Optical Character Recognition (OCR) for low-resource languages remains a significant challenge due to the scarcity of large-scale annotated training datasets. Languages such as Kashmiri, with approximately 7 million speakers and a complex Perso-Arabic script featuring unique diacritical marks, currently lack support in major OCR systems including Tesseract, TrOCR, and PaddleOCR. Manual dataset creation for such languages is prohibitively expensive, time-consuming, and error-prone, often requiring word by word transcription of printed or handwritten text. We present SynthOCR-Gen, an open-source synthetic OCR dataset generator specifically designed for low-resource languages. Our tool addresses the fundamental bottleneck in OCR development by transforming digital Unicode text corpora into ready-to-use training datasets. The system implements a comprehensive pipeline encompassing text segmentation (character, word, n-gram, sentence, and line levels), Unicode normalization with script purity enforcement, multi-font rendering with configurable distribution, and 25+ data augmentation techniques simulating real-world document degradations including rotation, blur, noise, and scanner artifacts. We demonstrate the efficacy of our approach by generating a 600,000-sample word-segmented Kashmiri OCR dataset, which we release publicly on HuggingFace. This work provides a practical pathway for bringing low-resource languages into the era of vision-language AI models, and the tool is openly available for researchers and practitioners working with underserved writing systems worldwide.
This technical report presents the 600K-KS-OCR Dataset, a large-scale synthetic corpus comprising approximately 602,000 word-level segmented images designed for training and evaluating optical character recognition systems targeting Kashmiri script. The dataset addresses a critical resource gap for Kashmiri, an endangered Dardic language utilizing a modified Perso-Arabic writing system spoken by approximately seven million people. Each image is rendered at 256x64 pixels with corresponding ground-truth transcriptions provided in multiple formats compatible with CRNN, TrOCR, and generalpurpose machine learning pipelines. The generation methodology incorporates three traditional Kashmiri typefaces, comprehensive data augmentation simulating real-world document degradation, and diverse background textures to enhance model robustness. The dataset is distributed across ten partitioned archives totaling approximately 10.6 GB and is released under the CC-BY-4.0 license to facilitate research in low-resource language optical character recognition.
This research explores the fusion of graphology and artificial intelligence to quantify psychological stress levels in students by analyzing their handwritten examination scripts. By leveraging Optical Character Recognition and transformer based sentiment analysis models, we present a data driven approach that transcends traditional grading systems, offering deeper insights into cognitive and emotional states during examinations. The system integrates high resolution image processing, TrOCR, and sentiment entropy fusion using RoBERTa based models to generate a numerical Stress Index. Our method achieves robustness through a five model voting mechanism and unsupervised anomaly detection, making it an innovative framework in academic forensics.
This paper presents our methodology and findings from three tasks across Optical Character Recognition (OCR) and Document Layout Analysis using advanced deep learning techniques. First, for the historical Hebrew fragments of the Dead Sea Scrolls, we enhanced our dataset through extensive data augmentation and employed the Kraken and TrOCR models to improve character recognition. In our analysis of 16th to 18th-century meeting resolutions task, we utilized a Convolutional Recurrent Neural Network (CRNN) that integrated DeepLabV3+ for semantic segmentation with a Bidirectional LSTM, incorporating confidence-based pseudolabeling to refine our model. Finally, for modern English handwriting recognition task, we applied a CRNN with a ResNet34 encoder, trained using the Connectionist Temporal Classification (CTC) loss function to effectively capture sequential dependencies. This report offers valuable insights and suggests potential directions for future research.
Topic modeling in Italian legal research is hindered by the lack of public datasets, limiting the analysis of legal themes in Supreme Court judgments. To address this, we developed a document processing pipeline that produces an anonymized dataset optimized for topic modeling. The pipeline integrates document layout analysis (YOLOv8x), optical character recognition, and text anonymization. The DLA module achieved a mAP@50 of 0.964 and a mAP@50-95 of 0.800. The OCR detector reached a mAP@50-95 of 0.9022, and the text recognizer (TrOCR) obtained a character error rate of 0.0047 and a word error rate of 0.0248. Compared to OCR-only methods, our dataset improved topic modeling with a diversity score of 0.6198 and a coherence score of 0.6638. We applied BERTopic to extract topics and used large language models to generate labels and summaries. Outputs were evaluated against domain expert interpretations. Claude Sonnet 3.7 achieved a BERTScore F1 of 0.8119 for labeling and 0.9130 for summarization.




