Abstract:We study the problem of distributed multi-view representation learning. In this problem, $K$ agents observe each one distinct, possibly statistically correlated, view and independently extracts from it a suitable representation in a manner that a decoder that gets all $K$ representations estimates correctly the hidden label. In the absence of any explicit coordination between the agents, a central question is: what should each agent extract from its view that is necessary and sufficient for a correct estimation at the decoder? In this paper, we investigate this question from a generalization error perspective. First, we establish several generalization bounds in terms of the relative entropy between the distribution of the representations extracted from training and "test" datasets and a data-dependent symmetric prior, i.e., the Minimum Description Length (MDL) of the latent variables for all views and training and test datasets. Then, we use the obtained bounds to devise a regularizer; and investigate in depth the question of the selection of a suitable prior. In particular, we show and conduct experiments that illustrate that our data-dependent Gaussian mixture priors with judiciously chosen weights lead to good performance. For single-view settings (i.e., $K=1$), our experimental results are shown to outperform existing prior art Variational Information Bottleneck (VIB) and Category-Dependent VIB (CDVIB) approaches. Interestingly, we show that a weighted attention mechanism emerges naturally in this setting. Finally, for the multi-view setting, we show that the selection of the joint prior as a Gaussians product mixture induces a Gaussian mixture marginal prior for each marginal view and implicitly encourages the agents to extract and output redundant features, a finding which is somewhat counter-intuitive.




Abstract:In this paper, we investigate the effect of data heterogeneity across clients on the performance of distributed learning systems, i.e., one-round Federated Learning, as measured by the associated generalization error. Specifically, \(K\) clients have each \(n\) training samples generated independently according to a possibly different data distribution and their individually chosen models are aggregated by a central server. We study the effect of the discrepancy between the clients' data distributions on the generalization error of the aggregated model. First, we establish in-expectation and tail upper bounds on the generalization error in terms of the distributions. In part, the bounds extend the popular Conditional Mutual Information (CMI) bound which was developed for the centralized learning setting, i.e., \(K=1\), to the distributed learning setting with arbitrary number of clients $K \geq 1$. Then, we use a connection with information theoretic rate-distortion theory to derive possibly tighter \textit{lossy} versions of these bounds. Next, we apply our lossy bounds to study the effect of data heterogeneity across clients on the generalization error for distributed classification problem in which each client uses Support Vector Machines (D-SVM). In this case, we establish explicit generalization error bounds which depend explicitly on the data heterogeneity degree. It is shown that the bound gets smaller as the degree of data heterogeneity across clients gets higher, thereby suggesting that D-SVM generalizes better when the dissimilarity between the clients' training samples is bigger. This finding, which goes beyond D-SVM, is validated experimentally through a number of experiments.




Abstract:We establish in-expectation and tail bounds on the generalization error of representation learning type algorithms. The bounds are in terms of the relative entropy between the distribution of the representations extracted from the training and "test'' datasets and a data-dependent symmetric prior, i.e., the Minimum Description Length (MDL) of the latent variables for the training and test datasets. Our bounds are shown to reflect the "structure" and "simplicity'' of the encoder and significantly improve upon the few existing ones for the studied model. We then use our in-expectation bound to devise a suitable data-dependent regularizer; and we investigate thoroughly the important question of the selection of the prior. We propose a systematic approach to simultaneously learning a data-dependent Gaussian mixture prior and using it as a regularizer. Interestingly, we show that a weighted attention mechanism emerges naturally in this procedure. Our experiments show that our approach outperforms the now popular Variational Information Bottleneck (VIB) method as well as the recent Category-Dependent VIB (CDVIB).

Abstract:A client device which has access to $n$ training data samples needs to obtain a statistical hypothesis or model $W$ and then to send it to a remote server. The client and the server devices share some common randomness sequence as well as a prior on the hypothesis space. In this problem a suitable hypothesis or model $W$ should meet two distinct design criteria simultaneously: (i) small (population) risk during the inference phase and (ii) small 'complexity' for it to be conveyed to the server with minimum communication cost. In this paper, we propose a joint training and source coding scheme with provable in-expectation guarantees, where the expectation is over the encoder's output message. Specifically, we show that by imposing a constraint on a suitable Kullback-Leibler divergence between the conditional distribution induced by a compressed learning model $\widehat{W}$ given $W$ and the prior, one guarantees simultaneously small average empirical risk (aka training loss), small average generalization error and small average communication cost. We also consider a one-shot scenario in which the guarantees on the empirical risk and generalization error are obtained for every encoder's output message.




