



Abstract:Despite extensive research on jamming attacks on wireless communication systems, the potential of machine learning for amplifying the threat of such attacks, or our ability to mitigate them, remains largely untapped. A key obstacle to such research has been the absence of a suitable framework. To resolve this obstacle, we release PyJama, a fully-differentiable open-source library that adds jamming and anti-jamming functionality to NVIDIA Sionna. We demonstrate the utility of PyJama (i) for realistic MIMO simulations by showing examples that involve forward error correction, OFDM waveforms in time and frequency, realistic channel models, and mobility; and (ii) for learning to jam. Specifically, we use stochastic gradient descent to optimize jamming power allocation over an OFDM resource grid. The learned strategies are non-trivial, intelligible, and effective.


Abstract:We present the first multi-user (MU) multiple-input multiple-output (MIMO) receiver ASIC that mitigates jamming attacks. The ASIC implements a recent nonlinear algorithm that performs joint jammer mitigation (via spatial filtering) and data detection (using a box prior on the data symbols). Our design supports 8 user equipments (UEs) and 32 basestation (BS) antennas, QPSK and 16-QAM with soft-outputs, and enables the mitigation of single-antenna barrage jammers and smart jammers. The fabricated 22 nm FD-SOI ASIC includes preprocessing, has a core area of 3.78 mm$^2$, achieves a throughput of 267 Mb/s while consuming 583 mW, and is the only existing design that enables reliable data detection under jamming attacks.



Abstract:Distributed multiple-input multiple-output (D-MIMO) is a promising technology for simultaneous communication and positioning. However, phase synchronization between multiple access points in D-MIMO is challenging, which requires methods that function without the need for phase synchronization. We therefore present a method for D-MIMO that performs direct positioning of a moving device based on the delay-Doppler characteristics of the channel state information (CSI). Our method relies on particle-filter-based Bayesian inference with a state-space model. We use recent measurements from a sub-6 GHz D-MIMO OFDM system in an industrial environment to demonstrate centimeter accuracy under partial line-of-sight (LoS) conditions and decimeter accuracy under full non-LoS.




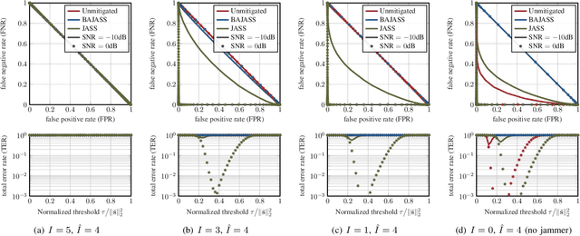
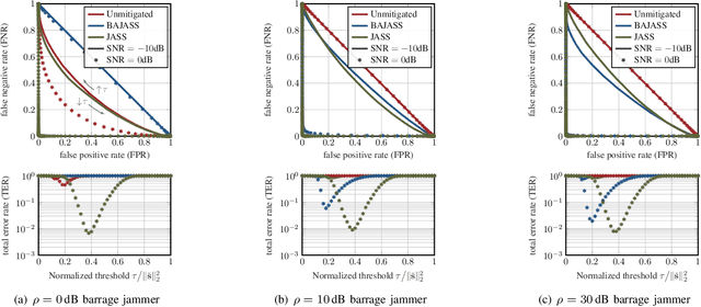
Abstract:Spatial filtering based on multiple-input multiple-output (MIMO) processing is a promising approach to jammer mitigation. Effective MIMO data detectors that mitigate smart jammers have recently been proposed, but they all assume perfect time synchronization between transmitter(s) and receiver. However, to the best of our knowledge, there are no methods for resilient time synchronization in the presence of smart jammers. To remedy this situation, we propose JASS, the first method that enables reliable time synchronization for the single-user MIMO uplink while mitigating smart jamming attacks. JASS detects a randomized synchronization sequence based on a novel optimization problem that fits a spatial filter to the time-windowed receive signal in order to mitigate the jammer. We underscore the efficacy of the proposed optimization problem by proving that it ensures successful time synchronization under certain intuitive conditions. We then derive an efficient algorithm for approximately solving our optimization problem. Finally, we use simulations to demonstrate the effectiveness of JASS against a wide range of different jammer types.




