

Abstract:Reconfigurable intelligent surface (RIS)-aided terahertz (THz)-band communications are promising enablers for future wireless networks. However, array densification at high frequencies introduces significant challenges in accurate channel modeling and estimation, particularly with THz-specific fading, mutual coupling (MC), spatial correlation, and near-field effects. In this work, we model THz outdoor small-scale fading channels using the mixture gamma (MG) distribution, considering absorption losses, spherical wave propagation, MC, and spatial correlation across large base stations and RISs. We derive the distribution of the cascaded RIS-aided channel and investigate linear channel estimation techniques, analyzing the impact of various channel parameters. Numerical results based on precise THz parameters reveal that accounting for spatial correlation, MC, and near-field modeling substantially enhances estimation accuracy, especially in ultra-massive arrays and short-range scenarios. These results underscore the importance of incorporating these effects for precise, physically consistent channel modeling.
Abstract:Harnessing diversity is fundamental to wireless communication systems, particularly in the terahertz (THz) band, where severe path loss and small-scale fading pose significant challenges to system reliability and performance. In this paper, we present a comprehensive diversity analysis for indoor THz communication systems, accounting for the combined effects of path loss and small-scale fading, with the latter modeled as an $\alpha-\mu$ distribution to reflect THz indoor channel conditions. We derive closed-form expressions for the bit error rate (BER) as a function of the reciprocal of the signal-to-noise ratio (SNR) and propose an asymptotic expression. Furthermore, we validate these expressions through extensive simulations, which show strong agreement with the theoretical analysis, confirming the accuracy and robustness of the proposed methods. Our results show that the diversity order in THz systems is primarily determined by the combined effects of the number of independent paths, the severity of fading, and the degree of channel frequency selectivity, providing clear insights into how diversity gains can be optimized in high-frequency wireless networks.
Abstract:Achieving terabit-per-second (Tbps) data rates in terahertz (THz)-band communications requires bridging the complexity gap in baseband transceiver design. This work addresses the signal processing challenges associated with data detection in THz multiple-input multiple-output (MIMO) systems. We begin by analyzing the trade-offs between performance and complexity across various detection schemes and THz channel models, demonstrating significant complexity reduction by leveraging spatial parallelizability over subspaces of correlated THz MIMO channels. We derive accurate detection error probability bounds by accounting for THz-specific channel models and mismatches introduced by subspace decomposition. Building on this, we propose a subspace detector that integrates layer sorting, QR decomposition, and channel-matrix puncturing to balance performance loss and parallelizability. Furthermore, we introduce a channel-matrix reuse strategy for wideband THz MIMO detection. Simulations over accurate, ill-conditioned THz channels show that efficient parallelizability achieves multi-dB performance gains, while wideband reuse strategies offer computational savings with minimal performance degradation.




Abstract:This work studies the problems of channel estimation and beamforming for active reconfigurable intelligent surface~(RIS)-assisted communication, incorporating the mutual coupling~(MC) effect through an electromagnetically consistent model based on scattering parameters. We first demonstrate that MC can be incorporated into a compressed sensing~(CS) estimation formulation, albeit with an increase in the dimensionality of the sensing matrix. To overcome this increased complexity, we propose a two-stage strategy. Initially, a low-complexity MC-unaware CS estimation is performed to obtain a coarse channel estimate, which is then used to implement a dictionary reduction (DR) technique, effectively reducing the dimensionality of the sensing matrices. This method achieves low complexity comparable to the conventional MC-unaware approach while providing estimation accuracy close to that of the direct MC-aware CS method. We then consider the joint optimization of RIS configuration and base station (BS) combining in an uplink single-input multiple-output system. We employ an alternating optimization strategy where the BS combiner is derived in closed form for a given RIS configuration. The primary challenge lies in optimizing the RIS configuration, as the MC effect renders the problem non-convex and intractable. To address this, we propose a novel algorithm based on the successive convex approximation (SCA) and the Neumann series. Within the SCA framework, we propose a surrogate function that rigorously satisfies both convexity and equal-gradient conditions to update the iteration direction. Numerical results validate our proposal, demonstrating that the proposed channel estimation and beamforming methods effectively manage the MC in RIS, achieving higher spectral efficiency compared to state-of-the-art approaches.
Abstract:As advancements close the gap between current device capabilities and the requirements for terahertz (THz)-band communications, the demand for terabit-per-second (Tbps) circuits is on the rise. This paper addresses the challenge of achieving Tbps data rates in THz-band communications by focusing on the baseband computation bottleneck. We propose leveraging parallel processing and pseudo-soft information (PSI) across multicarrier THz channels for efficient channel code decoding. We map bits to transmission resources using shorter code-words to enhance parallelizability and reduce complexity. Additionally, we integrate channel state information into PSI to alleviate the processing overhead of soft decoding. Results demonstrate that PSI-aided decoding of 64-bit code-words halves the complexity of 128-bit hard decoding under comparable effective rates, while introducing a 4 dB gain at a $10^{-3}$ block error rate. The proposed scheme approximates soft decoding with significant complexity reduction at a graceful performance cost.
Abstract:The precision of link-level theoretical performance analysis for emerging wireless communication paradigms is critical. Recent studies have demonstrated the excellent fitting capabilities of the mixture gamma (MG) distribution in representing small-scale fading in outdoor terahertz (THz)-band scenarios. Our study establishes an in-depth performance analysis for outdoor point-to-point THz links under realistic configurations, incorporating MG small-scale fading combined with the misalignment effect. We derive closed-form expressions for the bit-error probability, outage probability, and ergodic capacity. Furthermore, we conduct an asymptotic analysis of these metrics at high signal-to-noise ratios and derive the necessary convergence conditions. Simulation results, leveraging precise measurement-based channel parameters in various configurations, closely align with the derived analytical equations.




