Abstract:Recent advances in imaging technologies, deep learning and numerical performance have enabled non-invasive detailed analysis of artworks, supporting their documentation and conservation. In particular, automated detection of craquelure in digitized paintings is crucial for assessing degradation and guiding restoration, yet remains challenging due to the possibly complex scenery and the visual similarity between cracks and crack-like artistic features such as brush strokes or hair. We propose a hybrid approach that models crack detection as an inverse problem, decomposing an observed image into a crack-free painting and a crack component. A deep generative model is employed as powerful prior for the underlying artwork, while crack structures are captured using a Mumford--Shah-type variational functional together with a crack prior. Joint optimization yields a pixel-level map of crack localizations in the painting.
Abstract:These lecture notes evolve around mathematical concepts arising in inverse problems. We start by introducing inverse problems through examples such as differentiation, deconvolution, computed tomography and phase retrieval. This then leads us to the framework of well-posedness and first considerations regarding reconstruction and inversion approaches. The second chapter then first deals with classical regularization theory of inverse problems in Hilbert spaces. After introducing the pseudo-inverse, we review the concept of convergent regularization. Within this chapter we then proceed to ask the question of how to realize practical reconstruction algorithms. Here, we mainly focus on Tikhonov and sparsity promoting regularization in finite dimensional spaces. In the third chapter, we dive into modern deep-learning methods, which allow solving inverse problems in a data-dependent approach. The intersection between inverse problems and machine learning is a rapidly growing field and our exposition here restricts itself to a very limited selection of topics. Among them are learned regularization, fully-learned Bayesian estimation, post-processing strategies and plug-n-play methods.




Abstract:In this work we propose MirrorCBO, a consensus-based optimization (CBO) method which generalizes standard CBO in the same way that mirror descent generalizes gradient descent. For this we apply the CBO methodology to a swarm of dual particles and retain the primal particle positions by applying the inverse of the mirror map, which we parametrize as the subdifferential of a strongly convex function $\phi$. In this way, we combine the advantages of a derivative-free non-convex optimization algorithm with those of mirror descent. As a special case, the method extends CBO to optimization problems with convex constraints. Assuming bounds on the Bregman distance associated to $\phi$, we provide asymptotic convergence results for MirrorCBO with explicit exponential rate. Another key contribution is an exploratory numerical study of this new algorithm across different application settings, focusing on (i) sparsity-inducing optimization, and (ii) constrained optimization, demonstrating the competitive performance of MirrorCBO. We observe empirically that the method can also be used for optimization on (non-convex) submanifolds of Euclidean space, can be adapted to mirrored versions of other recent CBO variants, and that it inherits from mirror descent the capability to select desirable minimizers, like sparse ones. We also include an overview of recent CBO approaches for constrained optimization and compare their performance to MirrorCBO.
Abstract:A popular method to perform adversarial attacks on neuronal networks is the so-called fast gradient sign method and its iterative variant. In this paper, we interpret this method as an explicit Euler discretization of a differential inclusion, where we also show convergence of the discretization to the associated gradient flow. To do so, we consider the concept of p-curves of maximal slope in the case $p=\infty$. We prove existence of $\infty$-curves of maximum slope and derive an alternative characterization via differential inclusions. Furthermore, we also consider Wasserstein gradient flows for potential energies, where we show that curves in the Wasserstein space can be characterized by a representing measure on the space of curves in the underlying Banach space, which fulfill the differential inclusion. The application of our theory to the finite-dimensional setting is twofold: On the one hand, we show that a whole class of normalized gradient descent methods (in particular signed gradient descent) converge, up to subsequences, to the flow, when sending the step size to zero. On the other hand, in the distributional setting, we show that the inner optimization task of adversarial training objective can be characterized via $\infty$-curves of maximum slope on an appropriate optimal transport space.
Abstract:This paper presents a method for finding a sparse representation of Barron functions. Specifically, given an $L^2$ function $f$, the inverse scale space flow is used to find a sparse measure $\mu$ minimising the $L^2$ loss between the Barron function associated to the measure $\mu$ and the function $f$. The convergence properties of this method are analysed in an ideal setting and in the cases of measurement noise and sampling bias. In an ideal setting the objective decreases strictly monotone in time to a minimizer with $\mathcal{O}(1/t)$, and in the case of measurement noise or sampling bias the optimum is achieved up to a multiplicative or additive constant. This convergence is preserved on discretization of the parameter space, and the minimizers on increasingly fine discretizations converge to the optimum on the full parameter space.
Abstract:In this paper we investigate the use of Fourier Neural Operators (FNOs) for image classification in comparison to standard Convolutional Neural Networks (CNNs). Neural operators are a discretization-invariant generalization of neural networks to approximate operators between infinite dimensional function spaces. FNOs - which are neural operators with a specific parametrization - have been applied successfully in the context of parametric PDEs. We derive the FNO architecture as an example for continuous and Fr\'echet-differentiable neural operators on Lebesgue spaces. We further show how CNNs can be converted into FNOs and vice versa and propose an interpolation-equivariant adaptation of the architecture.




