



Abstract:Despite the prevalence of reconstruction-based deep learning methods, time series anomaly detection remains challenging. Existing approaches often struggle with limited temporal contexts, inadequate representation of normal patterns, and flawed evaluation metrics, hindering their effectiveness in identifying aberrant behavior. To address these issues, we introduce $\textbf{{SimAD}}$, a $\textbf{{Sim}}$ple dissimilarity-based approach for time series $\textbf{{A}}$nomaly $\textbf{{D}}$etection. SimAD incorporates an advanced feature extractor adept at processing extended temporal windows, utilizes the EmbedPatch encoder to integrate normal behavioral patterns comprehensively, and introduces an innovative ContrastFusion module designed to accentuate distributional divergences between normal and abnormal data, thereby enhancing the robustness of anomaly discrimination. Additionally, we propose two robust evaluation metrics, UAff and NAff, addressing the limitations of existing metrics and demonstrating their reliability through theoretical and experimental analyses. Experiments across $\textbf{seven}$ diverse time series datasets demonstrate SimAD's superior performance compared to state-of-the-art methods, achieving relative improvements of $\textbf{19.85%}$ on F1, $\textbf{4.44%}$ on Aff-F1, $\textbf{77.79%}$ on NAff-F1, and $\textbf{9.69%}$ on AUC on six multivariate datasets. Code and pre-trained models are available at https://github.com/EmorZz1G/SimAD.




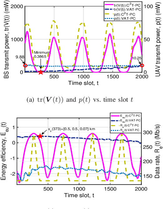
Abstract:In this paper, we investigate a private and cache-enabled unmanned aerial vehicle (UAV) network for content provision. Aiming at delivering fresh, fair, and energy-efficient content files to terrestrial users, we formulate a joint UAV caching, UAV trajectory, and UAV transmit power optimization problem. This problem is confirmed to be a sequential decision problem with mixed-integer non-convex constraints, which is intractable directly. To this end, we propose a novel algorithm based on the techniques of subproblem decomposition and convex approximation. Particularly, we first propose to decompose the sequential decision problem into multiple repeated optimization subproblems via a Lyapunov technique. Next, an iterative optimization scheme incorporating a successive convex approximation (SCA) technique is explored to tackle the challenging mixed-integer non-convex subproblems. Besides, we analyze the convergence and computational complexity of the proposed algorithm and derive the theoretical value of the expected peak age of information (PAoI) to estimate the content freshness. Simulation results demonstrate that the proposed algorithm can achieve the expected PAoI close to the theoretical value and is more 22.11% and 70.51% energy-efficient and fairer than benchmark algorithms.


Abstract:This letter is concerned with power control for a ultra-reliable and low-latency communications (URLLC) enabled unmanned aerial vehicle (UAV) system incorporated with deep neural network (DNN) based channel estimation. Particularly, we formulate the power control problem for the UAV system as an optimization problem to accommodate the URLLC requirement of uplink control and non-payload signal delivery while ensuring the downlink high-speed payload transmission. This problem is challenging to be solved due to the requirement of analytically tractable channel models and the non-convex characteristic as well. To address the challenges, we propose a novel power control algorithm, which constructs analytically tractable channel models based on DNN estimation results and explores a semidefinite relaxation (SDR) scheme to tackle the non-convexity. Simulation results demonstrate the accuracy of the DNN estimation and verify the effectiveness of the proposed algorithm.