Abstract:Channel knowledge map (CKM) has emerged as a pivotal technology for environment-aware wireless communications and sensing, which provides a priori location-specific channel knowledge to facilitate network optimization. Efficient CKM construction is an important technical problem for its effective implementation. This article provides a comprehensive overview of recent advances in CKM construction. First, we examine classical interpolation-based CKM construction methods, highlighting their limitations in practical deployments. Next, we explore image processing and generative artificial intelligence (AI) techniques, which leverage feature extraction to construct CKMs based on environmental knowledge. Furthermore, we present emerging wireless radiance field (WRF) frameworks that exploit neural radiance fields or Gaussian splatting to construct high-fidelity CKMs from sparse measurement data. Finally, we outline various future research directions in real-time and cross-domain CKM construction, as well as cost-efficient deployment of CKMs.
Abstract:This paper investigates robust secure communications in a near-field integrated sensing, communication, and powering (ISCAP) system, in which the base station (BS) is equipped with an extremely large-scale antenna array (ELAA). In this system, the BS transmits confidential messages to a single legitimate communication user (CU), simultaneously providing wireless power transfer to multiple energy receivers (ERs) and performing point target sensing. We consider a scenario in which both the ERs and the sensing target may act as potential eavesdroppers attempting to intercept the confidential messages. To safeguard secure communication, the BS employs a joint beamforming design by transmitting information beams combined with dedicated triple-purpose beams serving as energy and sensing signals, as well as artificial noise (AN) for effectively jamming potential eavesdroppers. It is assumed that only coarse location information of the ERs and sensing targets or eavesdroppers is available at the BS, leading to imperfect channel state information (CSI). Under this setup, we formulate a robust beamforming optimization problem with the objective of maximizing the secrecy rate for the CU, while ensuring worst-case performance requirements on both target sensing and wireless energy harvesting at the ERs. To address the non-convex robust joint beamforming problem and facilitate the deployment of a low-complexity algorithm, we employ the S-procedure alongside an eavesdropping CSI error-bound determination method to acquire a high-quality solution.
Abstract:This paper investigates secure communications in a near-field multi-functional integrated sensing, communication, and powering (ISCAP) system with an extremely large-scale antenna arrays (ELAA) equipped at the base station (BS). In this system, the BS sends confidential messages to a single communication user (CU), and at the same time wirelessly senses a point target and charges multiple energy receivers (ERs). It is assumed that the ERs and the sensing target are potential eavesdroppers that may attempt to intercept the confidential messages intended for the CU. We consider the joint transmit beamforming design to support secure communications while ensuring the sensing and powering requirements. In particular, the BS transmits dedicated sensing/energy beams in addition to the information beam, which also play the role of artificial noise (AN) for effectively jamming potential eavesdroppers. Building upon this, we maximize the secrecy rate at the CU, subject to the maximum \ac{crb} constraints for target sensing and the minimum harvested energy constraints for the ERs. Although the formulated joint beamforming problem is non-convex and challenging to solve, we acquire the optimal solution via the semi-definite relaxation (SDR) and fractional programming techniques together with a one-dimensional (1D) search. Subsequently, we present two alternative designs based on zero-forcing (ZF) beamforming and maximum ratio transmission (MRT), respectively. Finally, our numerical results show that our proposed approaches exploit both the distance-domain resolution of near-field ELAA and the joint beamforming design for enhancing secure communication performance while ensuring the sensing and powering requirements in ISCAP, especially when the CU and the target and ER eavesdroppers are located at the same angle (but different distances) with respect to the BS.