Abstract:Lipschitz learning is a graph-based semi-supervised learning method where one extends labels from a labeled to an unlabeled data set by solving the infinity Laplace equation on a weighted graph. In this work we prove uniform convergence rates for solutions of the graph infinity Laplace equation as the number of vertices grows to infinity. Their continuum limits are absolutely minimizing Lipschitz extensions with respect to the geodesic metric of the domain where the graph vertices are sampled from. We work under very general assumptions on the graph weights, the set of labeled vertices, and the continuum domain. Our main contribution is that we obtain quantitative convergence rates even for very sparsely connected graphs, as they typically appear in applications like semi-supervised learning. In particular, our framework allows for graph bandwidths down to the connectivity radius. For proving this we first show a quantitative convergence statement for graph distance functions to geodesic distance functions in the continuum. Using the "comparison with distance functions" principle, we can pass these convergence statements to infinity harmonic functions and absolutely minimizing Lipschitz extensions.




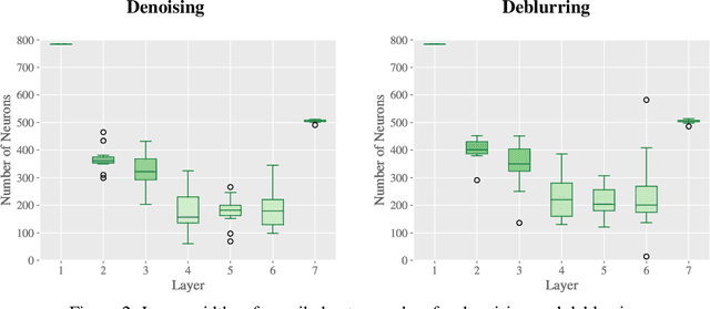
Abstract:We propose a novel strategy for Neural Architecture Search (NAS) based on Bregman iterations. Starting from a sparse neural network our gradient-based one-shot algorithm gradually adds relevant parameters in an inverse scale space manner. This allows the network to choose the best architecture in the search space which makes it well-designed for a given task, e.g., by adding neurons or skip connections. We demonstrate that using our approach one can unveil, for instance, residual autoencoders for denoising, deblurring, and classification tasks. Code is available at https://github.com/TimRoith/BregmanLearning.




Abstract:We propose a learning framework based on stochastic Bregman iterations to train sparse neural networks with an inverse scale space approach. We derive a baseline algorithm called LinBreg, an accelerated version using momentum, and AdaBreg, which is a Bregmanized generalization of the Adam algorithm. In contrast to established methods for sparse training the proposed family of algorithms constitutes a regrowth strategy for neural networks that is solely optimization-based without additional heuristics. Our Bregman learning framework starts the training with very few initial parameters, successively adding only significant ones to obtain a sparse and expressive network. The proposed approach is extremely easy and efficient, yet supported by the rich mathematical theory of inverse scale space methods. We derive a statistically profound sparse parameter initialization strategy and provide a rigorous stochastic convergence analysis of the loss decay and additional convergence proofs in the convex regime. Using only 3.4% of the parameters of ResNet-18 we achieve 90.2% test accuracy on CIFAR-10, compared to 93.6% using the dense network. Our algorithm also unveils an autoencoder architecture for a denoising task. The proposed framework also has a huge potential for integrating sparse backpropagation and resource-friendly training.



Abstract:Despite the large success of deep neural networks (DNN) in recent years, most neural networks still lack mathematical guarantees in terms of stability. For instance, DNNs are vulnerable to small or even imperceptible input perturbations, so called adversarial examples, that can cause false predictions. This instability can have severe consequences in applications which influence the health and safety of humans, e.g., biomedical imaging or autonomous driving. While bounding the Lipschitz constant of a neural network improves stability, most methods rely on restricting the Lipschitz constants of each layer which gives a poor bound for the actual Lipschitz constant. In this paper we investigate a variational regularization method named CLIP for controlling the Lipschitz constant of a neural network, which can easily be integrated into the training procedure. We mathematically analyze the proposed model, in particular discussing the impact of the chosen regularization parameter on the output of the network. Finally, we numerically evaluate our method on both a nonlinear regression problem and the MNIST and Fashion-MNIST classification databases, and compare our results with a weight regularization approach.