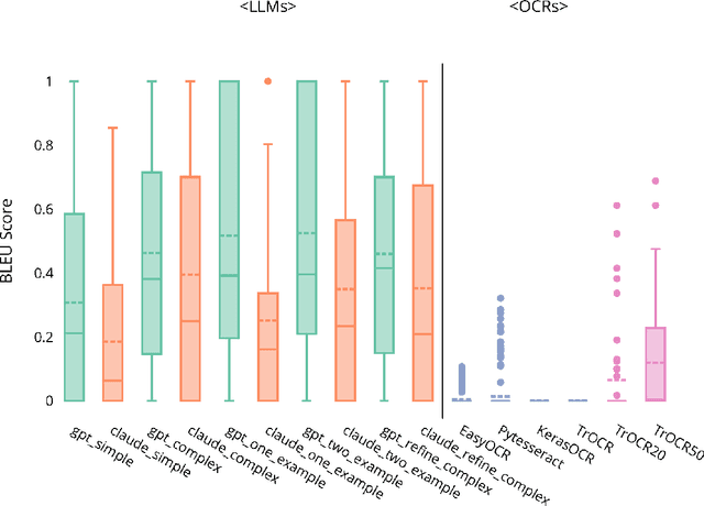
We explore the ability of two LLMs -- GPT-4o and Claude Sonnet 3.5 -- to transcribe historical handwritten documents in a tabular format and compare their performance to traditional OCR/HTR systems: EasyOCR, Keras, Pytesseract, and TrOCR. Considering the tabular form of the data, two types of experiments are executed: one where the images are split line by line and the other where the entire scan is used as input. Based on CER and BLEU, we demonstrate that LLMs outperform the conventional OCR/HTR methods. Moreover, we also compare the evaluated CER and BLEU scores to human evaluations to better judge the outputs of whole-scan experiments and understand influential factors for CER and BLEU. Combining judgments from all the evaluation metrics, we conclude that two-shot GPT-4o for line-by-line images and two-shot Claude Sonnet 3.5 for whole-scan images yield the transcriptions of the historical records most similar to the ground truth.




Optical Character Recognition (OCR) is crucial to the National Library of Norway's (NLN) digitisation process as it converts scanned documents into machine-readable text. However, for the S\'ami documents in NLN's collection, the OCR accuracy is insufficient. Given that OCR quality affects downstream processes, evaluating and improving OCR for text written in S\'ami languages is necessary to make these resources accessible. To address this need, this work fine-tunes and evaluates three established OCR approaches, Transkribus, Tesseract and TrOCR, for transcribing S\'ami texts from NLN's collection. Our results show that Transkribus and TrOCR outperform Tesseract on this task, while Tesseract achieves superior performance on an out-of-domain dataset. Furthermore, we show that fine-tuning pre-trained models and supplementing manual annotations with machine annotations and synthetic text images can yield accurate OCR for S\'ami languages, even with a moderate amount of manually annotated data.
Extracting medication names from handwritten doctor prescriptions is challenging due to the wide variability in handwriting styles and prescription formats. This paper presents a robust method for extracting medicine names using a combination of Mask R-CNN and Transformer-based Optical Character Recognition (TrOCR) with Multi-Head Attention and Positional Embeddings. A novel dataset, featuring diverse handwritten prescriptions from various regions of Pakistan, was utilized to fine-tune the model on different handwriting styles. The Mask R-CNN model segments the prescription images to focus on the medicinal sections, while the TrOCR model, enhanced by Multi-Head Attention and Positional Embeddings, transcribes the isolated text. The transcribed text is then matched against a pre-existing database for accurate identification. The proposed approach achieved a character error rate (CER) of 1.4% on standard benchmarks, highlighting its potential as a reliable and efficient tool for automating medicine name extraction.
This study explores the transfer learning capabilities of the TrOCR architecture to Spanish. TrOCR is a transformer-based Optical Character Recognition (OCR) model renowned for its state-of-the-art performance in English benchmarks. Inspired by Li et al. assertion regarding its adaptability to multilingual text recognition, we investigate two distinct approaches to adapt the model to a new language: integrating an English TrOCR encoder with a language specific decoder and train the model on this specific language, and fine-tuning the English base TrOCR model on a new language data. Due to the scarcity of publicly available datasets, we present a resource-efficient pipeline for creating OCR datasets in any language, along with a comprehensive benchmark of the different image generation methods employed with a focus on Visual Rich Documents (VRDs). Additionally, we offer a comparative analysis of the two approaches for the Spanish language, demonstrating that fine-tuning the English TrOCR on Spanish yields superior recognition than the language specific decoder for a fixed dataset size. We evaluate our model employing character and word error rate metrics on a public available printed dataset, comparing the performance against other open-source and cloud OCR spanish models. As far as we know, these resources represent the best open-source model for OCR in Spanish. The Spanish TrOCR models are publicly available on HuggingFace [20] and the code to generate the dataset is available on Github [25].


Memes, which rapidly disseminate personal opinions and positions across the internet, also pose significant challenges in propagating social bias and prejudice. This study presents a novel approach to detecting harmful memes, particularly within the multicultural and multilingual context of Singapore. Our methodology integrates image captioning, Optical Character Recognition (OCR), and Large Language Model (LLM) analysis to comprehensively understand and classify harmful memes. Utilizing the BLIP model for image captioning, PP-OCR and TrOCR for text recognition across multiple languages, and the Qwen LLM for nuanced language understanding, our system is capable of identifying harmful content in memes created in English, Chinese, Malay, and Tamil. To enhance the system's performance, we fine-tuned our approach by leveraging additional data labeled using GPT-4V, aiming to distill the understanding capability of GPT-4V for harmful memes to our system. Our framework achieves top-1 at the public leaderboard of the Online Safety Prize Challenge hosted by AI Singapore, with the AUROC as 0.7749 and accuracy as 0.7087, significantly ahead of the other teams. Notably, our approach outperforms previous benchmarks, with FLAVA achieving an AUROC of 0.5695 and VisualBERT an AUROC of 0.5561.