp signals as subcarriers, shows great potential for achieving adaptive ISAC in high-mobility scenarios. This article provides a comprehensive overview of AFDM-ISAC. We begin by presenting the fundamentals of AFDM-ISAC, highlighting its inherent frequency-modulated continuous-wave (FMCW)-like characteristics. Then, we explore its ISAC performance limits by analyzing its diversity order, ambiguity function (AF), and Cramer-Rao Bound (CRB). Finally, we present several effective sensing algorithms and opportunities for AFDM-ISAC, with the aim of sparking new ideas in this emerging field.




Abstract:The following paper presents a systematic 3rd Generation Partnership Project (3GPP)-compliant characterization of radar cross section (RCS) for indoor factory (InF) objects, including small and mid-sized unmanned aerial vehicles (UAVs), robotic arms, and automated guided vehicles (AGVs). Through measurements in the 25-28 GHz range, we validate the 3GPP standardized log-normal distribution model for RCS for above-mentioned target objects. The 3GPP-complaint RCS parameters obtained for the small-sized UAV are in close agreement (<1 dB deviation) with 3GPP agreed values. The mid-sized UAVs exhibit higher reflectivity compared to the small-sized UAV due to enhanced specular components attributed to material and lithium-ion battery packs. The robotic arm exhibits dynamic RCS behavior due to mechanical articulation, whereas UAVs show clear size-dependent reflectivity patterns in AGVs. Our findings provide empirical validation for RCS characterization for integrated sensing and communication channel modeling in InF environments.
Abstract:Driven by the pursuit of gigabit-per-second data speeds for future 6G mobile networks, in addition to the support of sensing and artificial intelligence applications, the industry is expanding beyond crowded sub-6 GHz bands with innovative new spectrum allocations. In this paper, we chart a compelling vision for 6G within the frequency range 3 (FR3) spectrum, i.e. $7.125$-$24.25$ $\GHz$, by delving into its key enablers and addressing the multifaceted challenges that lie ahead for these new frequency bands. Here we highlight the physical properties of this \textcolor{black}{never-before} used spectrum by reviewing recent channel measurements for outdoor and indoor environments, including path loss, delay and angular spreads, and material penetration loss, all which offer insights that underpin future 5G/6G wireless communication designs. Building on the fundamental knowledge of the channel properties, we explore FR3 spectrum agility strategies that balance coverage and capacity (e.g. data rate) tradeoffs, while also examining coexistence with incumbent systems, such as satellites, radio astronomy, and earth exploration. Moreover, we discuss the potential of massive multiple-input multiple-output, compact and digital architectures, and evaluate the potential of multiband sensing for FR3 integrated sensing and communications. Finally, we outline 6G standardization features that are likely to emerge from 3GPP radio frame innovations and open radio access network developments.
Abstract:In this study, we perform a statistical analysis of the radar cross section (RCS) for various test targets in an indoor factory at \(25\)-\(28\) GHz, with the goal of formulating parameters that may be used for target identification and other sensing applications for future wireless systems. The analysis is conducted based on measurements in monostatic and bistatic configurations for bistatic angles of \(20^\circ\), \(40^\circ\), and \(60^\circ\), which are functions of transmitter-receiver (T-R) and target positions, via accurate \(3\)dB beamwidth of \(10^\circ\) in both azimuth and elevation planes. The test targets include unmanned aerial vehicles, an autonomous mobile robot, and a robotic arm. We utilize parametric statistical distributions to fit the measured RCS data. The analysis reveals that the \textit{lognormal and gamma distributions} are effective in modeling the RCS of the test targets over different reflecting points of the target itself, i.e. when target is in motion. Additionally, we provide a framework for evaluating the deterministic bistatic RCS of a rectangular sheet of laminated wood, due to its widespread use in indoor hotspot environments. Novel deterministic and statistical RCS models are evaluated, incorporating dependencies on the bistatic angle, T-R distance (\(2\)m -\(10\)m) and the target. The results demonstrate that some proposed RCS models accurately fit the measured data, highlighting their applicability in bistatic configurations.




Abstract:This paper introduces a novel Multi-Agent Reinforcement Learning (MARL) framework to enhance integrated sensing and communication (ISAC) networks using unmanned aerial vehicle (UAV) swarms as sensing radars. By framing the positioning and trajectory optimization of UAVs as a Partially Observable Markov Decision Process, we develop a MARL approach that leverages centralized training with decentralized execution to maximize the overall sensing performance. Specifically, we implement a decentralized cooperative MARL strategy to enable UAVs to develop effective communication protocols, therefore enhancing their environmental awareness and operational efficiency. Additionally, we augment the MARL solution with a transmission power adaptation technique to mitigate interference between the communicating drones and optimize the communication protocol efficiency. Moreover, a transmission power adaptation technique is incorporated to mitigate interference and optimize the learned communication protocol efficiency. Despite the increased complexity, our solution demonstrates robust performance and adaptability across various scenarios, providing a scalable and cost-effective enhancement for future ISAC networks.




