Abstract:To enable effective human-AI collaboration, merely optimizing AI performance while ignoring humans is not sufficient. Recent research has demonstrated that designing AI agents to account for human behavior leads to improved performance in human-AI collaboration. However, a limitation of most existing approaches is their assumption that human behavior is static, irrespective of AI behavior. In reality, humans may adjust their action plans based on their observations of AI behavior. In this paper, we address this limitation by enabling a collaborative AI agent to consider the beliefs of its human partner, i.e., what the human partner thinks the AI agent is doing, and design its action plan to facilitate easier collaboration with its human partner. Specifically, we developed a model of human beliefs that accounts for how humans reason about the behavior of their AI partners. Based on this belief model, we then developed an AI agent that considers both human behavior and human beliefs in devising its strategy for working with humans. Through extensive real-world human-subject experiments, we demonstrated that our belief model more accurately predicts humans' beliefs about AI behavior. Moreover, we showed that our design of AI agents that accounts for human beliefs enhances performance in human-AI collaboration.
Abstract:Goal recognition design aims to make limited modifications to decision-making environments with the goal of making it easier to infer the goals of agents acting within those environments. Although various research efforts have been made in goal recognition design, existing approaches are computationally demanding and often assume that agents are (near-)optimal in their decision-making. To address these limitations, we introduce a data-driven approach to goal recognition design that can account for agents with general behavioral models. Following existing literature, we use worst-case distinctiveness ($\textit{wcd}$) as a measure of the difficulty in inferring the goal of an agent in a decision-making environment. Our approach begins by training a machine learning model to predict the $\textit{wcd}$ for a given environment and the agent behavior model. We then propose a gradient-based optimization framework that accommodates various constraints to optimize decision-making environments for enhanced goal recognition. Through extensive simulations, we demonstrate that our approach outperforms existing methods in reducing $\textit{wcd}$ and enhancing runtime efficiency in conventional setups, and it also adapts to scenarios not previously covered in the literature, such as those involving flexible budget constraints, more complex environments, and suboptimal agent behavior. Moreover, we have conducted human-subject experiments which confirm that our method can create environments that facilitate efficient goal recognition from real-world human decision-makers.
Abstract:Sparse computation offers a compelling solution for the inference of Large Language Models (LLMs) in low-resource scenarios by dynamically skipping the computation of inactive neurons. While traditional approaches focus on ReLU-based LLMs, leveraging zeros in activation values, we broaden the scope of sparse LLMs beyond zero activation values. We introduce a general method that defines neuron activation through neuron output magnitudes and a tailored magnitude threshold, demonstrating that non-ReLU LLMs also exhibit sparse activation. To find the most efficient activation function for sparse computation, we propose a systematic framework to examine the sparsity of LLMs from three aspects: the trade-off between sparsity and performance, the predictivity of sparsity, and the hardware affinity. We conduct thorough experiments on LLMs utilizing different activation functions, including ReLU, SwiGLU, ReGLU, and ReLU$^2$. The results indicate that models employing ReLU$^2$ excel across all three evaluation aspects, highlighting its potential as an efficient activation function for sparse LLMs. We will release the code to facilitate future research.




Abstract:Recently, a two-dimension (2D) modulation waveform of orthogonal time-frequency-space (OTFS) has been a popular 6G candidate to replace existing orthogonal frequency division multiplexing (OFDM). The extensive OTFS researches help to make both the advantages and limitations of OTFS more and more clear. The limitations are not easy to overcome as they come from OTFS on-grid 2D convolution channel model. Instead of solving OTFS inborn challenges, this paper proposes a novel 2D modulation waveform named orthogonal time-frequency division multiplexing (OTFDM). OTFDM uses a 2D dot-product channel model to cope with doubly-selectivity. Compared with OTFS, OTFDM supports grid-free channel delay and Doppler and gains a simple and efficient 2D equalization. The concise dot-division equalization can be easily combined with MIMO. The simulation result shows that OTFDM is able to bear high mobility and greatly outperforms OFDM in doubly-selective channel.




