Abstract:Large Language Models (LLMs) exhibit considerable promise in financial applications; however, prevailing models frequently demonstrate limitations when confronted with scenarios that necessitate sophisticated reasoning capabilities, stringent trustworthiness criteria, and efficient adaptation to domain-specific requirements. We introduce the Agentar-Fin-R1 series of financial large language models (8B and 32B parameters), specifically engineered based on the Qwen3 foundation model to enhance reasoning capabilities, reliability, and domain specialization for financial applications. Our optimization approach integrates a high-quality, systematic financial task label system with a comprehensive multi-layered trustworthiness assurance framework. This framework encompasses high-quality trustworthy knowledge engineering, multi-agent trustworthy data synthesis, and rigorous data validation governance. Through label-guided automated difficulty-aware optimization, tow-stage training pipeline, and dynamic attribution systems, we achieve substantial improvements in training efficiency. Our models undergo comprehensive evaluation on mainstream financial benchmarks including Fineva, FinEval, and FinanceIQ, as well as general reasoning datasets such as MATH-500 and GPQA-diamond. To thoroughly assess real-world deployment capabilities, we innovatively propose the Finova evaluation benchmark, which focuses on agent-level financial reasoning and compliance verification. Experimental results demonstrate that Agentar-Fin-R1 not only achieves state-of-the-art performance on financial tasks but also exhibits exceptional general reasoning capabilities, validating its effectiveness as a trustworthy solution for high-stakes financial applications. The Finova bench is available at https://github.com/antgroup/Finova.




Abstract:Dense retrieval, which aims to encode the semantic information of arbitrary text into dense vector representations or embeddings, has emerged as an effective and efficient paradigm for text retrieval, consequently becoming an essential component in various natural language processing systems. These systems typically focus on optimizing the embedding space by attending to the relevance of text pairs, while overlooking the Boolean logic inherent in language, which may not be captured by current training objectives. In this work, we first investigate whether current retrieval systems can comprehend the Boolean logic implied in language. To answer this question, we formulate the task of Boolean Dense Retrieval and collect a benchmark dataset, BoolQuestions, which covers complex queries containing basic Boolean logic and corresponding annotated passages. Through extensive experimental results on the proposed task and benchmark dataset, we draw the conclusion that current dense retrieval systems do not fully understand Boolean logic in language, and there is a long way to go to improve our dense retrieval systems. Furthermore, to promote further research on enhancing the understanding of Boolean logic for language models, we explore Boolean operation on decomposed query and propose a contrastive continual training method that serves as a strong baseline for the research community.




Abstract:Trustworthiness is an essential prerequisite for the real-world application of large language models. In this paper, we focus on the trustworthiness of language models with respect to retrieval augmentation. Despite being supported with external evidence, retrieval-augmented generation still suffers from hallucinations, one primary cause of which is the conflict between contextual and parametric knowledge. We deem that retrieval-augmented language models have the inherent capabilities of supplying response according to both contextual and parametric knowledge. Inspired by aligning language models with human preference, we take the first step towards aligning retrieval-augmented language models to a status where it responds relying merely on the external evidence and disregards the interference of parametric knowledge. Specifically, we propose a reinforcement learning based algorithm Trustworthy-Alignment, theoretically and experimentally demonstrating large language models' capability of reaching a trustworthy status without explicit supervision on how to respond. Our work highlights the potential of large language models on exploring its intrinsic abilities by its own and expands the application scenarios of alignment from fulfilling human preference to creating trustworthy agents.




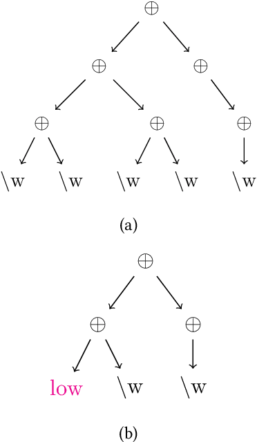
Abstract:Regular expression is important for many natural language processing tasks especially when used to deal with unstructured and semi-structured data. This work focuses on automatically generating regular expressions and proposes a novel genetic algorithm to deal with this problem. Different from the methods which generate regular expressions from character level, we first utilize byte pair encoder (BPE) to extract some frequent items, which are then used to construct regular expressions. The fitness function of our genetic algorithm contains multi objectives and is solved based on evolutionary procedure including crossover and mutation operation. In the fitness function, we take the length of generated regular expression, the maximum matching characters and samples for positive training samples, and the minimum matching characters and samples for negative training samples into consideration. In addition, to accelerate the training process, we do exponential decay on the population size of the genetic algorithm. Our method together with a strong baseline is tested on 13 kinds of challenging datasets. The results demonstrate the effectiveness of our method, which outperforms the baseline on 10 kinds of data and achieves nearly 50 percent improvement on average. By doing exponential decay, the training speed is approximately 100 times faster than the methods without using exponential decay. In summary, our method possesses both effectiveness and efficiency, and can be implemented for the industry application.