INRIA Paris - Rocquencourt, DI-ENS
Abstract:Feature attribution methods are a popular approach to explain the behavior of machine learning models. They assign importance scores to each input feature, quantifying their influence on the model's prediction. However, evaluating these methods empirically remains a significant challenge. To bypass this shortcoming, several prior works have proposed axiomatic frameworks that any feature attribution method should satisfy. In this work, we argue that such axioms are often too restrictive, and propose in response a new feature attribution framework, built from the ground up. Rather than imposing axioms, we start by defining attributions for the simplest possible models, i.e., indicator functions, and use these as building blocks for more complex models. We then show that one recovers several existing attribution methods, depending on the choice of atomic attribution. Subsequently, we derive closed-form expressions for attribution of deep ReLU networks, and take a step toward the optimization of evaluation metrics with respect to feature attributions.
Abstract:The explainability of machine learning algorithms is crucial, and numerous methods have emerged recently. Local, post-hoc methods assign an attribution score to each feature, indicating its importance for the prediction. However, these methods require recalculating explanations for each example. On the other side, while there exist global approaches they often produce explanations that are either overly simplistic and unreliable or excessively complex. To bridge this gap, we propose GLEAMS, a novel method that partitions the input space and learns an interpretable model within each sub-region, thereby providing both faithful local and global surrogates. We demonstrate GLEAMS' effectiveness on both synthetic and real-world data, highlighting its desirable properties and human-understandable insights.




Abstract:CAM-based methods are widely-used post-hoc interpretability method that produce a saliency map to explain the decision of an image classification model. The saliency map highlights the important areas of the image relevant to the prediction. In this paper, we show that most of these methods can incorrectly attribute an important score to parts of the image that the model cannot see. We show that this phenomenon occurs both theoretically and experimentally. On the theory side, we analyze the behavior of GradCAM on a simple masked CNN model at initialization. Experimentally, we train a VGG-like model constrained to not use the lower part of the image and nevertheless observe positive scores in the unseen part of the image. This behavior is evaluated quantitatively on two new datasets. We believe that this is problematic, potentially leading to mis-interpretation of the model's behavior.




Abstract:Attention-based architectures, in particular transformers, are at the heart of a technological revolution. Interestingly, in addition to helping obtain state-of-the-art results on a wide range of applications, the attention mechanism intrinsically provides meaningful insights on the internal behavior of the model. Can these insights be used as explanations? Debate rages on. In this paper, we mathematically study a simple attention-based architecture and pinpoint the differences between post-hoc and attention-based explanations. We show that they provide quite different results, and that, despite their limitations, post-hoc methods are capable of capturing more useful insights than merely examining the attention weights.
Abstract:Ensemble methods combine the predictions of several base models. We study whether or not including more models in an ensemble always improve its average performance. Such a question depends on the kind of ensemble considered, as well as the predictive metric chosen. We focus on situations where all members of the ensemble are a priori expected to perform as well, which is the case of several popular methods like random forests or deep ensembles. In this setting, we essentially show that ensembles are getting better all the time if, and only if, the considered loss function is convex. More precisely, in that case, the average loss of the ensemble is a decreasing function of the number of models. When the loss function is nonconvex, we show a series of results that can be summarised by the insight that ensembles of good models keep getting better, and ensembles of bad models keep getting worse. To this end, we prove a new result on the monotonicity of tail probabilities that may be of independent interest. We illustrate our results on a simple machine learning problem (diagnosing melanomas using neural nets).
Abstract:Interpretability is essential for machine learning models to be trusted and deployed in critical domains. However, existing methods for interpreting text models are often complex, lack solid mathematical foundations, and their performance is not guaranteed. In this paper, we propose FRED (Faithful and Robust Explainer for textual Documents), a novel method for interpreting predictions over text. FRED identifies key words in a document that significantly impact the prediction when removed. We establish the reliability of FRED through formal definitions and theoretical analyses on interpretable classifiers. Additionally, our empirical evaluation against state-of-the-art methods demonstrates the effectiveness of FRED in providing insights into text models.
Abstract:Algorithmic recourse provides explanations that help users overturn an unfavorable decision by a machine learning system. But so far very little attention has been paid to whether providing recourse is beneficial or not. We introduce an abstract learning-theoretic framework that compares the risks (i.e. expected losses) for classification with and without algorithmic recourse. This allows us to answer the question of when providing recourse is beneficial or harmful at the population level. Surprisingly, we find that there are many plausible scenarios in which providing recourse turns out to be harmful, because it pushes users to regions of higher class uncertainty and therefore leads to more mistakes. We further study whether the party deploying the classifier has an incentive to strategize in anticipation of having to provide recourse, and we find that sometimes they do, to the detriment of their users. Providing algorithmic recourse may therefore also be harmful at the systemic level. We confirm our theoretical findings in experiments on simulated and real-world data. All in all, we conclude that the current concept of algorithmic recourse is not reliably beneficial, and therefore requires rethinking.
Abstract:In many scenarios, the interpretability of machine learning models is a highly required but difficult task. To explain the individual predictions of such models, local model-agnostic approaches have been proposed. However, the process generating the explanations can be, for a user, as mysterious as the prediction to be explained. Furthermore, interpretability methods frequently lack theoretical guarantees, and their behavior on simple models is frequently unknown. While it is difficult, if not impossible, to ensure that an explainer behaves as expected on a cutting-edge model, we can at least ensure that everything works on simple, already interpretable models. In this paper, we present a theoretical analysis of Anchors (Ribeiro et al., 2018): a popular rule-based interpretability method that highlights a small set of words to explain a text classifier's decision. After formalizing its algorithm and providing useful insights, we demonstrate mathematically that Anchors produces meaningful results when used with linear text classifiers on top of a TF-IDF vectorization. We believe that our analysis framework can aid in the development of new explainability methods based on solid theoretical foundations.




Abstract:A fundamental issue in natural language processing is the robustness of the models with respect to changes in the input. One critical step in this process is the embedding of documents, which transforms sequences of words or tokens into vector representations. Our work formally proves that popular embedding schemes, such as concatenation, TF-IDF, and Paragraph Vector (a.k.a. doc2vec), exhibit robustness in the H\"older or Lipschitz sense with respect to the Hamming distance. We provide quantitative bounds for these schemes and demonstrate how the constants involved are affected by the length of the document. These findings are exemplified through a series of numerical examples.




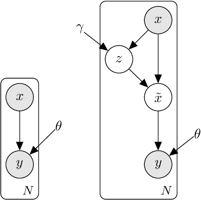
Abstract:A wide variety of model explanation approaches have been proposed in recent years, all guided by very different rationales and heuristics. In this paper, we take a new route and cast interpretability as a statistical inference problem. We propose a general deep probabilistic model designed to produce interpretable predictions. The model parameters can be learned via maximum likelihood, and the method can be adapted to any predictor network architecture and any type of prediction problem. Our method is a case of amortized interpretability models, where a neural network is used as a selector to allow for fast interpretation at inference time. Several popular interpretability methods are shown to be particular cases of regularised maximum likelihood for our general model. We propose new datasets with ground truth selection which allow for the evaluation of the features importance map. Using these datasets, we show experimentally that using multiple imputation provides more reasonable interpretations.