



Abstract:Recent advances have shown that multimodal large language models (MLLMs) benefit from multimodal interleaved chain-of-thought (CoT) with vision tool interactions. However, existing open-source models often exhibit blind tool-use reasoning patterns, invoking vision tools even when they are unnecessary, which significantly increases inference overhead and degrades model performance. To this end, we propose AdaTooler-V, an MLLM that performs adaptive tool-use by determining whether a visual problem truly requires tools. First, we introduce AT-GRPO, a reinforcement learning algorithm that adaptively adjusts reward scales based on the Tool Benefit Score of each sample, encouraging the model to invoke tools only when they provide genuine improvements. Moreover, we construct two datasets to support training: AdaTooler-V-CoT-100k for SFT cold start and AdaTooler-V-300k for RL with verifiable rewards across single-image, multi-image, and video data. Experiments across twelve benchmarks demonstrate the strong reasoning capability of AdaTooler-V, outperforming existing methods in diverse visual reasoning tasks. Notably, AdaTooler-V-7B achieves an accuracy of 89.8\% on the high-resolution benchmark V*, surpassing the commercial proprietary model GPT-4o and Gemini 1.5 Pro. All code, models, and data are released.




Abstract:Building a graph neural network (GNN)-based recommender system without violating user privacy proves challenging. Existing methods can be divided into federated GNNs and decentralized GNNs. But both methods have undesirable effects, i.e., low communication efficiency and privacy leakage. This paper proposes DGREC, a novel decentralized GNN for privacy-preserving recommendations, where users can choose to publicize their interactions. It includes three stages, i.e., graph construction, local gradient calculation, and global gradient passing. The first stage builds a local inner-item hypergraph for each user and a global inter-user graph. The second stage models user preference and calculates gradients on each local device. The third stage designs a local differential privacy mechanism named secure gradient-sharing, which proves strong privacy-preserving of users' private data. We conduct extensive experiments on three public datasets to validate the consistent superiority of our framework.
Abstract:The delayed feedback problem is one of the most pressing challenges in predicting the conversion rate since users' conversions are always delayed in online commercial systems. Although new data are beneficial for continuous training, without complete feedback information, i.e., conversion labels, training algorithms may suffer from overwhelming fake negatives. Existing methods tend to use multitask learning or design data pipelines to solve the delayed feedback problem. However, these methods have a trade-off between data freshness and label accuracy. In this paper, we propose Delayed Feedback Modeling by Dynamic Graph Neural Network (DGDFEM). It includes three stages, i.e., preparing a data pipeline, building a dynamic graph, and training a CVR prediction model. In the model training, we propose a novel graph convolutional method named HLGCN, which leverages both high-pass and low-pass filters to deal with conversion and non-conversion relationships. The proposed method achieves both data freshness and label accuracy. We conduct extensive experiments on three industry datasets, which validate the consistent superiority of our method.




Abstract:This paper investigates a new downlink nonorthogonal multiple access (NOMA) system, where a multiantenna unmanned aerial vehicle (UAV) is powered by wireless power transfer (WPT) and serves as the base station for multiple pairs of ground users (GUs) running NOMA in each pair. An energy efficiency (EE) maximization problem is formulated to jointly optimize the WPT time and the placement for the UAV, and the allocation of the UAV's transmit power between different NOMA user pairs and within each pair. To efficiently solve this nonconvex problem, we decompose the problem into three subproblems using block coordinate descent. For the subproblem of intra-pair power allocation within each NOMA user pair, we construct a supermodular game with confirmed convergence to a Nash equilibrium. Given the intra-pair power allocation, successive convex approximation is applied to convexify and solve the subproblem of WPT time allocation and inter-pair power allocation between the user pairs. Finally, we solve the subproblem of UAV placement by using the Lagrange multiplier method. Simulations show that our approach can substantially outperform its alternatives that do not use NOMA and WPT techniques or that do not optimize the UAV location.




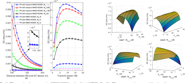
Abstract:In multicell massive multiple-input multiple-output (MIMO) non-orthogonal multiple access (NOMA) networks, base stations (BSs) with multiple antennas deliver their radio frequency energy in the downlink, and Internet-of-Things (IoT) devices use their harvested energy to support uplink data transmission. This paper investigates the energy efficiency (EE) problem for multicell massive MIMO NOMA networks with wireless power transfer (WPT). To maximize the EE of the network, we propose a novel joint power, time, antenna selection, and subcarrier resource allocation scheme, which can properly allocate the time for energy harvesting and data transmission. Both perfect and imperfect channel state information (CSI) are considered, and their corresponding EE performance is analyzed. Under quality-of-service (QoS) requirements, an EE maximization problem is formulated, which is non-trivial due to non-convexity. We first adopt nonlinear fraction programming methods to convert the problem to be convex, and then, develop a distributed alternating direction method of multipliers (ADMM)- based approach to solve the problem. Simulation results demonstrate that compared to alternative methods, the proposed algorithm can converge quickly within fewer iterations, and can achieve better EE performance.