Dekra
Abstract:We present a 22 nm FD-SOI (fully depleted silicon-on-insulator) application-specific integrated circuit (ASIC) implementation of a novel soft-output Gram-domain block coordinate descent (GBCD) data detector for massive multi-user (MU) multiple-input multiple-output (MIMO) systems. The ASIC simultaneously addresses the high throughput requirements for millimeter wave (mmWave) communication, stringent area and power budget per subcarrier in an orthogonal frequency-division multiplexing (OFDM) system, and error-rate performance challenges posed by realistic mmWave channels. The proposed GBCD algorithm utilizes a posterior mean estimate (PME) denoiser and is optimized using deep unfolding, which results in superior error-rate performance even in scenarios with highly correlated channels or where the number of user equipment (UE) data streams is comparable to the number of basestation (BS) antennas. The fabricated GBCD ASIC supports up to 16 UEs transmitting QPSK to 256-QAM symbols to a 128-antenna BS, and achieves a peak throughput of 7.1 Gbps at 367 mW. The core area is only 0.97 mm$^2$ thanks to a reconfigurable array of processing elements that enables extensive resource sharing. Measurement results demonstrate that the proposed GBCD data-detector ASIC achieves best-in-class throughput and area efficiency.
Abstract:We present the first multi-user (MU) multiple-input multiple-output (MIMO) receiver ASIC that mitigates jamming attacks. The ASIC implements a recent nonlinear algorithm that performs joint jammer mitigation (via spatial filtering) and data detection (using a box prior on the data symbols). Our design supports 8 user equipments (UEs) and 32 basestation (BS) antennas, QPSK and 16-QAM with soft-outputs, and enables the mitigation of single-antenna barrage jammers and smart jammers. The fabricated 22 nm FD-SOI ASIC includes preprocessing, has a core area of 3.78 mm$^2$, achieves a throughput of 267 Mb/s while consuming 583 mW, and is the only existing design that enables reliable data detection under jamming attacks.




Abstract:Analog subtractive synthesizers are generally considered to provide superior sound quality compared to digital emulations. However, analog circuitry requires calibration and suffers from aging, temperature instability, and limited flexibility in generating a wide variety of waveforms. Digital synthesis can mitigate many of these drawbacks, but generating arbitrary aliasing-free waveforms remains challenging. In this paper, we present the +-synth, a hybrid digital-analog eight-voice polyphonic synthesizer prototype that combines the best of both worlds. At the heart of the synthesizer is the big Fourier oscillator (BFO), a novel digital very-large scale integration (VLSI) design that utilizes additive synthesis to generate a wide variety of aliasing-free waveforms. Each BFO produces two voices, using four oscillators per voice. A single oscillator can generate up to 1024 freely configurable partials (harmonic or inharmonic), which are calculated using coordinate rotation digital computers (CORDICs). The BFOs were fabricated as 65nm CMOS custom application-specific integrated circuits (ASICs), which are integrated in the +-synth to simultaneously generate up to 32768 partials. Four 24-bit 96kHz stereo DACs then convert the eight voices into the analog domain, followed by digitally controlled analog low-pass filtering and amplification. Measurement results of the +-synth prototype demonstrate high fidelity and low latency.




Abstract:All-digital massive multiuser (MU) multiple-input multiple-output (MIMO) at millimeter-wave (mmWave) frequencies is a promising technology for next-generation wireless systems. Low-resolution analog-to-digital converters (ADCs) can be utilized to reduce the power consumption of all-digital basestation (BS) designs. However, simultaneously transmitting user equipments (UEs) with vastly different BS-side receive powers either drown weak UEs in quantization noise or saturate the ADCs. To address this issue, we propose high dynamic range (HDR) MIMO, a new paradigm that enables simultaneous reception of strong and weak UEs with low-resolution ADCs. HDR MIMO combines an adaptive analog spatial transform with digital equalization: The spatial transform focuses strong UEs on a subset of ADCs in order to mitigate quantization and saturation artifacts; digital equalization is then used for data detection. We demonstrate the efficacy of HDR MIMO in a massive MU-MIMO mmWave scenario that uses Householder reflections as spatial transform.




Abstract:Cars capture and generate huge volumes of data in real-time about the driving dynamics, the environment, and the driver and passengers' activities. Due to the proliferation of cooperative, connected and automated mobility (CCAM), the value of data from vehicles is getting strategic, not just for the automotive industry, but also for many diverse stakeholders including small and medium-sized enterprises (SMEs) and start-ups. 5G can enable car-captured data to feed innovative applications and services deployed in the cloud ensuring lower latency and higher throughput than previous cellular technologies. This paper identifies and discusses the relevance of the main 5G features that can contribute to a scalable, flexible, reliable and secure data pipeline, pointing to the standards and technical reports that specify their implementation.