Abstract:A major challenge in designing efficient statistical supervised learning algorithms is finding representations that perform well not only on available training samples but also on unseen data. While the study of representation learning has spurred much interest, most existing such approaches are heuristic; and very little is known about theoretical generalization guarantees. In this paper, we establish a compressibility framework that allows us to derive upper bounds on the generalization error of a representation learning algorithm in terms of the "Minimum Description Length" (MDL) of the labels or the latent variables (representations). Rather than the mutual information between the encoder's input and the representation, which is often believed to reflect the algorithm's generalization capability in the related literature but in fact, falls short of doing so, our new bounds involve the "multi-letter" relative entropy between the distribution of the representations (or labels) of the training and test sets and a fixed prior. In particular, these new bounds reflect the structure of the encoder and are not vacuous for deterministic algorithms. Our compressibility approach, which is information-theoretic in nature, builds upon that of Blum-Langford for PAC-MDL bounds and introduces two essential ingredients: block-coding and lossy-compression. The latter allows our approach to subsume the so-called geometrical compressibility as a special case. To the best knowledge of the authors, the established generalization bounds are the first of their kind for Information Bottleneck (IB) type encoders and representation learning. Finally, we partly exploit the theoretical results by introducing a new data-dependent prior. Numerical simulations illustrate the advantages of well-chosen such priors over classical priors used in IB.




Abstract:We investigate the generalization error of statistical learning models in a Federated Learning (FL) setting. Specifically, we study the evolution of the generalization error with the number of communication rounds between the clients and the parameter server, i.e., the effect on the generalization error of how often the local models as computed by the clients are aggregated at the parameter server. We establish PAC-Bayes and rate-distortion theoretic bounds on the generalization error that account explicitly for the effect of the number of rounds, say $ R \in \mathbb{N}$, in addition to the number of participating devices $K$ and individual datasets size $n$. The bounds, which apply in their generality for a large class of loss functions and learning algorithms, appear to be the first of their kind for the FL setting. Furthermore, we apply our bounds to FL-type Support Vector Machines (FSVM); and we derive (more) explicit bounds on the generalization error in this case. In particular, we show that the generalization error of FSVM increases with $R$, suggesting that more frequent communication with the parameter server diminishes the generalization power of such learning algorithms. Combined with that the empirical risk generally decreases for larger values of $R$, this indicates that $R$ might be a parameter to optimize in order to minimize the population risk of FL algorithms. Moreover, specialized to the case $R=1$ (sometimes referred to as "one-shot" FL or distributed learning) our bounds suggest that the generalization error of the FL setting decreases faster than that of centralized learning by a factor of $\mathcal{O}(\sqrt{\log(K)/K})$, thereby generalizing recent findings in this direction to arbitrary loss functions and algorithms. The results of this paper are also validated on some experiments.



Abstract:We study the generalization error of statistical learning models in a Federated Learning (FL) setting. Specifically, there are $K$ devices or clients, each holding an independent own dataset of size $n$. Individual models, learned locally via Stochastic Gradient Descent, are aggregated (averaged) by a central server into a global model and then sent back to the devices. We consider multiple (say $R \in \mathbb N^*$) rounds of model aggregation and study the effect of $R$ on the generalization error of the final aggregated model. We establish an upper bound on the generalization error that accounts explicitly for the effect of $R$ (in addition to the number of participating devices $K$ and dataset size $n$). It is observed that, for fixed $(n, K)$, the bound increases with $R$, suggesting that the generalization of such learning algorithms is negatively affected by more frequent communication with the parameter server. Combined with the fact that the empirical risk, however, generally decreases for larger values of $R$, this indicates that $R$ might be a parameter to optimize to reduce the population risk of FL algorithms. The results of this paper, which extend straightforwardly to the heterogeneous data setting, are also illustrated through numerical examples.

