Saint Joseph's University




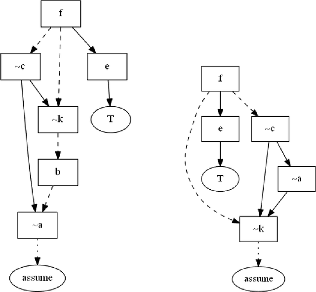
Abstract:The paper presents an enhancement of xASP, a system that generates explanation graphs for Answer Set Programming (ASP). Different from xASP, the new system, xASP2, supports different clingo constructs like the choice rules, the constraints, and the aggregates such as #sum, #min. This work formalizes and presents an explainable artificial intelligence system for a broad fragment of ASP, capable of shrinking as much as possible the set of assumptions and presenting explanations in terms of directed acyclic graphs.




Abstract:Answer Set Planning refers to the use of Answer Set Programming (ASP) to compute plans, i.e., solutions to planning problems, that transform a given state of the world to another state. The development of efficient and scalable answer set solvers has provided a significant boost to the development of ASP-based planning systems. This paper surveys the progress made during the last two and a half decades in the area of answer set planning, from its foundations to its use in challenging planning domains. The survey explores the advantages and disadvantages of answer set planning. It also discusses typical applications of answer set planning and presents a set of challenges for future research.




Abstract:This paper introduces a formal definition of a Cyber-Physical System (CPS) in the spirit of the CPS Framework proposed by the National Institute of Standards and Technology (NIST). It shows that using this definition, various problems related to concerns in a CPS can be precisely formalized and implemented using Answer Set Programming (ASP). These include problems related to the dependency or conflicts between concerns, how to mitigate an issue, and what the most suitable mitigation strategy for a given issue would be. It then shows how ASP can be used to develop an implementation that addresses the aforementioned problems. The paper concludes with a discussion of the potentials of the proposed methodologies.

Abstract:We present an enhancement of exp(ASP), a system that generates explanation graphs for a literal l - an atom a or its default negation ~a - given an answer set A of a normal logic program P, which explain why l is true (or false) given A and P. The new system, exp(ASPc), differs from exp(ASP) in that it supports choice rules and utilizes constraint rules to provide explanation graphs that include information about choices and constraints.




Abstract:We present an explanation system for applications that leverage Answer Set Programming (ASP). Given a program P, an answer set A of P, and an atom a in the program P, our system generates all explanation graphs of a which help explain why a is true (or false) given the program P and the answer set A. We illustrate the functionality of the system using some examples from the literature.

Abstract:Information Retrieval (IR) aims at retrieving documents that are most relevant to a query provided by a user. Traditional techniques rely mostly on syntactic methods. In some cases, however, links at a deeper semantic level must be considered. In this paper, we explore a type of IR task in which documents describe sequences of events, and queries are about the state of the world after such events. In this context, successfully matching documents and query requires considering the events' possibly implicit, uncertain effects and side-effects. We begin by analyzing the problem, then propose an action language based formalization, and finally automate the corresponding IR task using Answer Set Programming.




Abstract:CASP is an extension of ASP that allows for numerical constraints to be added in the rules. PDDL+ is an extension of the PDDL standard language of automated planning for modeling mixed discrete-continuous dynamics. In this paper, we present CASP solutions for dealing with PDDL+ problems, i.e., encoding from PDDL+ to CASP, and extensions to the algorithm of the EZCSP CASP solver in order to solve CASP programs arising from PDDL+ domains. An experimental analysis, performed on well-known linear and non-linear variants of PDDL+ domains, involving various configurations of the EZCSP solver, other CASP solvers, and PDDL+ planners, shows the viability of our solution.




Abstract:We describe an application of Answer Set Programming to the understanding of narratives about stereotypical activities, demonstrated via question answering. Substantial work in this direction was done by Erik Mueller, who modeled stereotypical activities as scripts. His systems were able to understand a good number of narratives, but could not process texts describing exceptional scenarios. We propose addressing this problem by using a theory of intentions developed by Blount, Gelfond, and Balduccini. We present a methodology in which we substitute scripts by activities (i.e., hierarchical plans associated with goals) and employ the concept of an intentional agent to reason about both normal and exceptional scenarios. We exemplify the application of this methodology by answering questions about a number of restaurant stories. This paper is under consideration for acceptance in TPLP.




Abstract:It has been challenging for the technical and regulatory communities to formulate requirements for trustworthiness of the cyber-physical systems (CPS) due to the complexity of the issues associated with their design, deployment, and operations. The US National Institute of Standards and Technology (NIST), through a public working group, has released a CPS Framework that adopts a broad and integrated view of CPS and positions trustworthiness among other aspects of CPS. This paper takes the model created by the CPS Framework and its further developments one step further, by applying ontological approaches and reasoning techniques in order to achieve greater understanding of CPS. The example analyzed in the paper demonstrates the enrichment of the original CPS model obtained through ontology and reasoning and its ability to deliver additional insights to the developers and operators of CPS.




Abstract:Researchers in answer set programming and constraint programming have spent significant efforts in the development of hybrid languages and solving algorithms combining the strengths of these traditionally separate fields. These efforts resulted in a new research area: constraint answer set programming. Constraint answer set programming languages and systems proved to be successful at providing declarative, yet efficient solutions to problems involving hybrid reasoning tasks. One of the main contributions of this paper is the first comprehensive account of the constraint answer set language and solver EZCSP, a mainstream representative of this research area that has been used in various successful applications. We also develop an extension of the transition systems proposed by Nieuwenhuis et al. in 2006 to capture Boolean satisfiability solvers. We use this extension to describe the EZCSP algorithm and prove formal claims about it. The design and algorithmic details behind EZCSP clearly demonstrate that the development of the hybrid systems of this kind is challenging. Many questions arise when one faces various design choices in an attempt to maximize system's benefits. One of the key decisions that a developer of a hybrid solver makes is settling on a particular integration schema within its implementation. Thus, another important contribution of this paper is a thorough case study based on EZCSP, focused on the various integration schemas that it provides. Under consideration in Theory and Practice of Logic Programming (TPLP).