Abstract:Recent advances in electronic and photonic technologies have allowed efficient signal generation and transmission at terahertz (THz) frequencies. However, as the gap in THz-operating devices narrows, the demand for terabit-per-second (Tbps)-achieving circuits is increasing. Translating the available hundreds of gigahertz (GHz) of bandwidth into a Tbps data rate requires processing thousands of information bits per clock cycle at state-of-the-art clock frequencies of digital baseband processing circuitry of a few GHz. This paper addresses these constraints and emphasizes the importance of parallelization in signal processing, particularly for channel code decoding. By leveraging structured sub-spaces of THz channels, we propose mapping bits to transmission resources using shorter code words, extending parallelizability across all baseband processing blocks. THz channels exhibit quasi-deterministic frequency, time, and space structures that enable efficient parallel bit mapping at the source and provide pseudo-soft bit reliability information for efficient detection and decoding at the receiver.




Abstract:Non-orthogonal multiple access (NOMA) communications promise high spectral efficiency and massive connectivity, serving multiple users over the same time-frequency-code resources. Higher data rates and massive connectivity are also achieved by leveraging wider bandwidths at higher frequencies, especially in the terahertz (THz) band. This work investigates the prospects and challenges of combining these algorithmic and spectrum enablers in THz-band NOMA communications. We consider power-domain NOMA coupled with successive interference cancellation at the receiver, focusing on multiple-input multiple-output (MIMO) systems as antenna arrays are crucial for THz communications. On the system level, we study the scalability of THz-NOMA beamforming, clustering, and spectrum/power allocation algorithms and motivate stochastic geometry techniques for performance analysis and system modeling. On the link level, we highlight the challenges in channel estimation and data detection and the constraints on computational complexity. We further illustrate future research directions. When properly configured and given sufficient densification, THz-band NOMA communications can significantly improve the performance and capacity of future wireless networks.




Abstract:Terahertz (THz) communications are celebrated as key enablers for converged localization and sensing in future sixth-generation (6G) wireless communication systems and beyond. Instead of being a byproduct of the communication system, localization in 6G is indispensable for location-aware communications. Towards this end, we aim to identify the prospects, challenges, and requirements of THz localization techniques. We first review the history and trends of localization methods and discuss their objectives, constraints, and applications in contemporary communication systems. We then detail the latest advances in THz communications and introduce the THz-specific channel and system models. Afterward, we formulate THz-band localization as a 3D position/orientation estimation problem, detailing geometry-based localization techniques and describing potential THz localization and sensing extensions. We further formulate the offline design and online optimization of THz localization systems, provide numerical simulation results, and conclude by providing insight into interdisciplinary future research directions. Preliminary results illustrate that under the same total transmission power and time, THz-based localization is ~5 (~20) times more accurate than mmWave-based localization without (with) prior position information.




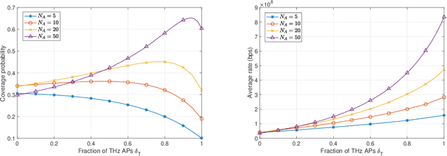
Abstract:Wireless communications over Terahertz (THz)-band frequencies are vital enablers of ultra-high rate applications and services in sixth-generation (6G) networks. However, THz communications suffer from poor coverage because of inherent THz features such as high penetration losses, severe path loss, and significant molecular absorption. To surmount these critical challenges and fully exploit the THz band, we explore a coexisting radio frequency (RF) and THz finite indoor network in which THz small cells are deployed to provide high data rates, and RF macrocells are deployed to satisfy coverage requirements. Using stochastic geometry tools, we assess the performance of coexisting RF and THz networks in terms of coverage probability and average achievable rate. The accuracy of the analytical results is validated with Monte-Carlo simulations. Several insights are devised for accurate tuning and optimization of THz system parameters, including the fraction of THz access points (APs) to deploy, and the THz bias. The obtained results recognize a clear coverage/rate trade-off where a high fraction of THz AP improves the rate significantly but may degrade the coverage performance. Furthermore, the location of the user in the finite area highly affects the fraction of THz APs that optimizes the performance.