

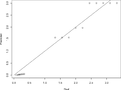
Abstract:Uplift modeling estimates the causal effect of an intervention as the difference between potential outcomes under treatment and control, whereas counterfactual identification aims to recover the joint distribution of these potential outcomes (e.g., "Would this customer still have churned had we given them a marketing offer?"). This joint counterfactual distribution provides richer information than the uplift but is harder to estimate. However, the two approaches are synergistic: uplift models can be leveraged for counterfactual estimation. We propose a counterfactual estimator that fits a bivariate beta distribution to predicted uplift scores, yielding posterior distributions over counterfactual outcomes. Our approach requires no causal assumptions beyond those of uplift modeling. Simulations show the efficacy of the approach, which can be applied, for example, to the problem of customer churn in telecom, where it reveals insights unavailable to standard ML or uplift models alone.




Abstract:Though intelligent agents are supposed to improve human experience (or make it more efficient), it is hard from a human perspective to grasp the ethical values which are explicitly or implicitly embedded in an agent behaviour. This is the well-known problem of alignment, which refers to the challenge of designing AI systems that align with human values, goals and preferences. This problem is particularly challenging since most human ethical considerations refer to \emph{incommensurable} (i.e. non-measurable and/or incomparable) values and criteria. Consider, for instance, a medical agent prescribing a treatment to a cancerous patient. How could it take into account (and/or weigh) incommensurable aspects like the value of a human life and the cost of the treatment? Now, the alignment between human and artificial values is possible only if we define a common space where a metric can be defined and used. This paper proposes to extend to ethics the conventional Anything2vec approach, which has been successful in plenty of similar and hard-to-quantify domains (ranging from natural language processing to recommendation systems and graph analysis). This paper proposes a way to map an automatic agent decision-making (or control law) strategy to a multivariate vector representation, which can be used to compare and assess the alignment with human values. The Ethics2Vec method is first introduced in the case of an automatic agent performing binary decision-making. Then, a vectorisation of an automatic control law (like in the case of a self-driving car) is discussed to show how the approach can be extended to automatic control settings.
Abstract:Simulation is a valuable tool for traffic management experts to assist them in refining and improving transportation systems and anticipating the impact of possible changes in the infrastructure network before their actual implementation. Calibrating simulation models using traffic count data is challenging because of the complexity of the environment, the lack of data, and the uncertainties in traffic dynamics. This paper introduces a novel stochastic simulation-based traffic calibration technique. The novelty of the proposed method is: (i) it performs local traffic calibration, (ii) it allows calibrating simulated traffic in large-scale environments, (iii) it requires only the traffic count data. The local approach enables decentralizing the calibration task to reach near real-time performance, enabling the fostering of digital twins. Using only traffic count data makes the proposed method generic so that it can be applied in different traffic scenarios at various scales (from neighborhood to region). We assess the proposed technique on a model of Brussels, Belgium, using data from real traffic monitoring devices. The proposed method has been implemented using the open-source traffic simulator SUMO. Experimental results show that the traffic model calibrated using the proposed method is on average 16% more accurate than those obtained by the state-of-the-art methods, using the same dataset. We also make available the output traffic model obtained from real data.




Abstract:Adversarial attacks pose a significant threat to data-driven systems, and researchers have spent considerable resources studying them. Despite its economic relevance, this trend largely overlooked the issue of credit card fraud detection. To address this gap, we propose a new threat model that demonstrates the limitations of existing attacks and highlights the necessity to investigate new approaches. We then design a new adversarial attack for credit card fraud detection, employing reinforcement learning to bypass classifiers. This attack, called FRAUD-RLA, is designed to maximize the attacker's reward by optimizing the exploration-exploitation tradeoff and working with significantly less required knowledge than competitors. Our experiments, conducted on three different heterogeneous datasets and against two fraud detection systems, indicate that FRAUD-RLA is effective, even considering the severe limitations imposed by our threat model.
Abstract:Characterizing domains is essential for models analyzing dynamic environments, as it allows them to adapt to evolving conditions or to hand the task over to backup systems when facing conditions outside their operational domain. Existing solutions typically characterize a domain by solving a regression or classification problem, which limits their applicability as they only provide a limited summarized description of the domain. In this paper, we present a novel approach to domain characterization by characterizing domains as probability distributions. Particularly, we develop a method to predict the likelihood of different weather conditions from images captured by vehicle-mounted cameras by estimating distributions of physical parameters using normalizing flows. To validate our proposed approach, we conduct experiments within the context of autonomous vehicles, focusing on predicting the distribution of weather parameters to characterize the operational domain. This domain is characterized by physical parameters (absolute characterization) and arbitrarily predefined domains (relative characterization). Finally, we evaluate whether a system can safely operate in a target domain by comparing it to multiple source domains where safety has already been established. This approach holds significant potential, as accurate weather prediction and effective domain adaptation are crucial for autonomous systems to adjust to dynamic environmental conditions.




