



Abstract:Existential rules are an expressive knowledge representation language mainly developed to query data. In the literature, they are often supposed to be in some normal form that simplifies technical developments. For instance, a common assumption is that rule heads are atomic, i.e., restricted to a single atom. Such assumptions are considered to be made without loss of generality as long as all sets of rules can be normalised while preserving entailment. However, an important question is whether the properties that ensure the decidability of reasoning are preserved as well. We provide a systematic study of the impact of these procedures on the different chase variants with respect to chase (non-)termination and FO-rewritability. This also leads us to study open problems related to chase termination of independent interest.




Abstract:The chase is a well-established family of algorithms used to materialize Knowledge Bases (KBs), like Knowledge Graphs (KGs), to tackle important tasks like query answering under dependencies or data cleaning. A general problem of chase algorithms is that they might perform redundant computations. To counter this problem, we introduce the notion of Trigger Graphs (TGs), which guide the execution of the rules avoiding redundant computations. We present the results of an extensive theoretical and empirical study that seeks to answer when and how TGs can be computed and what are the benefits of TGs when applied over real-world KBs. Our results include introducing algorithms that compute (minimal) TGs. We implemented our approach in a new engine, and our experiments show that it can be significantly more efficient than the chase enabling us to materialize KBs with 17B facts in less than 40 min on commodity machines.

Abstract:The chase is a sound and complete algorithm for conjunctive query answering over ontologies of existential rules with equality. To enable its effective use, we can apply acyclicity notions; that is, sufficient conditions that guarantee chase termination. Unfortunately, most of these notions have only been defined for existential rule sets without equality. A proposed solution to circumvent this issue is to treat equality as an ordinary predicate with an explicit axiomatisation. We empirically show that this solution is not efficient in practice and propose an alternative approach. More precisely, we show that, if the chase terminates for any equality axiomatisation of an ontology, then it terminates for the original ontology (which may contain equality). Therefore, one can apply existing acyclicity notions to check chase termination over an axiomatisation of an ontology and then use the original ontology for reasoning. We show that, in practice, doing so results in a more efficient reasoning procedure. Furthermore, we present equality model-faithful acyclicity, a general acyclicity notion that can be directly applied to ontologies with equality.




Abstract:It has been argued that it is much easier to convey logical statements using rules rather than OWL (or description logic (DL)) axioms. Based on recent theoretical developments on transformations between rules and DLs, we have developed ROWLTab, a Protege plugin that allows users to enter OWL axioms by way of rules; the plugin then automatically converts these rules into OWL 2 DL axioms if possible, and prompts the user in case such a conversion is not possible without weakening the semantics of the rule. In this paper, we present ROWLTab, together with a user evaluation of its effectiveness compared to entering axioms using the standard Protege interface. Our evaluation shows that modeling with ROWLTab is much quicker than the standard interface, while at the same time, also less prone to errors for hard modeling tasks.

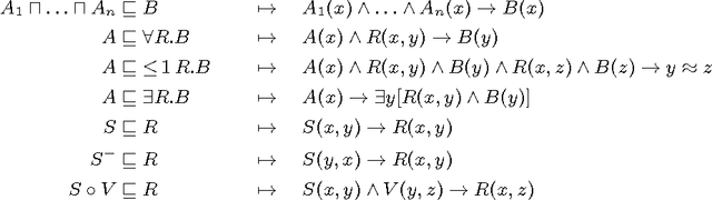
Abstract:In our experience, some ontology users find it much easier to convey logical statements using rules rather than OWL (or description logic) axioms. Based on recent theoretical developments on transformations between rules and description logics, we develop ROWL, a Protege plugin that allows users to enter OWL axioms by way of rules; the plugin then automatically converts these rules into OWL DL axioms if possible, and prompts the user in case such a conversion is not possible without weakening the semantics of the rule.




Abstract:Conjunctive query answering over expressive Horn Description Logic ontologies is a relevant and challenging problem which, in some cases, can be addressed by application of the chase algorithm. In this paper, we define a novel acyclicity notion which provides a sufficient condition for termination of the restricted chase over Horn-SRIQ TBoxes. We show that this notion generalizes most of the existing acyclicity conditions (both theoretically and empirically). Furthermore, this new acyclicity notion gives rise to a very efficient reasoning procedure. We provide evidence for this by providing a materialization based reasoner for acyclic ontologies which outperforms other state-of-the-art systems.




Abstract:Trees -- i.e., the type of data structure known under this name -- are central to many aspects of knowledge organization. We investigate some central design choices concerning the ontological modeling of such trees. In particular, we consider the limits of what is expressible in the Web Ontology Language, and provide a reusable ontology design pattern for trees.