Abstract:Deep subspace clustering based on auto-encoder has received wide attention. However, most subspace clustering based on auto-encoder does not utilize the structural information in the self-expressive coefficient matrix, which limits the clustering performance. In this paper, we propose a double self-expressive subspace clustering algorithm. The key idea of our solution is to view the self-expressive coefficient as a feature representation of the example to get another coefficient matrix. Then, we use the two coefficient matrices to construct the affinity matrix for spectral clustering. We find that it can reduce the subspace-preserving representation error and improve connectivity. To further enhance the clustering performance, we proposed a self-supervised module based on contrastive learning, which can further improve the performance of the trained network. Experiments on several benchmark datasets demonstrate that the proposed algorithm can achieve better clustering than state-of-the-art methods.



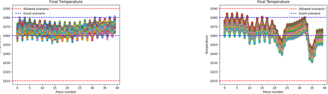
Abstract:Defects during production may lead to material waste, which is a significant challenge for many companies as it reduces revenue and negatively impacts sustainability and the environment. An essential reason for material waste is a low degree of automation, especially in industries that currently have a low degree of digitalization, such as steel forging. Those industries typically rely on heavy and old machinery such as large induction ovens that are mostly controlled manually or using well-known recipes created by experts. However, standard recipes may fail when unforeseen events happen, such as an unplanned stop in production, which may lead to overheating and thus material degradation during the forging process. In this paper, we develop a digital twin-based optimization strategy for the heating process for a forging line to automate the development of an optimal control policy that adjusts the power for the heating coils in an induction oven based on temperature data observed from pyrometers. We design a digital twin-based deep reinforcement learning (DTRL) framework and train two different deep reinforcement learning (DRL) models for the heating phase using a digital twin of the forging line. The twin is based on a simulator that contains a heating transfer and movement model, which is used as an environment for the DRL training. Our evaluation shows that both models significantly reduce the temperature unevenness and can help to automate the traditional heating process.




Abstract:Despite significant progress, image saliency detection still remains a challenging task in complex scenes and environments. Integrating multiple different but complementary cues, like RGB and Thermal (RGB-T), may be an effective way for boosting saliency detection performance. The current research in this direction, however, is limited by the lack of a comprehensive benchmark. This work contributes such a RGB-T image dataset, which includes 821 spatially aligned RGB-T image pairs and their ground truth annotations for saliency detection purpose. The image pairs are with high diversity recorded under different scenes and environmental conditions, and we annotate 11 challenges on these image pairs for performing the challenge-sensitive analysis for different saliency detection algorithms. We also implement 3 kinds of baseline methods with different modality inputs to provide a comprehensive comparison platform. With this benchmark, we propose a novel approach, multi-task manifold ranking with cross-modality consistency, for RGB-T saliency detection. In particular, we introduce a weight for each modality to describe the reliability, and integrate them into the graph-based manifold ranking algorithm to achieve adaptive fusion of different source data. Moreover, we incorporate the cross-modality consistent constraints to integrate different modalities collaboratively. For the optimization, we design an efficient algorithm to iteratively solve several subproblems with closed-form solutions. Extensive experiments against other baseline methods on the newly created benchmark demonstrate the effectiveness of the proposed approach, and we also provide basic insights and potential future research directions for RGB-T saliency detection.