Abstract:Seismic data is often sparse and unevenly distributed due to the high costs and logistical challenges associated with deploying physical seismometers, limiting the application of Machine Learning (ML) in earthquake analysis. To address this gap, we introduce PyAWD, a Python library designed to generate high-resolution synthetic datasets simulating spatio-temporal acoustic wave propagation in both two-dimensional and three-dimensional heterogeneous media. By allowing fine control over parameters such as wave speed, external forces, spatial and temporal discretization, and media composition, PyAWD enables the creation of ML-scale datasets that capture the complexity of seismic wave behavior. We illustrate the library's potential with an epicenter retrieval task, showcasing its suitability for designing complex, accurate seismic problems that support advanced ML approaches in the absence or lack of dense real-world data.
Abstract:Uplift modeling, also known as individual treatment effect (ITE) estimation, is an important approach for data-driven decision making that aims to identify the causal impact of an intervention on individuals. This paper introduces a new benchmark dataset for uplift modeling focused on churn prediction, coming from a telecom company in Belgium, Orange Belgium. Churn, in this context, refers to customers terminating their subscription to the telecom service. This is the first publicly available dataset offering the possibility to evaluate the efficiency of uplift modeling on the churn prediction problem. Moreover, its unique characteristics make it more challenging than the few other public uplift datasets.
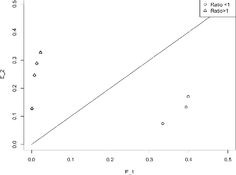
Abstract:Many-Objective Feature Selection (MOFS) approaches use four or more objectives to determine the relevance of a subset of features in a supervised learning task. As a consequence, MOFS typically returns a large set of non-dominated solutions, which have to be assessed by the data scientist in order to proceed with the final choice. Given the multi-variate nature of the assessment, which may include criteria (e.g. fairness) not related to predictive accuracy, this step is often not straightforward and suffers from the lack of existing tools. For instance, it is common to make use of a tabular presentation of the solutions, which provide little information about the trade-offs and the relations between criteria over the set of solutions. This paper proposes an original methodology to support data scientists in the interpretation and comparison of the MOFS outcome by combining post-processing and visualisation of the set of solutions. The methodology supports the data scientist in the selection of an optimal feature subset by providing her with high-level information at three different levels: objectives, solutions, and individual features. The methodology is experimentally assessed on two feature selection tasks adopting a GA-based MOFS with six objectives (number of selected features, balanced accuracy, F1-Score, variance inflation factor, statistical parity, and equalised odds). The results show the added value of the methodology in the selection of the final subset of features.
Abstract:Intelligent agents rely on AI/ML functionalities to predict the consequence of possible actions and optimise the policy. However, the effort of the research community in addressing prediction accuracy has been so intense (and successful) that it created the illusion that the more accurate the learner prediction (or classification) the better would have been the final decision. Now, such an assumption is valid only if the (human or artificial) decision maker has complete knowledge of the utility of the possible actions. This paper argues that AI/ML community has taken so far a too unbalanced approach by devoting excessive attention to the estimation of the state (or target) probability to the detriment of accurate and reliable estimations of the utility. In particular, few evidence exists about the impact of a wrong utility assessment on the resulting expected utility of the decision strategy. This situation is creating a substantial gap between the expectations and the effective impact of AI solutions, as witnessed by recent criticisms and emphasised by the regulatory legislative efforts. This paper aims to study this gap by quantifying the sensitivity of the expected utility to the utility uncertainty and comparing it to the one due to probability estimation. Theoretical and simulated results show that an inaccurate utility assessment may as (and sometimes) more harmful than a poor probability estimation. The final recommendation to the community is then to undertake a focus shift from a pure accuracy-driven (or obsessed) approach to a more utility-aware methodology.




Abstract:Despite the growing popularity of machine-learning techniques in decision-making, the added value of causal-oriented strategies with respect to pure machine-learning approaches has rarely been quantified in the literature. These strategies are crucial for practitioners in various domains, such as marketing, telecommunications, health care and finance. This paper presents a comprehensive treatment of the subject, starting from firm theoretical foundations and highlighting the parameters that influence the performance of the uplift and predictive approaches. The focus of the paper is on a binary outcome case and a binary action, and the paper presents a theoretical analysis of uplift modeling, comparing it with the classical predictive approach. The main research contributions of the paper include a new formulation of the measure of profit, a formal proof of the convergence of the uplift curve to the measure of profit ,and an illustration, through simulations, of the conditions under which predictive approaches still outperform uplift modeling. We show that the mutual information between the features and the outcome plays a significant role, along with the variance of the estimators, the distribution of the potential outcomes and the underlying costs and benefits of the treatment and the outcome.