Abstract:We consider a kernelized bandit problem with a compact arm set ${X} \subset \mathbb{R}^d $ and a fixed but unknown reward function $f^*$ with a finite norm in some Reproducing Kernel Hilbert Space (RKHS). We propose a class of computationally efficient kernelized bandit algorithms, which we call GP-Generic, based on a novel concept: exploration distributions. This class of algorithms includes Upper Confidence Bound-based approaches as a special case, but also allows for a variety of randomized algorithms. With careful choice of exploration distribution, our proposed generic algorithm realizes a wide range of concrete algorithms that achieve $\tilde{O}(\gamma_T\sqrt{T})$ regret bounds, where $\gamma_T$ characterizes the RKHS complexity. This matches known results for UCB- and Thompson Sampling-based algorithms; we also show that in practice, randomization can yield better practical results.




Abstract:We address differentially private stochastic bandit problems from the angles of exploring the deep connections among Thompson Sampling with Gaussian priors, Gaussian mechanisms, and Gaussian differential privacy (GDP). We propose DP-TS-UCB, a novel parametrized private bandit algorithm that enables to trade off privacy and regret. DP-TS-UCB satisfies $ \tilde{O} \left(T^{0.25(1-\alpha)}\right)$-GDP and enjoys an $O \left(K\ln^{\alpha+1}(T)/\Delta \right)$ regret bound, where $\alpha \in [0,1]$ controls the trade-off between privacy and regret. Theoretically, our DP-TS-UCB relies on anti-concentration bounds of Gaussian distributions and links exploration mechanisms in Thompson Sampling-based algorithms and Upper Confidence Bound-based algorithms, which may be of independent interest.



Abstract:We study Thompson Sampling-based algorithms for stochastic bandits with bounded rewards. As the existing problem-dependent regret bound for Thompson Sampling with Gaussian priors [Agrawal and Goyal, 2017] is vacuous when $T \le 288 e^{64}$, we derive a more practical bound that tightens the coefficient of the leading term %from $288 e^{64}$ to $1270$. Additionally, motivated by large-scale real-world applications that require scalability, adaptive computational resource allocation, and a balance in utility and computation, we propose two parameterized Thompson Sampling-based algorithms: Thompson Sampling with Model Aggregation (TS-MA-$\alpha$) and Thompson Sampling with Timestamp Duelling (TS-TD-$\alpha$), where $\alpha \in [0,1]$ controls the trade-off between utility and computation. Both algorithms achieve $O \left(K\ln^{\alpha+1}(T)/\Delta \right)$ regret bound, where $K$ is the number of arms, $T$ is the finite learning horizon, and $\Delta$ denotes the single round performance loss when pulling a sub-optimal arm.




Abstract:We consider two variants of private stochastic online learning. The first variant is differentially private stochastic bandits. Previously, Sajed and Sheffet (2019) devised the DP Successive Elimination (DP-SE) algorithm that achieves the optimal $ O \biggl(\sum\limits_{1\le j \le K: \Delta_j >0} \frac{ \log T}{ \Delta_j} + \frac{ K\log T}{\epsilon} \biggr)$ problem-dependent regret bound, where $K$ is the number of arms, $\Delta_j$ is the mean reward gap of arm $j$, $T$ is the time horizon, and $\epsilon$ is the required privacy parameter. However, like other elimination style algorithms, it is not an anytime algorithm. Until now, it was not known whether UCB-based algorithms could achieve this optimal regret bound. We present an anytime, UCB-based algorithm that achieves optimality. Our experiments show that the UCB-based algorithm is competitive with DP-SE. The second variant is the full information version of private stochastic online learning. Specifically, for the problems of decision-theoretic online learning with stochastic rewards, we present the first algorithm that achieves an $ O \left( \frac{ \log K}{ \Delta_{\min}} + \frac{ \log K}{\epsilon} \right)$ regret bound, where $\Delta_{\min}$ is the minimum mean reward gap. The key idea behind our good theoretical guarantees in both settings is the forgetfulness, i.e., decisions are made based on a certain amount of newly obtained observations instead of all the observations obtained from the very beginning.




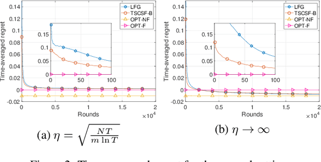
Abstract:We study the combinatorial sleeping multi-armed semi-bandit problem with long-term fairness constraints~(CSMAB-F). To address the problem, we adopt Thompson Sampling~(TS) to maximize the total rewards and use virtual queue techniques to handle the fairness constraints, and design an algorithm called \emph{TS with beta priors and Bernoulli likelihoods for CSMAB-F~(TSCSF-B)}. Further, we prove TSCSF-B can satisfy the fairness constraints, and the time-averaged regret is upper bounded by $\frac{N}{2\eta} + O\left(\frac{\sqrt{mNT\ln T}}{T}\right)$, where $N$ is the total number of arms, $m$ is the maximum number of arms that can be pulled simultaneously in each round~(the cardinality constraint) and $\eta$ is the parameter trading off fairness for rewards. By relaxing the fairness constraints (i.e., let $\eta \rightarrow \infty$), the bound boils down to the first problem-independent bound of TS algorithms for combinatorial sleeping multi-armed semi-bandit problems. Finally, we perform numerical experiments and use a high-rating movie recommendation application to show the effectiveness and efficiency of the proposed algorithm.