Abstract:Modern Earth Observation (EO) systems increasingly rely on high-resolution imagery to support critical applications such as environmental monitoring, disaster response, and land-use analysis. Although these applications benefit from detailed visual data, the resulting data volumes impose significant challenges on satellite communication systems constrained by limited bandwidth, power, and dynamic link conditions. To address these limitations, this paper investigates Deep Joint Source-Channel Coding (DJSCC) as an effective source-channel paradigm for the transmission of EO imagery. We focus on two complementary aspects of semantic loss in DJSCC-based systems. First, a reconstruction-centric framework is evaluated by analyzing the semantic degradation of reconstructed images under varying compression ratios and channel signal-to-noise ratios (SNR). Second, a task-oriented framework is developed by integrating DJSCC with lightweight, application-specific models (e.g., EfficientViT), with performance measured using downstream task accuracy rather than pixel-level fidelity. Based on extensive empirical analysis, we propose a unified semantic loss framework that captures both reconstruction-centric and task-oriented performance within a single model. This framework characterizes the implicit relationship between JSCC compression, channel SNR, and semantic quality, offering actionable insights for the design of robust and efficient EO imagery transmission under resource-constrained satellite links.
Abstract:This paper investigates the unmanned aerial vehicle (UAV)-assisted resilience perspective in the 6G network energy saving (NES) scenario. More specifically, we consider multiple ground base stations (GBSs) and each GBS has three different sectors/cells in the terrestrial networks, and multiple cells are turned off due to NES or incidents, e.g., disasters, hardware failures, or outages. To address this, we propose a Multi-Agent Deep Deterministic Policy Gradient (MADDPG) framework to enable UAV-assisted communication by jointly optimizing UAV trajectories, transmission power, and user-UAV association under a sleeping ground base station (GBS) strategy. This framework aims to ensure the resilience of active users in the network and the long-term operability of UAVs. Specifically, it maximizes service coverage for users during power outages or NES zones, while minimizing the energy consumption of UAVs. Simulation results demonstrate that the proposed MADDPG policy consistently achieves high coverage ratio across different testing episodes, outperforming other baselines. Moreover, the MADDPG framework attains the lowest total energy consumption, with a reduction of approximately 24\% compared to the conventional all GBS ON configuration, while maintaining a comparable user service rate. These results confirm the effectiveness of the proposed approach in achieving a superior trade-off between energy efficiency and service performance, supporting the development of sustainable and resilient UAV-assisted cellular networks.




Abstract:Spectrum access is an essential problem in device-to-device (D2D) communications. However, with the recent growth in the number of mobile devices, the wireless spectrum is becoming scarce, resulting in low spectral efficiency for D2D communications. To address this problem, this paper aims to integrate the ambient backscatter communication technology into D2D devices to allow them to backscatter ambient RF signals to transmit their data when the shared spectrum is occupied by mobile users. To obtain the optimal spectrum access policy, i.e., stay idle or access the shared spectrum and perform active transmissions or backscattering ambient RF signals for transmissions, to maximize the average throughput for D2D users, deep reinforcement learning (DRL) can be adopted. However, DRL-based solutions may require long training time due to the curse of dimensionality issue as well as complex deep neural network architectures. For that, we develop a novel quantum reinforcement learning (RL) algorithm that can achieve a faster convergence rate with fewer training parameters compared to DRL thanks to the quantum superposition and quantum entanglement principles. Specifically, instead of using conventional deep neural networks, the proposed quantum RL algorithm uses a parametrized quantum circuit to approximate an optimal policy. Extensive simulations then demonstrate that the proposed solution not only can significantly improve the average throughput of D2D devices when the shared spectrum is busy but also can achieve much better performance in terms of convergence rate and learning complexity compared to existing DRL-based methods.




