



Abstract:Recommender systems utilize users' historical data to learn and predict their future interests, providing them with suggestions tailored to their tastes. Calibration ensures that the distribution of recommended item categories is consistent with the user's historical data. Mitigating miscalibration brings various benefits to a recommender system. For example, it becomes less likely that a system overlooks categories with less interaction on a user's profile by only recommending popular categories. Despite the notable success, calibration methods have several drawbacks, such as limiting the diversity of the recommended items and not considering the calibration confidence. This work, presents a set of properties that address various aspects of a desired calibrated recommender system. Considering these properties, we propose a confidence-aware optimization-based re-ranking algorithm to find the balance between calibration, relevance, and item diversity, while simultaneously accounting for calibration confidence based on user profile size. Our model outperforms state-of-the-art methods in terms of various accuracy and beyond-accuracy metrics for different user groups.
Abstract:Though recommender systems are defined by personalization, recent work has shown the importance of additional, beyond-accuracy objectives, such as fairness. Because users often expect their recommendations to be purely personalized, these new algorithmic objectives must be communicated transparently in a fairness-aware recommender system. While explanation has a long history in recommender systems research, there has been little work that attempts to explain systems that use a fairness objective. Even though the previous work in other branches of AI has explored the use of explanations as a tool to increase fairness, this work has not been focused on recommendation. Here, we consider user perspectives of fairness-aware recommender systems and techniques for enhancing their transparency. We describe the results of an exploratory interview study that investigates user perceptions of fairness, recommender systems, and fairness-aware objectives. We propose three features -- informed by the needs of our participants -- that could improve user understanding of and trust in fairness-aware recommender systems.




Abstract:As recommender systems are being designed and deployed for an increasing number of socially-consequential applications, it has become important to consider what properties of fairness these systems exhibit. There has been considerable research on recommendation fairness. However, we argue that the previous literature has been based on simple, uniform and often uni-dimensional notions of fairness assumptions that do not recognize the real-world complexities of fairness-aware applications. In this paper, we explicitly represent the design decisions that enter into the trade-off between accuracy and fairness across multiply-defined and intersecting protected groups, supporting multiple fairness metrics. The framework also allows the recommender to adjust its performance based on the historical view of recommendations that have been delivered over a time horizon, dynamically rebalancing between fairness concerns. Within this framework, we formulate lottery-based mechanisms for choosing between fairness concerns, and demonstrate their performance in two recommendation domains.




Abstract:As recommender systems have become more widespread and moved into areas with greater social impact, such as employment and housing, researchers have begun to seek ways to ensure fairness in the results that such systems produce. This work has primarily focused on developing recommendation approaches in which fairness metrics are jointly optimized along with recommendation accuracy. However, the previous work had largely ignored how individual preferences may limit the ability of an algorithm to produce fair recommendations. Furthermore, with few exceptions, researchers have only considered scenarios in which fairness is measured relative to a single sensitive feature or attribute (such as race or gender). In this paper, we present a re-ranking approach to fairness-aware recommendation that learns individual preferences across multiple fairness dimensions and uses them to enhance provider fairness in recommendation results. Specifically, we show that our opportunistic and metric-agnostic approach achieves a better trade-off between accuracy and fairness than prior re-ranking approaches and does so across multiple fairness dimensions.
Abstract:Algorithmic fairness for artificial intelligence has become increasingly relevant as these systems become more pervasive in society. One realm of AI, recommender systems, presents unique challenges for fairness due to trade offs between optimizing accuracy for users and fairness to providers. But what is fair in the context of recommendation--particularly when there are multiple stakeholders? In an initial exploration of this problem, we ask users what their ideas of fair treatment in recommendation might be, and why. We analyze what might cause discrepancies or changes between user's opinions towards fairness to eventually help inform the design of fairer and more transparent recommendation algorithms.




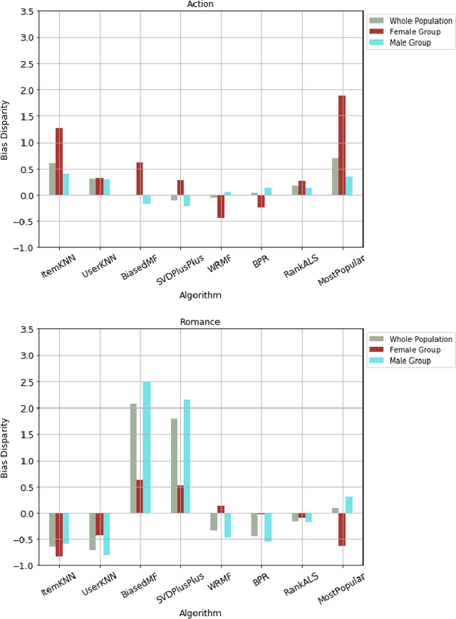
Abstract:Recommender systems are personalized: we expect the results given to a particular user to reflect that user's preferences. Some researchers have studied the notion of calibration, how well recommendations match users' stated preferences, and bias disparity the extent to which mis-calibration affects different user groups. In this paper, we examine bias disparity over a range of different algorithms and for different item categories and demonstrate significant differences between model-based and memory-based algorithms.




Abstract:Like other social systems, in collaborative filtering a small number of "influential" users may have a large impact on the recommendations of other users, thus affecting the overall behavior of the system. Identifying influential users and studying their impact on other users is an important problem because it provides insight into how small groups can inadvertently or intentionally affect the behavior of the system as a whole. Modeling these influences can also shed light on patterns and relationships that would otherwise be difficult to discern, hopefully leading to more transparency in how the system generates personalized content. In this work we first formalize the notion of "influence" in collaborative filtering using an Influence Discrimination Model. We then empirically identify and characterize influential users and analyze their impact on the system under different underlying recommendation algorithms and across three different recommendation domains: job, movie and book recommendations. Insights from these experiments can help in designing systems that are not only optimized for accuracy, but are also tuned to mitigate the impact of influential users when it might lead to potential imbalance or unfairness in the system's outcomes.