



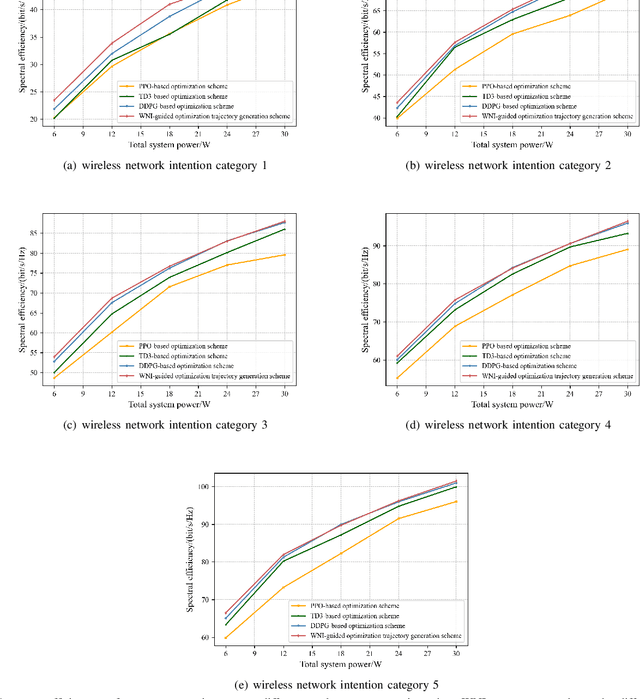
Abstract:With the rapid advancements in wireless communication fields, including low-altitude economies, 6G, and Wi-Fi, the scale of wireless networks continues to expand, accompanied by increasing service quality demands. Traditional deep reinforcement learning (DRL)-based optimization models can improve network performance by solving non-convex optimization problems intelligently. However, they heavily rely on online deployment and often require extensive initial training. Online DRL optimization models typically make accurate decisions based on current channel state distributions. When these distributions change, their generalization capability diminishes, which hinders the responsiveness essential for real-time and high-reliability wireless communication networks. Furthermore, different users have varying quality of service (QoS) requirements across diverse scenarios, and conventional online DRL methods struggle to accommodate this variability. Consequently, exploring flexible and customized AI strategies is critical. We propose a wireless network intent (WNI)-guided trajectory generation model based on a generative diffusion model (GDM). This model can be generated and fine-tuned in real time to achieve the objective and meet the constraints of target intent networks, significantly reducing state information exposure during wireless communication. Moreover, The WNI-guided optimization trajectory generation can be customized to address differentiated QoS requirements, enhancing the overall quality of communication in future intelligent networks. Extensive simulation results demonstrate that our approach achieves greater stability in spectral efficiency variations and outperforms traditional DRL optimization models in dynamic communication systems.
Abstract:The continuous evolution of future mobile communication systems is heading towards the integration of communication and computing, with Mobile Edge Computing (MEC) emerging as a crucial means of implementing Artificial Intelligence (AI) computation. MEC could enhance the computational performance of wireless edge networks by offloading computing-intensive tasks to MEC servers. However, in edge computing scenarios, the sparse sample problem may lead to high costs of time-consuming model training. This paper proposes an MEC offloading decision and resource allocation solution that combines generative AI and deep reinforcement learning (DRL) for the communication-computing integration scenario in the 802.11ax Wi-Fi network. Initially, the optimal offloading policy is determined by the joint use of the Generative Diffusion Model (GDM) and the Twin Delayed DDPG (TD3) algorithm. Subsequently, resource allocation is accomplished by using the Hungarian algorithm. Simulation results demonstrate that the introduction of Generative AI significantly reduces model training costs, and the proposed solution exhibits significant reductions in system task processing latency and total energy consumption costs.




Abstract:Unmanned aerial vehicle (UAV) has high flexibility and controllable mobility, therefore it is considered as a promising enabler for future integrated sensing and communication (ISAC). In this paper, we propose a novel adaptable ISAC (AISAC) mechanism in the UAV-enabled system, where the UAV performs sensing on demand during communication and the sensing duration is configured flexibly according to the application requirements rather than keeping the same with the communication duration. Our designed mechanism avoids the excessive sensing and waste of radio resources, therefore improving the resource utilization and system performance. In the UAV-enabled AISAC system, we aim at maximizing the average system throughput by optimizing the communication and sensing beamforming as well as UAV trajectory while guaranteeing the quality-of-service requirements of communication and sensing. To efficiently solve the considered non-convex optimization problem, we first propose an efficient alternating optimization algorithm to optimize the communication and sensing beamforming for a given UAV location, and then develop a low-complexity joint beamforming and UAV trajectory optimization algorithm that sequentially searches the optimal UAV location until reaching the final location. Numerical results validate the superiority of the proposed adaptable mechanism and the effectiveness of the designed algorithm.




Abstract:Intelligent reflecting surface (IRS) has been considered as a promising technology to alleviate the blockage effect and enhance coverage in millimeter wave (mmWave) communication. To explore the impact of IRS on the performance of mmWave communication, we investigate a multi-IRS assisted mmWave communication network and formulate a sum rate maximization problem by jointly optimizing the active and passive beamforming and the set of IRSs for assistance. The optimization problem is intractable due to the lack of convexity of the objective function and the binary nature of the IRS selection variables. To tackle the complex non-convex problem, an alternating iterative approach is proposed. In particular, utilizing the fractional programming method to optimize the active and passive beamforming and the optimization of IRS selection is solved by enumerating. Simulation results demonstrate the performance gain of our proposed approach.




Abstract:Owing to the controlling flexibility and cost-effectiveness, fixed-wing unmanned aerial vehicles (UAVs) are expected to serve as flying base stations (BSs) in the air-ground integrated network. By exploiting the mobility of UAVs, controllable coverage can be provided for mobile group users (MGUs) under challenging scenarios or even somewhere without communication infrastructure. However, in such dual mobility scenario where the UAV and MGUs are all moving, both the non-hovering feature of the fixed-wing UAV and the movement of MGUs will exacerbate the dynamic changes of user scheduling, which eventually leads to the degradation of MGUs' quality-of-service (QoS). In this paper, we propose a fixed-wing UAV-enabled wireless network architecture to provide moving coverage for MGUs. In order to achieve fairness among MGUs, we maximize the minimum average throughput between all users by jointly optimizing the user scheduling, resource allocation, and UAV trajectory control under the constraints on users' QoS requirements, communication resources, and UAV trajectory switching. Considering the optimization problem is mixed-integer non-convex, we decompose it into three optimization subproblems. An efficient algorithm is proposed to solve these three subproblems alternately till the convergence is realized. Simulation results demonstrate that the proposed algorithm can significantly improve the minimum average throughput of MGUs.