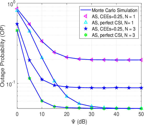
Abstract:This work investigates the security and reliability analysis for a novel satellite-terrestrial (SatTer) network. Specifically, a satellite attempts to transmit confidential information to a ground user (GU) via the support of multiple relay nodes in the presence of an eavesdropper that tries to overhear the information. A friendly jammer is deployed to improve the secure transmission between the satellite and the relays. Furthermore, satellite-to-relay generalized Rician fading channels and imperfect channel state information (CSI) are deployed to examine a general system model. In this context, the closed-formed expressions for the outage probability (OP) and intercept probability (IP) are derived corresponding to an amplify-and-forward (AF)-based relaying scheme, which is challenging and has not been studied before. Finally, the exactness of the mathematical analyses is validated through Monte Carlo simulations. Furthermore, the effects of various key parameters (e.g., channel estimation errors, satellite's transmit power, relay's transmit power, number of relays, and fading severity parameter) are examined.




Abstract:Radio-frequency (RF) energy harvesting (EH) in wireless relaying networks has attracted considerable recent interest, especially for supplying energy to relay nodes in Internet-of-Things (IoT) systems to assist the information exchange between a source and a destination. Moreover, limited hardware, computational resources, and energy availability of IoT devices have raised various security challenges. To this end, physical layer security (PLS) has been proposed as an effective alternative to cryptographic methods for providing information security. In this study, we propose a PLS approach for simultaneous wireless information and power transfer (SWIPT)-based half-duplex (HD) amplify-and-forward (AF) relaying systems in the presence of an eavesdropper. Furthermore, we take into account both static power splitting relaying (SPSR) and dynamic power splitting relaying (DPSR) to thoroughly investigate the benefits of each one. To further enhance secure communication, we consider multiple friendly jammers to help prevent wiretapping attacks from the eavesdropper. More specifically, we provide a reliability and security analysis by deriving closed-form expressions of outage probability (OP) and intercept probability (IP), respectively, for both the SPSR and DPSR schemes. Then, simulations are also performed to validate our analysis and the effectiveness of the proposed schemes. Specifically, numerical results illustrate the non-trivial trade-off between reliability and security of the proposed system. In addition, we conclude from the simulation results that the proposed DPSR scheme outperforms the SPSR-based scheme in terms of OP and IP under the influences of different parameters on system performance.

Abstract:Reconfigurable intelligent surfaces (RISs) have recently gained significant interest as an emerging technology for future wireless networks. This paper studies an RIS-assisted propagation environment, where a single-antenna source transmits data to a single-antenna destination in the presence of a weak direct link. We analyze and compare RIS designs based on long-term and short-term channel statistics in terms of coverage probability and ergodic rate. For the considered optimization designs, closed-form expressions for the coverage probability and ergodic rate are derived. We use numerical simulations to analyze and compare against analytic results in finite samples. Also, we show that the considered optimal phase shift designs outperform several heuristic benchmarks.




Abstract:This paper considers LEO satellite- and cache-assisted UAV communications for content delivery in terrestrial networks, which shows great potential for next-generation systems to provide ubiquitous connectivity and high capacity. Specifically, caching is provided by the UAV to reduce backhaul congestion, and the LEO satellite supports the UAV's backhaul link. In this context, we aim to maximize the minimum achievable throughput per ground user (GU) by jointly optimizing cache placement, the UAV's resource allocation, and trajectory while cache capacity and flight time are limited. The formulated problem is challenging to solve directly due to its non-convexity and combinatorial nature. To find a solution, the problem is decomposed into three sub-problems: (1) cache placement optimization with fixed UAV resources and trajectory, followed by (2) the UAV resources optimization with fixed cache placement vector and trajectory, and finally, (3) we optimize the UAV trajectory with fixed cache placement and UAV resources. Based on the solutions of sub-problems, an efficient alternating algorithm is proposed utilizing the block coordinate descent (BCD) and successive convex approximation (SCA) methods. Simulation results show that the max-min throughput and total achievable throughput enhancement can be achieved by applying our proposed algorithm instead of other benchmark schemes.