Abstract:Low-resolution analog-to-digital converters (ADCs) simplify the design of millimeter-wave (mmWave) massive multi-user multiple-input multiple-output (MU-MIMO) basestations, but increase vulnerability to jamming attacks. As a remedy, we propose HERMIT (short for Hybrid jammER MITigation), a method that combines a hardware-friendly adaptive analog transform with a corresponding digital equalizer: The analog transform removes most of the jammer's energy prior to data conversion; the digital equalizer suppresses jammer residues while detecting the legitimate transmit data. We provide theoretical results that establish the optimal analog transform as a function of the user equipments' and the jammer's channels. Using simulations with mmWave channel models, we demonstrate the superiority of HERMIT compared both to purely digital jammer mitigation as well as to a recent hybrid method that mitigates jammer interference with a nonadaptive analog transform.




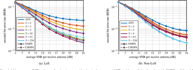
Abstract:Millimeter-wave (mmWave) massive multi-user multiple-input multiple-output (MU-MIMO) promises unprecedented data rates for next-generation wireless systems. To be practically viable, mmWave massive MU-MIMO basestations (BSs) must rely on low-resolution data converters which leaves them vulnerable to jammer interference. This paper proposes beam-slicing, a method that mitigates the impact of a permanently transmitting jammer during uplink transmission for BSs equipped with low-resolution analog-to-digital converters (ADCs). Beam-slicing is a localized analog spatial transform that focuses the jammer energy onto few ADCs, so that the transmitted data can be recovered based on the outputs of the interference-free ADCs. We demonstrate the efficacy of beam-slicing in combination with two digital jammer-mitigating data detectors: SNIPS and CHOPS. Soft-Nulling of Interferers with Partitions in Space (SNIPS) combines beam-slicing with a soft-nulling data detector that exploits knowledge of the ADC contamination; projeCtion onto ortHOgonal complement with Partitions in Space (CHOPS) combines beam-slicing with a linear projection that removes all signal components co-linear to an estimate of the jammer channel. Our results show that beam-slicing enables SNIPS and CHOPS to successfully serve 65% of the user equipments (UEs) for scenarios in which their antenna-domain counterparts that lack beam-slicing are only able to serve 2% of the UEs.




Abstract:Millimeter-wave (mmWave) massive multi-user multiple-input multiple-output (MU-MIMO) technology promises unprecedentedly high data rates for next-generation wireless systems. To be practically viable, mmWave massive MU-MIMO basestations (BS) must (i) rely on low-resolution data-conversion and (ii) be robust to jammer interference. This paper considers the problem of mitigating the impact of a permanently transmitting jammer during uplink transmission to a BS equipped with low-resolution analog-to-digital converters (ADCs). To this end, we propose SNIPS, short for Soft-Nulling of Interferers with Partitions in Space. SNIPS combines beam-slicing---a localized, analog spatial transform that focuses the jammer energy onto a subset of all ADCs---together with a soft-nulling data detector that exploits knowledge of which ADCs are contaminated by jammer interference. Our numerical results show that SNIPS is able to successfully serve 65% of the user equipments (UEs) for scenarios in which a conventional antenna-domain soft-nulling data detector is only able to serve 2% of the UEs.




Abstract:All-digital millimeter-wave (mmWave) massive multi-user multiple-input multiple-output (MU-MIMO) receivers enable extreme data rates but require high power consumption. In order to reduce power consumption, this paper presents the first resolution-adaptive all-digital receiver ASIC that is able to adjust the resolution of the data-converters and baseband-processing engine to the instantaneous communication scenario. The scalable 32-antenna, 65 nm CMOS receiver occupies a total area of 8 mm$^\text{2}$ and integrates analog-to-digital converters (ADCs) with programmable gain and resolution, beamspace channel estimation, and a resolution-adaptive processing-in-memory spatial equalizer. With 6-bit ADC samples and a 4-bit spatial equalizer, our ASIC achieves a throughput of 9.98 Gb/s while being at least 2x more energy-efficient than state-of-the-art designs.



Abstract:All-digital basestation (BS) architectures for millimeter-wave (mmWave) massive multi-user multiple-input multiple-output (MU-MIMO), which equip each radio-frequency chain with dedicated data converters, have advantages in spectral efficiency, flexibility, and baseband-processing simplicity over hybrid analog-digital solutions. For all-digital architectures to be competitive with hybrid solutions in terms of power consumption, novel signal-processing methods and baseband architectures are necessary. In this paper, we demonstrate that adapting the resolution of the analog-to-digital converters (ADCs) and spatial equalizer of an all-digital system to the communication scenario (e.g., the number of users, modulation scheme, and propagation conditions) enables orders-of-magnitude power savings for realistic mmWave channels. For example, for a 256-BS-antenna 16-user system supporting 1 GHz bandwidth, a traditional baseline architecture designed for a 64-user worst-case scenario would consume 23 W in 28 nm CMOS for the ADC array and the spatial equalizer, whereas a resolution-adaptive architecture is able to reduce the power consumption by 6.7x.