Abstract:This paper investigates the energy-efficient hybrid beamforming design for a multi-functional integrated sensing, communications, and powering (ISCAP) system. In this system, a base station (BS) with a hybrid analog-digital (HAD) architecture sends unified wireless signals to communicate with multiple information receivers (IRs), sense multiple point targets, and wirelessly charge multiple energy receivers (ERs) at the same time. To facilitate the energy-efficient design, we present a novel HAD architecture for the BS transmitter, which allows dynamic on-off control of its radio frequency (RF) chains and analog phase shifters (PSs) through a switch network. We also consider a practical and comprehensive power consumption model for the BS, by taking into account the power-dependent non-linear power amplifier (PA) efficiency, and the on-off non-transmission power consumption model of RF chains and PSs. We jointly design the hybrid beamforming and dynamic on-off control at the BS, aiming to minimize its total power consumption, while guaranteeing the performance requirements on communication rates, sensing Cram\'er-Rao bound (CRB), and harvested power levels. The formulation also takes into consideration the per-antenna transmit power constraint and the constant modulus constraints for the analog beamformer at the BS. The resulting optimization problem for ISCAP is highly non-convex. Please refer to the paper for a complete abstract.
Abstract:This paper studies a secure cell-free integrated sensing and communication (ISAC) system, in which multiple ISAC transmitters collaboratively send confidential information to multiple communication users (CUs) and concurrently conduct target detection. Different from prior works investigating communication security against potential information eavesdropping, we consider the security of both communication and sensing in the presence of both information and sensing eavesdroppers that aim to intercept confidential communication information and extract target information, respectively. Towards this end, we optimize the joint information and sensing transmit beamforming at these ISAC transmitters for secure cell-free ISAC. Our objective is to maximize the detection probability over a designated sensing area while ensuring the minimum signal-to-interference-plus-noise-ratio (SINR) requirements at CUs. Our formulation also takes into account the maximum tolerable signal-to-noise ratio (SNR) at information eavesdroppers for ensuring the confidentiality of information transmission, and the maximum detection probability constraints at sensing eavesdroppers for preserving sensing privacy. The formulated secure joint transmit beamforming problem is highly non-convex due to the intricate interplay between the detection probabilities, beamforming vectors, and SINR constraints. Fortunately, through strategic manipulation and via applying the semidefinite relaxation (SDR) technique, we successfully obtain the globally optimal solution to the design problem by rigorously verifying the tightness of SDR. Furthermore, we present two alternative joint beamforming designs based on the sensing SNR maximization over the specific sensing area and the coordinated beamforming, respectively. Numerical results reveal the benefits of our proposed design over these alternative benchmarks.
Abstract:In this paper, we study a multi-input multi-output (MIMO) beamforming design in an integrated sensing and communication (ISAC) system, in which an ISAC base station (BS) is used to communicate with multiple downlink users and simultaneously the communication signals are reused for sensing multiple targets. Our interested sensing parameters are the angle and delay information of the targets, which can be used to locate these targets. Under this consideration, we first derive the Cram\'{e}r-Rao bound (CRB) for angle and delay estimation. Then, we optimize the transmit beamforming at the BS to minimize the CRB, subject to communication rate and power constraints. In particular, we obtain the optimal solution in closed-form in the case of single-target and single-user, and in the case of multi-target and multi-user scenario, the sparsity of the optimal solution is proven, leading to a reduction in computational complexity during optimization. The numerical results demonstrate that the optimized beamforming yields excellent positioning performance and effectively reduces the requirement for a large number of antennas at the BS.
Abstract:This correspondence presents a novel sensing-assisted sparse channel recovery approach for massive antenna wireless communication systems. We focus on a fundamental configuration with one massive-antenna base station (BS) and one single-antenna communication user (CU). The wireless channel exhibits sparsity and consists of multiple paths associated with scatterers detectable via radar sensing. Under this setup, the BS first sends downlink pilots to the CU and concurrently receives the echo pilot signals for sensing the surrounding scatterers. Subsequently, the CU sends feedback information on its received pilot signal to the BS. Accordingly, the BS determines the sparse basis based on the sensed scatterers and proceeds to recover the wireless channel, exploiting the feedback information based on advanced compressive sensing (CS) algorithms. Numerical results show that the proposed sensing-assisted approach significantly increases the overall achievable rate than the conventional design relying on a discrete Fourier transform (DFT)-based sparse basis without sensing, thanks to the reduced training overhead and enhanced recovery accuracy with limited feedback.
