Abstract:This paper focuses on energy savings in downlink operation of cell-free massive MIMO (CF mMIMO) networks under dynamic traffic conditions. We propose a multi-agent deep reinforcement learning (MADRL) algorithm that enables each access point (AP) to autonomously control antenna re-configuration and advanced sleep mode (ASM) selection. After the training process, the proposed framework operates in a fully distributed manner, eliminating the need for centralized control and allowing each AP to dynamically adjust to real-time traffic fluctuations. Simulation results show that the proposed algorithm reduces power consumption (PC) by 56.23% compared to systems without any energy-saving scheme and by 30.12% relative to a non-learning mechanism that only utilizes the lightest sleep mode, with only a slight increase in drop ratio. Moreover, compared to the widely used deep Q-network (DQN) algorithm, it achieves a similar PC level but with a significantly lower drop ratio.
Abstract:The proliferation of civilian and commercial unmanned aerial vehicles (UAVs) has heightened the demand for reliable radio frequency (RF)-based drone identification systems that can operate under dynamic and uncertain airspace conditions. Most existing RF-based recognition methods adopt a closed-set assumption, where all UAV types are known during training. Such an assumption becomes unrealistic in practical deployments, as new or unknown UAVs frequently emerge, leading to overconfident misclassifications and inefficient retraining cycles. To address these challenges, this paper proposes a unified incremental open-set learning framework for RF-based UAV recognition that enables both novel class discovery and incremental adaptation. The framework first performs open-set recognition to separate unknown signals from known classes in the semantic feature space, followed by an unsupervised clustering module that discovers new UAV categories by selecting between K-Means and Gaussian Mixture Models (GMM) based on composite validity scores. Subsequently, a lightweight incremental learning module integrates the newly discovered classes through a memory-bounded replay mechanism that mitigates catastrophic forgetting. Experiments on a real-world UAV RF dataset comprising 24 classes (18 known and 6 unknown) show effective open-set detection, promising clustering performance under the evaluated noise settings, and stable incremental adaptation with minimal storage cost, supporting the potential of the proposed framework for open-world UAV recognition.
Abstract:This paper explores the integration of simultaneous wireless information and power transfer (SWIPT) with gigantic multiple-input multiple-output (gMIMO) technology operating in the upper mid-band frequency range (7-24 GHz). The near-field propagation achieved by gMIMO introduces unique opportunities for energy-efficient, high-capacity communication systems that cater to the demands of 6G wireless networks. Exploiting spherical wave propagation, near-field SWIPT with gMIMO enables precise energy and data delivery, enhancing spectral efficiency through beamfocusing and massive spatial multiplexing. This paper discusses theoretical principles, design challenges, and enabling solutions, including advanced channel estimation techniques, precoding strategies, and dynamic array configurations such as sparse and modular arrays. Through analytical insights and a case study, this paper demonstrates the feasibility of achieving optimized energy harvesting and data throughput in dense and dynamic environments. These findings contribute to advancing energy-autonomous Internet-of-Everything (IoE) deployments, smart factory networks, and other energy-autonomous applications aligned with the goals of next-generation wireless technologies.
Abstract:The integration of unmanned aerial vehicles (UAVs) into cellular networks presents significant mobility management challenges, primarily due to frequent handovers caused by probabilistic line-of-sight conditions with multiple ground base stations (BSs). To tackle these challenges, reinforcement learning (RL)-based methods, particularly deep Q-networks (DQN), have been employed to optimize handover decisions dynamically. However, a major drawback of these learning-based approaches is their black-box nature, which limits interpretability in the decision-making process. This paper introduces an explainable AI (XAI) framework that incorporates Shapley Additive Explanations (SHAP) to provide deeper insights into how various state parameters influence handover decisions in a DQN-based mobility management system. By quantifying the impact of key features such as reference signal received power (RSRP), reference signal received quality (RSRQ), buffer status, and UAV position, our approach enhances the interpretability and reliability of RL-based handover solutions. To validate and compare our framework, we utilize real-world network performance data collected from UAV flight trials. Simulation results show that our method provides intuitive explanations for policy decisions, effectively bridging the gap between AI-driven models and human decision-makers.
Abstract:In modern cell-less wireless networks, mobility management is undergoing a significant transformation, transitioning from single-link handover management to a more adaptable multi-connectivity cluster reconfiguration approach, including often conflicting objectives like energy-efficient power allocation and satisfying varying reliability requirements. In this work, we address the challenge of dynamic clustering and power allocation for unmanned aerial vehicle (UAV) communication in wireless interference networks. Our objective encompasses meeting varying reliability demands, minimizing power consumption, and reducing the frequency of cluster reconfiguration. To achieve these objectives, we introduce a novel approach based on reinforcement learning using a masked soft actor-critic algorithm, specifically tailored for dynamic clustering and power allocation.