Abstract:We propose new low-fidelity (LoFi) user equipment (UE) scheduling algorithms for multiuser multiple-input multiple-output (MIMO) wireless communication systems. The proposed methods rely on an efficient guess-and-check procedure that, given an objective function, performs paired comparisons between random subsets of UEs that should be scheduled in certain time slots. The proposed LoFi scheduling methods are computationally efficient, highly parallelizable, and gradient-free, which enables the use of almost arbitrary, non-differentiable objective functions. System simulations in a millimeter-wave (mmWave) multiuser MIMO scenario demonstrate that the proposed LoFi schedulers outperform a range of state-of-the-art user scheduling algorithms in terms of bit error-rate and/or computational complexity.
Abstract:Beamforming is a powerful tool for physical layer security, as it can be used for steering signals towards legitimate receivers and away from eavesdroppers. An active eavesdropper, however, can interfere with the pilot phase that the transmitter needs to acquire the channel knowledge necessary for beamforming. By doing so, the eavesdropper can make the transmitter form beams towards the eavesdropper rather than towards the legitimate receiver. To mitigate active eavesdroppers, we propose VILLAIN, a novel channel estimator that uses secret pilots. When an eavesdropper interferes with the pilot phase, VILLAIN produces a channel estimate that is orthogonal to the eavesdropper's channel (in the noiseless case). We prove that beamforming based on this channel estimate delivers the highest possible signal power to the legitimate receiver without delivering any signal power to the eavesdropper. Simulations show that VILLAIN mitigates active eavesdroppers also in the noisy case.




Abstract:All-digital massive multiuser (MU) multiple-input multiple-output (MIMO) at millimeter-wave (mmWave) frequencies is a promising technology for next-generation wireless systems. Low-resolution analog-to-digital converters (ADCs) can be utilized to reduce the power consumption of all-digital basestation (BS) designs. However, simultaneously transmitting user equipments (UEs) with vastly different BS-side receive powers either drown weak UEs in quantization noise or saturate the ADCs. To address this issue, we propose high dynamic range (HDR) MIMO, a new paradigm that enables simultaneous reception of strong and weak UEs with low-resolution ADCs. HDR MIMO combines an adaptive analog spatial transform with digital equalization: The spatial transform focuses strong UEs on a subset of ADCs in order to mitigate quantization and saturation artifacts; digital equalization is then used for data detection. We demonstrate the efficacy of HDR MIMO in a massive MU-MIMO mmWave scenario that uses Householder reflections as spatial transform.


Abstract:In multiple-input multiple-output (MIMO) wireless systems with frequency-flat channels, a single-antenna jammer causes receive interference that is confined to a one-dimensional subspace. Such a jammer can thus be nulled using linear spatial filtering at the cost of one degree of freedom. Frequency-selective channels are often transformed into multiple frequency-flat subcarriers with orthogonal frequency-division multiplexing (OFDM). We show that when a single-antenna jammer violates the OFDM protocol by not sending a cyclic prefix, the interference received on each subcarrier by a multi-antenna receiver is, in general, not confined to a subspace of dimension one (as a single-antenna jammer in a frequency-flat scenario would be), but of dimension L, where L is the jammer's number of channel taps. In MIMO-OFDM systems, a single-antenna jammer can therefore resemble an L-antenna jammer. Simulations corroborate our theoretical results. These findings imply that mitigating jammers with large delay spread through linear spatial filtering is infeasible. We discuss some (im)possibilities for the way forward.




Abstract:MIMO processing enables jammer mitigation through spatial filtering, provided that the receiver knows the spatial signature of the jammer interference. Estimating this signature is easy for barrage jammers that transmit continuously and with static signature, but difficult for more sophisticated jammers: Smart jammers may deliberately suspend transmission when the receiver tries to estimate their spatial signature, they may use time-varying beamforming to continuously change their spatial signature, or they may stay mostly silent and jam only specific instants (e.g., transmission of control signals). To deal with such smart jammers, we propose MASH, the first method that indiscriminately mitigates all types of jammers: Assume that the transmitter and receiver share a common secret. Based on this secret, the transmitter embeds (with a linear time-domain transform) its signal in a secret subspace of a higher-dimensional space. The receiver applies a reciprocal linear transform to the receive signal, which (i) raises the legitimate transmit signal from its secret subspace and (ii) provably transforms any jammer into a barrage jammer, which makes estimation and mitigation via MIMO processing straightforward. We show the efficacy of MASH for data transmission in the massive multi-user MIMO uplink.



Abstract:Multi-antenna (MIMO) processing is a promising solution to the problem of jammer mitigation. Existing methods mitigate the jammer based on an estimate of its subspace (or receive statistics) acquired through a dedicated training phase. This strategy has two main drawbacks: (i) it reduces the communication rate since no data can be transmitted during the training phase and (ii) it can be evaded by smart or multi-antenna jammers that are quiet during the training phase or that dynamically change their subspace through time-varying beamforming. To address these drawbacks, we propose Joint jammer Mitigation and data Detection (JMD), a novel paradigm for MIMO jammer mitigation. The core idea is to estimate and remove the jammer interference subspace jointly with detecting the transmit data over multiple time slots. Doing so removes the need for a dedicated and rate-reducing training period while mitigating smart and dynamic multi-antenna jammers. We instantiate our paradigm with SANDMAN, a simple and practical algorithm for multi-user MIMO uplink JMD. Extensive simulations demonstrate the efficacy of JMD, and of SANDMAN in particular, for jammer mitigation.