Abstract:In this paper, we establish novel data-dependent upper bounds on the generalization error through the lens of a "variable-size compressibility" framework that we introduce newly here. In this framework, the generalization error of an algorithm is linked to a variable-size 'compression rate' of its input data. This is shown to yield bounds that depend on the empirical measure of the given input data at hand, rather than its unknown distribution. Our new generalization bounds that we establish are tail bounds, tail bounds on the expectation, and in-expectations bounds. Moreover, it is shown that our framework also allows to derive general bounds on any function of the input data and output hypothesis random variables. In particular, these general bounds are shown to subsume and possibly improve over several existing PAC-Bayes and data-dependent intrinsic dimension-based bounds that are recovered as special cases, thus unveiling a unifying character of our approach. For instance, a new data-dependent intrinsic dimension based bounds is established, which connects the generalization error to the optimization trajectories and reveals various interesting connections with rate-distortion dimension of process, R\'enyi information dimension of process, and metric mean dimension.




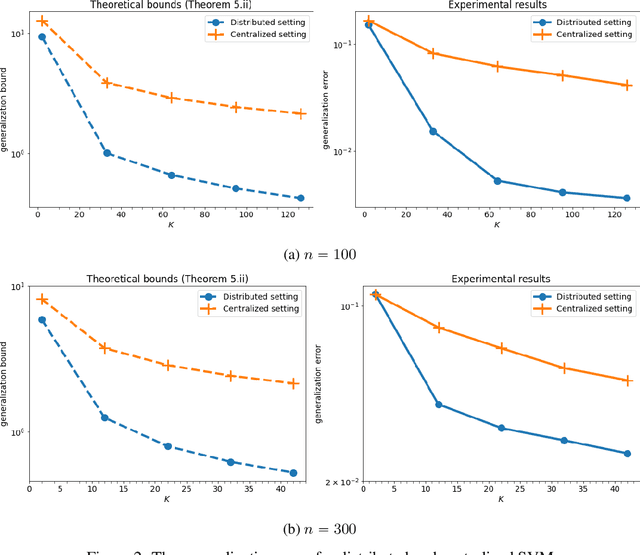
Abstract:In this paper, we use tools from rate-distortion theory to establish new upper bounds on the generalization error of statistical distributed learning algorithms. Specifically, there are $K$ clients whose individually chosen models are aggregated by a central server. The bounds depend on the compressibility of each client's algorithm while keeping other clients' algorithms un-compressed, and leverage the fact that small changes in each local model change the aggregated model by a factor of only $1/K$. Adopting a recently proposed approach by Sefidgaran et al., and extending it suitably to the distributed setting, this enables smaller rate-distortion terms which are shown to translate into tighter generalization bounds. The bounds are then applied to the distributed support vector machines (SVM), suggesting that the generalization error of the distributed setting decays faster than that of the centralized one with a factor of $\mathcal{O}(\log(K)/\sqrt{K})$. This finding is validated also experimentally. A similar conclusion is obtained for a multiple-round federated learning setup where each client uses stochastic gradient Langevin dynamics (SGLD).
Abstract:Understanding generalization in modern machine learning settings has been one of the major challenges in statistical learning theory. In this context, recent years have witnessed the development of various generalization bounds suggesting different complexity notions such as the mutual information between the data sample and the algorithm output, compressibility of the hypothesis space, and the fractal dimension of the hypothesis space. While these bounds have illuminated the problem at hand from different angles, their suggested complexity notions might appear seemingly unrelated, thereby restricting their high-level impact. In this study, we prove novel generalization bounds through the lens of rate-distortion theory, and explicitly relate the concepts of mutual information, compressibility, and fractal dimensions in a single mathematical framework. Our approach consists of (i) defining a generalized notion of compressibility by using source coding concepts, and (ii) showing that the `compression error rate' can be linked to the generalization error both in expectation and with high probability. We show that in the `lossless compression' setting, we recover and improve existing mutual information-based bounds, whereas a `lossy compression' scheme allows us to link generalization to the rate-distortion dimension -- a particular notion of fractal dimension. Our results bring a more unified perspective on generalization and open up several future research directions.