



Abstract:Analyzing multi-way measurements with variations across one mode of the dataset is a challenge in various fields including data mining, neuroscience and chemometrics. For example, measurements may evolve over time or have unaligned time profiles. The PARAFAC2 model has been successfully used to analyze such data by allowing the underlying factor matrices in one mode (i.e., the evolving mode) to change across slices. The traditional approach to fit a PARAFAC2 model is to use an alternating least squares-based algorithm, which handles the constant cross-product constraint of the PARAFAC2 model by implicitly estimating the evolving factor matrices. This approach makes imposing regularization on these factor matrices challenging. There is currently no algorithm to flexibly impose such regularization with general penalty functions and hard constraints. In order to address this challenge and to avoid the implicit estimation, in this paper, we propose an algorithm for fitting PARAFAC2 based on alternating optimization with the alternating direction method of multipliers (AO-ADMM). With numerical experiments on simulated data, we show that the proposed PARAFAC2 AO-ADMM approach allows for flexible constraints, recovers the underlying patterns accurately, and is computationally efficient compared to the state-of-the-art. We also apply our model to a real-world chromatography dataset, and show that constraining the evolving mode improves the interpretability of the extracted patterns.




Abstract:We propose networkmetrics, a new data-driven approach for monitoring, troubleshooting and understanding communication networks using multivariate analysis. Networkmetric models are powerful machine-learning tools to interpret and interact with data collected from a network. In this paper, we illustrate the application of Multivariate Big Data Analysis (MBDA), a recently proposed networkmetric method with application to Big Data sets. We use MBDA for the detection and troubleshooting of network problems in a campus-wide Wi-Fi network. Data includes a seven-year trace (from 2012 to 2018) of the network's most recent activity, with approximately 3,000 distinct access points, 40,000 authenticated users, and 600,000 distinct Wi-Fi stations. This is the longest and largest Wi-Fi trace known to date. To analyze this data, we propose learning and visualization procedures that extend MBDA. These procedures result in a methodology that allows network analysts to identify problems and diagnose and troubleshoot them, optimizing the network performance. In the paper, we go through the entire workflow of the approach, illustrating its application in detail and discussing processing times for parallel hardware.




Abstract:Matrix factorization methods are extensively employed to understand complex data. In this paper, we introduce the cross-product penalized component analysis (XCAN), a sparse matrix factorization based on the optimization of a loss function that allows a trade-off between variance maximization and structural preservation. The approach is based on previous developments, notably (i) the Sparse Principal Component Analysis (SPCA) framework based on the LASSO, (ii) extensions of SPCA to constrain both modes of the factorization, like co-clustering or the Penalized Matrix Decomposition (PMD), and (iii) the Group-wise Principal Component Analysis (GPCA) method. The result is a flexible modeling approach that can be used for data exploration in a large variety of problems. We demonstrate its use with applications from different disciplines.


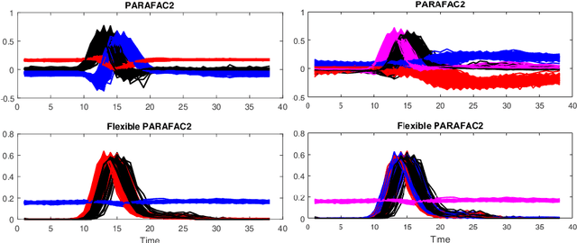
Abstract:Modeling variability in tensor decomposition methods is one of the challenges of source separation. One possible solution to account for variations from one data set to another, jointly analysed, is to resort to the PARAFAC2 model. However, so far imposing constraints on the mode with variability has not been possible. In the following manuscript, a relaxation of the PARAFAC2 model is introduced, that allows for imposing nonnegativity constraints on the varying mode. An algorithm to compute the proposed flexible PARAFAC2 model is derived, and its performance is studied on both synthetic and chemometrics data.




Abstract:We consider factoring low-rank tensors in the presence of outlying slabs. This problem is important in practice, because data collected in many real-world applications, such as speech, fluorescence, and some social network data, fit this paradigm. Prior work tackles this problem by iteratively selecting a fixed number of slabs and fitting, a procedure which may not converge. We formulate this problem from a group-sparsity promoting point of view, and propose an alternating optimization framework to handle the corresponding $\ell_p$ ($0<p\leq 1$) minimization-based low-rank tensor factorization problem. The proposed algorithm features a similar per-iteration complexity as the plain trilinear alternating least squares (TALS) algorithm. Convergence of the proposed algorithm is also easy to analyze under the framework of alternating optimization and its variants. In addition, regularization and constraints can be easily incorporated to make use of \emph{a priori} information on the latent loading factors. Simulations and real data experiments on blind speech separation, fluorescence data analysis, and social network mining are used to showcase the effectiveness of the proposed algorithm.