Abstract:Pancreatic ductal adenocarcinoma (PDAC) is a highly aggressive cancer, with most cases diagnosed at stage IV and a five-year overall survival rate below 5%. Early detection and prognosis modeling are crucial for improving patient outcomes and guiding early intervention strategies. In this study, we developed and evaluated a deep learning fusion model that integrates radiology reports and CT imaging to predict PDAC risk. The model achieved a concordance index (C-index) of 0.6750 (95% CI: 0.6429, 0.7121) and 0.6435 (95% CI: 0.6055, 0.6789) on the internal and external dataset, respectively, for 5-year survival risk estimation. Kaplan-Meier analysis demonstrated significant separation (p<0.0001) between the low and high risk groups predicted by the fusion model. These findings highlight the potential of deep learning-based survival models in leveraging clinical and imaging data for pancreatic cancer.
Abstract:Purpose: To evaluate the sensitivity of normalized blood flow index (NBFI) for detecting early diabetic retinopathy (DR). Methods: Optical coherence tomography angiography (OCTA) images of 30 eyes from 20 healthy controls, 21 eyes of diabetic patients with no DR (NoDR) and 26 eyes from 22 patients with mild non-proliferative DR (NPDR) were analyzed in this study. The OCTA images were centered on the fovea and covered a 6 mm x 6 mm area. Enface projections of the superficial vascular plexus (SVP) and the deep capillary plexus (DCP) were obtained for the quantitative OCTA feature analysis. Three quantitative OCTA features were examined: blood vessel density (BVD), blood flow flux (BFF), and normalized blood flow index (NBFI). Each feature was calculated from both the SVP and DCP and their sensitivity to distinguish the three cohorts of the study were evaluated. Results: The only quantitative feature that was capable of distinguishing between all three cohorts was NBFI in the DCP image. Comparative study revealed that both BVD and BFF were able to distinguish the controls from NoDR and mild NPDR. However, neither BVD nor BFF was sensitive enough to separate NoDR from the healthy controls. Conclusion: The NBFI has been demonstrated as a sensitive biomarker of early DR, revealing retinal blood flow abnormality better than traditional BVD and BFF. The NBFI in the DCP was verified as the most sensitive biomarker, supporting that diabetes affects the DCP earlier than SVP in DR.
Abstract:Fundus photography is indispensable for clinical detection and management of eye diseases. Limited image contrast and field of view (FOV) are common limitations of conventional fundus cameras, making it difficult to detect subtle abnormalities at the early stages of eye diseases. Further improvements of image contrast and FOV coverage are important to improve early disease detection and reliable treatment assessment. We report here a portable fundus camera, with a wide FOV and high dynamic range (HDR) imaging capabilities. Miniaturized indirect ophthalmoscopy illumination was employed to achieve the portable design for nonmydriatic, widefield fundus photography. Orthogonal polarization control was used to eliminate illumination reflectance artifact. With independent power controls, three fundus images were sequentially acquired and fused to achieve HDR function for local image contrast enhancement. A 101{\deg} eye-angle (67{\deg} visual-angle) snapshot FOV was achieved for nonmydriatic fundus photography. The effective FOV can be readily expanded up to 190{\deg} eye-angle (134{\deg} visual-angle) with the aid of a fixation target, without the need of pharmacologic pupillary dilation. The effectiveness of HDR imaging was validated with both normal healthy and pathologic eyes, compared to a conventional fundus camera.




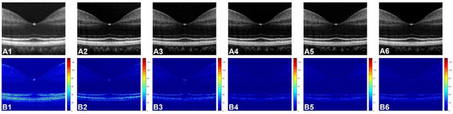
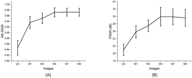
Abstract:Chromatic dispersion is a common problem to degrade the system resolution in optical coherence tomography (OCT). This study is to develop a deep learning network for automated dispersion compensation (ADC-Net) in OCT. The ADC-Net is based on a redesigned UNet architecture which employs an encoder-decoder pipeline. The input section encompasses partially compensated OCT B-scans with individual retinal layers optimized. Corresponding output is a fully compensated OCT B-scans with all retinal layers optimized. Two numeric parameters, i.e., peak signal to noise ratio (PSNR) and structural similarity index metric computed at multiple scales (MS-SSIM), were used for objective assessment of the ADC-Net performance. Comparative analysis of training models, including single, three, five, seven and nine input channels were implemented. The five-input channels implementation was observed as the optimal mode for ADC-Net training to achieve robust dispersion compensation in OCT




Abstract:This study is to characterize reflectance profiles of retinal blood vessels in optical coherence tomography (OCT), and to validate these vascular features to guide artery-vein classification in OCT angiography (OCTA) of human retina. Depth-resolved OCT reveals unique features of retinal arteries and veins. Retinal arteries show hyper-reflective boundaries at both upper (inner side towards the vitreous) and lower (outer side towards the choroid) walls. In contrary, retinal veins reveal hyper-reflectivity at the upper boundary only. Uniform lumen intensity was observed in both small and large arteries. However, the vein lumen intensity was dependent on the vessel size. Small veins exhibit a hyper-reflective zone at the bottom half of the lumen, while large veins show a hypo-reflective zone at the bottom half of the lumen