Abstract:Modern communication systems need to fulfill multiple and often conflicting objectives at the same time. In particular, new applications require high reliability while operating at low transmit powers. Moreover, reliability constraints may vary over time depending on the current state of the system. One solution to address this problem is to use joint transmissions from a number of base stations (BSs) to meet the reliability requirements. However, this approach is inefficient when considering the overall total transmit power. In this work, we propose a reinforcement learning-based power allocation scheme for an unmanned aerial vehicle (UAV) communication system with varying communication reliability requirements. In particular, the proposed scheme aims to minimize the total transmit power of all BSs while achieving an outage probability that is less than a tolerated threshold. This threshold varies over time, e.g., when the UAV enters a critical zone with high-reliability requirements. Our results show that the proposed learning scheme uses dynamic power allocation to meet varying reliability requirements, thus effectively conserving energy.




Abstract:Electrification turned over a new leaf in aviation by introducing new types of aerial vehicles along with new means of transportation. Addressing a plethora of use cases, drones are gaining attention and increasingly appear in the sky. Emerging concepts of flying taxi enable passengers to be transported over several tens of kilometers. Therefore, unmanned traffic management systems are under development to cope with the complexity of future airspace, thereby resulting in unprecedented communication needs. Moreover, the increase in the number of commercial airplanes pushes the limits of voice-oriented communications, and future options such as single-pilot operations demand robust connectivity. In this survey, we provide a comprehensive review and vision for enabling the connectivity applications of aerial vehicles utilizing current and future communication technologies. We begin by categorizing the connectivity use cases per aerial vehicle and analyzing their connectivity requirements. By reviewing more than 500 related studies, we aim for a comprehensive approach to cover wireless communication technologies, and provide an overview of recent findings from the literature toward the possibilities and challenges of employing the wireless communication standards. After analyzing the network architectures, we list the open-source testbed platforms to facilitate future investigations. This study helped us observe that while numerous works focused on cellular technologies for aerial platforms, a single wireless technology is not sufficient to meet the stringent connectivity demands of the aerial use cases. We identified the need of further investigations on multi-technology network architectures to enable robust connectivity in the sky. Future works should consider suitable technology combinations to develop unified aerial networks that can meet the diverse quality of service demands.




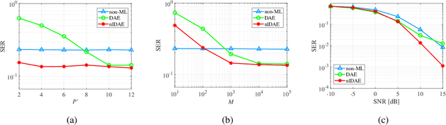
Abstract:This letter introduces a new denoiser that modifies the structure of denoising autoencoder (DAE), namely noise learning based DAE (nlDAE). The proposed nlDAE learns the noise instead of the original data. Then, the denoising is performed by subtracting the regenerated noise from the noisy input. Hence, nlDAE is more effective than DAE when the noise is simpler to regenerate than the original data. To validate the performance of nlDAE, we provide two case studies: symbol demodulation and precise localization. Numerical results suggest that nlDAE requires smaller latent space dimension and less training dataset compared to DAE.




Abstract:Enabling cellular connectivity for drones introduces a wide set of challenges and opportunities. Communication of cellular-connected drones is influenced by 3-dimensional mobility and line-of-sight channel characteristics which results in higher number of handovers with increasing altitude. Our cell planning simulations in coexistence of aerial and terrestrial users indicate that the severe interference from drones to base stations is a major challenge for uplink communications of terrestrial users. Here, we first present the major challenges in co-existence of terrestrial and drone communications by considering real geographical network data for Stockholm. Then, we derive analytical models for the key performance indicators (KPIs), including communications delay and interference over cellular networks, and formulate the handover and radio resource management (H-RRM) optimization problem. Afterwards, we transform this problem into a machine learning problem, and propose a deep reinforcement learning solution to solve H-RRM problem. Finally, using simulation results, we present how the speed and altitude of drones, and the tolerable level of interference, shape the optimal H-RRM policy in the network. Especially, the heat-maps of handover decisions in different drone's altitudes/speeds have been presented, which promote a revision of the legacy handover schemes and redefining the boundaries of cells in the sky.




Abstract:Supporting ultra-reliable low-latency communications (URLLC) is a major challenge of 5G wireless networks. Stringent delay and reliability requirements need to be satisfied for both scheduled and non-scheduled URLLC traffic to enable a diverse set of 5G applications. Although physical and media access control layer solutions have been investigated to satisfy only scheduled URLLC traffic, there is a lack of study on enabling transmission of non-scheduled URLLC traffic, especially in coexistence with the scheduled URLLC traffic. Machine learning (ML) is an important enabler for such a co-existence scenario due to its ability to exploit spatial/temporal correlation in user behaviors and use of radio resources. Hence, in this paper, we first study the coexistence design challenges, especially the radio resource management (RRM) problem and propose a distributed risk-aware ML solution for RRM. The proposed solution benefits from hybrid orthogonal/non-orthogonal radio resource slicing, and proactively regulates the spectrum needed for satisfying delay/reliability requirement of each URLLC traffic type. A case study is introduced to investigate the potential of the proposed RRM in serving coexisting URLLC traffic types. The results further provide insights on the benefits of leveraging intelligent RRM, e.g. a 75% increase in data rate with respect to the conservative design approach for the scheduled traffic is achieved, while the 99.99% reliability of both scheduled and nonscheduled traffic types is satisfied.