Abstract:This paper studies the transmit energy beamforming in a multi-antenna wireless power transfer (WPT) system, in which an access point (AP) equipped with a uniform linear array (ULA) sends radio signals to wirelessly charge multiple single-antenna energy receivers (ERs). Different from conventional energy beamforming designs that require the AP to acquire the channel state information (CSI) via training and feedback, we propose a new training-free energy beamforming approach assisted by wireless radar sensing, which is implemented based on the following two-stage protocol. In the first stage, the AP performs wireless radar sensing to estimate the path gain and angle parameters of the ERs for constructing the corresponding CSI. In the second stage, the AP implements the transmit energy beamforming based on the constructed CSI to efficiently charge these ERs in a fair manner. Under this setup, first, we jointly optimize the sensing beamformers and duration in the first stage to minimize the sensing duration, while ensuring a given accuracy threshold for parameters estimation subject to the maximum transmit power constraint at the AP. Next, we optimize the energy beamformers in the second stage to maximize the minimum harvested energy by all ERs. In this approach, the estimation accuracy threshold for the first stage is properly designed to balance the resource allocation between the two stages for optimizing the ultimate energy harvesting performance. Finally, numerical results show that the proposed training-free energy beamforming design performs close to the performance upper bound with perfect CSI, and outperforms the benchmark schemes without such joint optimization and that with isotropic transmission.




Abstract:This paper investigates the performance tradeoff for a multi-antenna integrated sensing and communication (ISAC) system with simultaneous information multicasting and multi-target sensing, in which a multi-antenna base station (BS) sends the common information messages to a set of single-antenna communication users (CUs) and estimates the parameters of multiple sensing targets based on the echo signals concurrently. We consider two target sensing scenarios without and with prior target knowledge at the BS, in which the BS is interested in estimating the complete multi-target response matrix and the target reflection coefficients/angles, respectively. First, we consider the capacity-achieving transmission and characterize the fundamental tradeoff between the achievable rate and the multi-target estimation Cram\'er-Rao bound (CRB) accordingly.




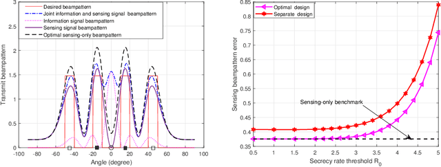
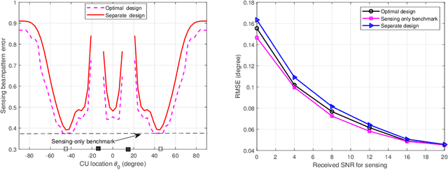
Abstract:This paper studies a downlink secure integrated sensing and communication (ISAC) system, in which a multi-antenna base station (BS) transmits confidential messages to a single-antenna communication user (CU) while performing sensing on targets that may act as suspicious eavesdroppers. To ensure the quality of target sensing while preventing their potential eavesdropping, the BS combines the transmit confidential information signals with additional dedicated sensing signals, which play a dual role of artificial noise (AN) for degrading the qualities of eavesdropping channels. Under this setup, we jointly design the transmit information and sensing beamforming, with the objective of minimizing the weighted sum of beampattern matching errors and cross-correlation patterns for sensing subject to secure communication constraints. The robust design takes into account the channel state information (CSI) imperfectness of the eavesdroppers in two practical CSI error scenarios. First, we consider the scenario with bounded CSI errors of eavesdroppers, in which the worst-case secrecy rate constraint is adopted to ensure secure communication performance. In this scenario, we present the optimal solution to the worst-case secrecy rate constrained sensing beampattern optimization problem, by adopting the techniques of S-procedure, semi-definite relaxation (SDR), and a one-dimensional (1D) search, for which the tightness of the SDR is rigorously proved. Next, we consider the scenario with Gaussian CSI errors of eavesdroppers, in which the secrecy outage probability constraint is adopted. In this scenario, we present an efficient algorithm to solve the more challenging secrecy outage-constrained sensing beampattern optimization problem, by exploiting the convex restriction technique based on the Bernstein-type inequality, together with the SDR and 1D search.