Abstract:The following paper provides a multi-band channel measurement analysis on the frequency range (FR)3. This study focuses on the FR3 low frequencies 6.5 GHz and 8.75 GHz with a setup tailored to the context of integrated sensing and communication (ISAC), where the data are collected with and without the presence of a target. A method based on multiple signal classification (MUSIC) is used to refine the delays of the channel impulse response estimates. The results reveal that the channel at the lower frequency 6.5 GHz has additional distinguishable multipath components in the presence of the target, while the one associated with the higher frequency 8.75 GHz has more blockage. The set of results reported in this paper serves as a benchmark for future multi-band studies in the FR3 spectrum.
Abstract:In this work, we statistically analyze the radar cross section (RCS) of different test targets present in an indoor factory (InF) scenario specified by 3rd Generation Partnership Project considering bistatic configuration. The test targets that we consider are drones, humans, quadruped robot and a robotic arm. We consider two drones of different sizes and five human subjects for RCS characterization. For the drones, we measure the RCS when they are are flying over a given point and while they are rotating over the same point. For human subjects, we measure the RCS while standing still, sitting still and walking. For quadruped robot and robotic arm, we consider a continuous random motion emulating different tasks which they are supposed to perfom in typical InF scenario. We employ different distributions, such as Normal, Lognormal, Gamma, Rician, Weibull, Rayleigh and Exponential to fit the measurement data. From the statistical analysis, we gather that Lognormal distribution can fit all the considered targets in the InF scenario.




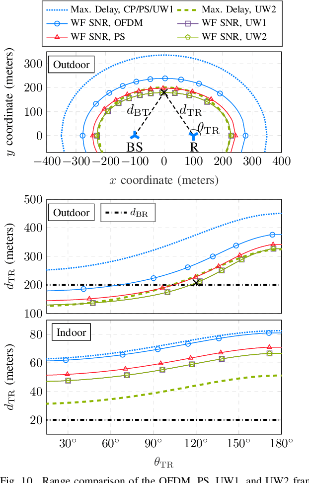
Abstract:Integrated sensing and communication (ISAC) aims at enhancing the network functionalities and enabling new applications in the upcoming communications networks. In this paper, we propose two unique word (UW)-based frame designs for bistatic ISAC. The approach consists of replacing the cyclic prefix (CP) with a Zadoff-Chu (ZC)-based sequence. With this approach, the radar receiver does not need to know the data symbols to perform sensing and the data rate is not compromised by the addition of extra pilots. The sensing performance of the UW-based frames is compared with that of orthogonal frequency division multiplexing (OFDM) as well as the pilot-symbol (PS) based radar processing. We derive the Cram\'er-Rao bound (CRB) considering a band-limited system with raised-cosine filtering. Furthermore, we provide low-complexity fast Fourier transform (FFT)-based radar receivers that perform integer and fine grid multi-target delay-Doppler (DD) estimations. For the integer FFT-based receiver, an upper bound for the outlier probability is derived when the true DD falls outside the integer grid. The results demonstrate that the UW frames exhibit competitive radar performance with PS while having a 16.67% higher data rate for the cases investigated.




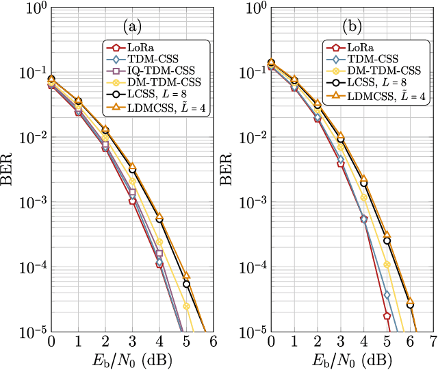
Abstract:This article examines two chirp spread spectrum techniques specifically devised for low-power wide-area networks (LPWANs) to optimize energy and spectral efficiency (SE). These methods referred to as layered CSS (LCSS) and layered dual-mode CSS (LDMCSS), involves utilizing multiple layers for multiplexing symbols with varying chirp rates. These waveform designs exemplify a high degree of SE compared to existing schemes. Additionally, LDMCSS necessitates a lesser number of layers than LCSS to attain comparable SE, thereby reducing computational complexity. These proposed techniques can employ coherent and non-coherent detection and can be adjusted to achieve various spectral efficiencies by altering the number of multiplexed layers. Unlike our proposed LCSS and LDMCSS, other CSS alternatives for LPWANs cannot provide the same level of flexibility and SE. The performance of these techniques is evaluated in terms of bit error rate under different channel conditions, as well as with phase and frequency offsets.




Abstract:Integrated sensing and communication (ISAC) in wireless systems has emerged as a promising paradigm, offering the potential for improved performance, efficient resource utilization, and mutually beneficial interactions between radar sensing and wireless communications, thereby shaping the future of wireless technologies. In this work, we present two novel methods to address the joint angle of arrival and angle of departure estimation problem for bistatic ISAC systems. Our proposed methods consist of a deep learning (DL) solution leveraging complex neural networks, in addition to a parameterized algorithm. By exploiting the estimated channel matrix and incorporating a preprocessing step consisting of a coarse timing estimation, we are able to notably reduce the input size and improve the computational efficiency. In our findings, we emphasize the remarkable potential of our DL-based approach, which demonstrates comparable performance to the parameterized method that explicitly exploits the multiple-input multiple-output (MIMO) model, while exhibiting significantly lower computational complexity.