



Abstract:In this letter, we study efficient uplink channel estimation design for a simultaneously transmitting and reflecting reconfigurable intelligent surface (STAR-RIS) assisted two-user communication systems. We first consider the time switching (TS) protocol for STAR-RIS and propose an efficient scheme to separately estimate the channels of the two users with optimized training (transmission/reflection) pattern. Next, we consider the energy splitting (ES) protocol for STAR-RIS under the practical coupled phase-shift model and devise a customized scheme to simultaneously estimate the channels of both users. Although the problem of minimizing the resultant channel estimation error for the ES protocol is difficult to solve, we propose an efficient algorithm to obtain a high-quality solution by jointly designing the pilot sequences, power-splitting ratio, and training patterns. Numerical results show the effectiveness of the proposed channel estimation designs and reveal that the STAR-RIS under the TS protocol achieves a smaller channel estimation error than the ES case.




Abstract:Simultaneously transmitting and reflecting reconfigurable intelligent surface (STAR-RIS) is a promising technology to achieve full-space coverage. This paper investigates the resource allocation problem in a STAR-RIS-assisted multi-carrier communication network. To maximize the system sum-rate, a joint optimization problem for orthogonal multiple access (OMA) is first formulated, which is a mixed-integer non-linear programming problem. To solve this challenging problem, we first propose a channel assignment scheme utilizing matching theory and then invoke the alternating optimization-based method to optimize the resource allocation policy and beamforming vectors iteratively. Furthermore, the sum-rate maximization problem for non-orthogonal multiple access (NOMA) is investigated. To efficiently solve it, we first propose a location-based matching algorithm to determine the sub-channel assignment, where a transmitted user and a reflected user are grouped on a sub-channel. Then, a three-step approach is proposed, where the decoding orders, beamforming-coefficient vectors, and power allocation are optimized by employing semidefinite programming, convex upper bound approximation, and geometry programming, respectively. Numerical results unveil that: 1) For OMA, a general design that includes same-side user-pairing for channel assignment is preferable, while for NOMA, the proposed transmission-and-reflection scheme can achieve near-optimal performance. 2) The STAR-RIS-aided NOMA network significantly outperforms the networks employing conventional RISs and OMA.




Abstract:The novel concept of simultaneously transmitting and reflecting reconfigurable intelligent surface (STAR-RIS) is investigated, where incident signals can be transmitted and reflected to users located at different sides of the surface. In particular, the fundamental coverage range of STAR-RIS aided two-user communication networks is studied. A sum coverage range maximization problem is formulated for both non-orthogonal multiple access (NOMA) and orthogonal multiple access (OMA), where the resource allocation at the access point and the transmission and reflection coefficients at the STAR-RIS are jointly optimized to satisfy the communication requirements of users. For NOMA, we transform the non-convex decoding order constraint into a linear constraint and the resulting problem is convex, which can be optimally solved. For OMA, we first show that the optimization problem for given time/frequency resource allocation is convex. Then, we employ the one dimensional search-based algorithm to obtain the optimal solution. Numerical results reveal that the coverage can be significantly extended by the STAR-RIS compared with conventional RISs.




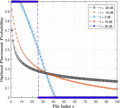
Abstract:The large amount of deployed smart devices put tremendous traffic pressure on networks. Caching at the edge has been widely studied as a promising technique to solve this problem. To further improve the successful transmission probability (STP) of cache-enabled cellular networks (CEN), we combine the cooperative transmission technique with CEN and propose a novel transmission scheme. Local channel state information (CSI) is introduced at each cooperative base station (BS) to enhance the strength of the signal received by the user. A tight approximation for the STP of this scheme is derived using tools from stochastic geometry. The optimal content placement strategy of this scheme is obtained using a numerical method to maximize the STP. Simulation results demonstrate the optimal strategy achieves significant gains in STP over several comparative baselines with the proposed scheme.