Abstract:Joint communication and sensing (JCAS) is a very promising 6G technology, which attracts more and more research attention. Unlike communication, radar has many unique features in terms of waveform criteria, self-interference cancellation (SIC), aperture-dependent resolution, and virtual aperture. This paper proposes a waveform design named max-aperture radar slicing (MaRS) to gain a large time-frequency aperture, which reuses the orthogonal frequency division multiplexing (OFDM) hardware and occupies only a tiny fraction of OFDM resources. The proposed MaRS keeps the radar advantages of constant modulus, zero auto-correlation, and simple SIC. Joint space-time processing algorithms are proposed to recover the range-velocity-angle information from strong clutters. Furthermore, this paper proposes a hybrid-duplex JCAS scheme where communication is half-duplex while radar is full-duplex. In this scheme, the half-duplex communication antenna array is reused, and a small sensing-dedicated antenna array is specially designed. Using these two arrays, a large space-domain aperture is virtually formed to greatly improve the angle resolution. The numerical results show that the proposed MaRS and hybrid-duplex schemes achieve a high sensing resolution with less than 0.4% OFDM resources and gain an almost 100% hit rate for both car and UAV detection at a range up to 1 km.




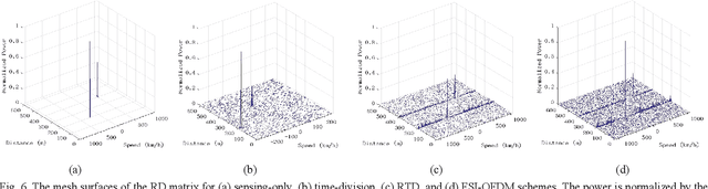
Abstract:Joint communications and sensing is a promising 6G technology, and the challenge is how to integrate them efficiently. Existing frequency-division and time-division coexistence can hardly bring a gain of integration. Directly using orthogonal frequency-division multiplexing (OFDM) to sense requires complex in-band full-duplex to cancel the selfinterference (SI). To solve these problems, this paper proposes novel coexistence schemes to gain super sensing range (SSR) and simple SI cancellation. SSR enables JCS to gain a sensing range of a sensing-only scheme and shares the resources with communications. Random time-division is proposed to gain a super Doppler range. Flexible sensing implanted OFDM (FSIOFDM) is also proposed. FSI-OFDM uses random sensing occasions to gain super Doppler range, as well as utilizes the fixed tail sensing occasions to achieve supper distance range. The simulation results show that the proposed schemes can gain SSR with limited resources.




Abstract:Reconfigurable intelligent surface (RIS) can improve the capacity of the wireless communication system by providing the extra link between the base station (BS) and the user. In order to resist the "multiplicative fading" effect, RIS is more likely to develop into extremely large-scale RIS (XL-RIS) for future 6G communications. Beam training is an effective way to acquire channel state information (CSI) for the XL-RIS assisted system. Existing beam training schemes rely on the far-field codebook, which is designed based on the far-field channel model. However, due to the large aperture of XL-RIS, the user is more likely to be in the near-field region of XL-RIS. The far-field codebook mismatches the near-field channel model. Thus, the existing far-field beam training scheme will cause severe performance loss in the XL-RIS assisted near-field communications. To solve this problem, we propose the efficient near-field beam training schemes by designing the near-field codebook to match the near-field channel model. Specifically, we firstly design the near-field codebook by considering the near-field cascaded array steering vector of XL-RIS. Then, the optimal codeword for XL-RIS is obtained by the exhausted training procedure between the XL-RIS and the user. In order to reduce the beam training overhead, we further design a hierarchical near-field codebook and propose the corresponding hierarchical near-field beam training scheme, where different levels of sub-codebooks are searched in turn with reduced codebook size. Simulation results show the two proposed near-field beam training schemes both perform better than the existing far-field beam training scheme. Particulary, the hierarchical near-field beam training scheme can greatly reduce the beam training overhead with acceptable performance loss.




Abstract:Cell-free massive MIMO provides ubiquitous connectivity for multiple users, and implementation using radio stripes is very efficient. Compared with collocated massive MIMO, the major cost includes fronthaul overheads and AP hardware. Maximum ratio combination (MRC) achieves a low fronthaul loading and low-cost AP, but the performance is bad. This letter proposes to implement a quasi-LMMSE (Q-LMMSE) processing using MRC fronthaul design. Q-LMMSE is derived from a standard LMMSE, which gains interference information from MRC signal via singular value decomposition. Simulation results show that the proposed Q-LMMSE increases the spectral efficiency by several times using same MRC fronthaul.