



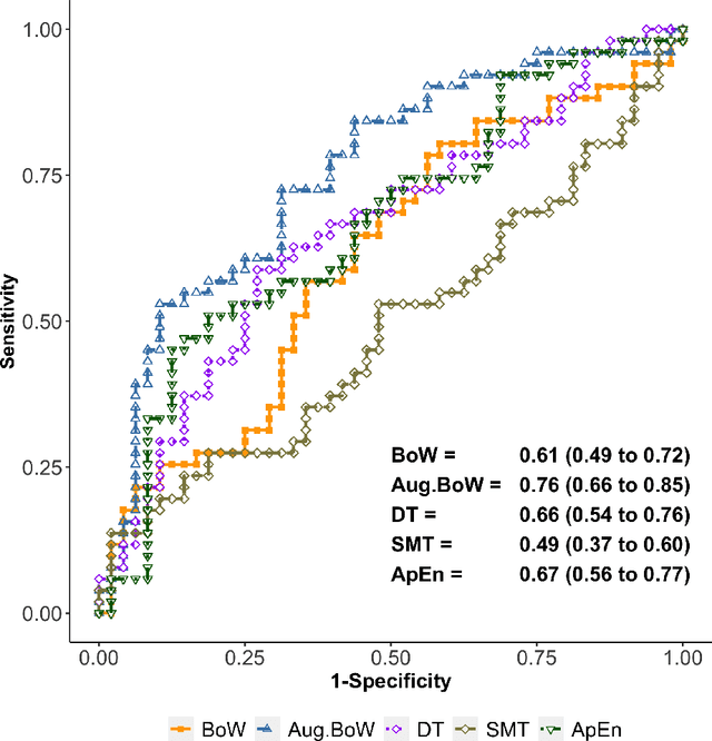
Abstract:Purpose: The objective of this investigation is to provide a comprehensive analysis of state-of-the-art methods for video-based assessment of surgical skill in the operating room. Methods: Using a data set of 99 videos of capsulorhexis, a critical step in cataract surgery, we evaluate feature based methods previously developed for surgical skill assessment mostly under benchtop settings. In addition, we present and validate two deep learning methods that directly assess skill using RGB videos. In the first method, we predict instrument tips as keypoints, and learn surgical skill using temporal convolutional neural networks. In the second method, we propose a novel architecture for surgical skill assessment that includes a frame-wise encoder (2D convolutional neural network) followed by a temporal model (recurrent neural network), both of which are augmented by visual attention mechanisms. We report the area under the receiver operating characteristic curve, sensitivity, specificity, and predictive values with each method through 5-fold cross-validation. Results: For the task of binary skill classification (expert vs. novice), deep neural network based methods exhibit higher AUC than the classical spatiotemporal interest point based methods. The neural network approach using attention mechanisms also showed high sensitivity and specificity. Conclusion: Deep learning methods are necessary for video-based assessment of surgical skill in the operating room. Our findings of internal validity of a network using attention mechanisms to assess skill directly using RGB videos should be evaluated for external validity in other data sets.




Abstract:Given two graphs, the graph matching problem is to align the two vertex sets so as to minimize the number of adjacency disagreements between the two graphs. The seeded graph matching problem is the graph matching problem when we are first given a partial alignment that we are tasked with completing. In this paper, we modify the state-of-the-art approximate graph matching algorithm "FAQ" of Vogelstein et al. (2015) to make it a fast approximate seeded graph matching algorithm, adapt its applicability to include graphs with differently sized vertex sets, and extend the algorithm so as to provide, for each individual vertex, a nomination list of likely matches. We demonstrate the effectiveness of our algorithm via simulation and real data experiments; indeed, knowledge of even a few seeds can be extremely effective when our seeded graph matching algorithm is used to recover a naturally existing alignment that is only partially observed.