Abstract:Sample efficiency and exploration remain critical challenges in Deep Reinforcement Learning (DRL), particularly in complex domains. Offline RL, which enables agents to learn optimal policies from static, pre-collected datasets, has emerged as a promising alternative. However, offline RL is constrained by issues such as out-of-distribution (OOD) actions that limit policy performance and generalization. To overcome these limitations, we propose Meta Offline-Online Reinforcement Learning (MOORL), a hybrid framework that unifies offline and online RL for efficient and scalable learning. While previous hybrid methods rely on extensive design components and added computational complexity to utilize offline data effectively, MOORL introduces a meta-policy that seamlessly adapts across offline and online trajectories. This enables the agent to leverage offline data for robust initialization while utilizing online interactions to drive efficient exploration. Our theoretical analysis demonstrates that the hybrid approach enhances exploration by effectively combining the complementary strengths of offline and online data. Furthermore, we demonstrate that MOORL learns a stable Q-function without added complexity. Extensive experiments on 28 tasks from the D4RL and V-D4RL benchmarks validate its effectiveness, showing consistent improvements over state-of-the-art offline and hybrid RL baselines. With minimal computational overhead, MOORL achieves strong performance, underscoring its potential for practical applications in real-world scenarios.




Abstract:In this paper, we present a comprehensive UAV system design to perform the highly complex task of off-centered aerial grasping. This task has several interdisciplinary research challenges which need to be addressed at once. The main design challenges are GPS-denied functionality, solely onboard computing, and avoiding off-the-shelf costly positioning systems. While in terms of algorithms, visual perception, localization, control, and grasping are the leading research problems. Hence in this paper, we make interdisciplinary contributions: (i) A detailed description of the fundamental challenges in indoor aerial grasping, (ii) a novel lightweight gripper design, (iii) a complete aerial platform design and in-lab fabrication, and (iv) localization, perception, control, grasping systems, and an end-to-end flight autonomy state-machine. Finally, we demonstrate the resulting aerial grasping system Drone-Bee achieving a high grasping rate for a highly challenging agricultural task of apple-like fruit harvesting, indoors in a vertical farming setting (Fig. 1). To our knowledge, such a system has not been previously discussed in the literature, and with its capabilities, this system pushes aerial manipulation towards 4th generation.




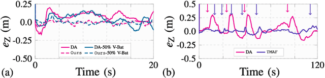
Abstract:In this work, we propose an end-to-end Thrust Microstepping and Decoupled Control (TMDC) of quadrotors. TMDC focuses on precise off-centered aerial grasping of payloads dynamically, which are attached rigidly to the UAV body via a gripper contrary to the swinging payload. The dynamic payload grasping quickly changes UAV's mass, inertia etc, causing instability while performing a grasping operation in-air. We identify that to handle unknown payload grasping, the role of thrust controller is crucial. Hence, we focus on thrust control without involving system parameters such as mass etc. TMDC is based on our novel Thrust Microstepping via Acceleration Feedback (TMAF) thrust controller and Decoupled Motion Control (DMC). TMAF precisely estimates the desired thrust even at smaller loop rates while DMC decouples the horizontal and vertical motion to counteract disturbances in the case of dynamic payloads. We prove the controller's efficacy via exhaustive experiments in practically interesting and adverse real-world cases, such as fully onboard state estimation without any positioning sensor, narrow and indoor flying workspaces with intense wind turbulence, heavy payloads, non-uniform loop rates, etc. Our TMDC outperforms recent direct acceleration feedback thrust controller (DA) and geometric tracking control (GT) in flying stably for aerial grasping and achieves RMSE below 0.04m in contrast to 0.15m of DA and 0.16m of GT.
Abstract:We present an accurate and GPU-accelerated Stereo Visual SLAM design called Jetson-SLAM. It exhibits frame-processing rates above 60FPS on NVIDIA's low-powered 10W Jetson-NX embedded computer and above 200FPS on desktop-grade 200W GPUs, even in stereo configuration and in the multiscale setting. Our contributions are threefold: (i) a Bounded Rectification technique to prevent tagging many non-corner points as a corner in FAST detection, improving SLAM accuracy. (ii) A novel Pyramidal Culling and Aggregation (PyCA) technique that yields robust features while suppressing redundant ones at high speeds by harnessing a GPU device. PyCA uses our new Multi-Location Per Thread culling strategy (MLPT) and Thread-Efficient Warp-Allocation (TEWA) scheme for GPU to enable Jetson-SLAM achieving high accuracy and speed on embedded devices. (iii) Jetson-SLAM library achieves resource efficiency by having a data-sharing mechanism. Our experiments on three challenging datasets: KITTI, EuRoC, and KAIST-VIO, and two highly accurate SLAM backends: Full-BA and ICE-BA show that Jetson-SLAM is the fastest available accurate and GPU-accelerated SLAM system (Fig. 1).




Abstract:Channel pruning approaches for convolutional neural networks (ConvNets) deactivate the channels, statically or dynamically, and require special implementation. In addition, channel squeezing in representative ConvNets is carried out via 1x1 convolutions which dominates a large portion of computations and network parameters. Given these challenges, we propose an effective multi-purpose module for dynamic channel sampling, namely Pick-or-Mix (PiX), which does not require special implementation. PiX divides a set of channels into subsets and then picks from them, where the picking decision is dynamically made per each pixel based on the input activations. We plug PiX into prominent ConvNet architectures and verify its multi-purpose utilities. After replacing 1x1 channel squeezing layers in ResNet with PiX, the network becomes 25% faster without losing accuracy. We show that PiX allows ConvNets to learn better data representation than widely adopted approaches to enhance networks' representation power (e.g., SE, CBAM, AFF, SKNet, and DWP). We also show that PiX achieves state-of-the-art performance on network downscaling and dynamic channel pruning applications.




Abstract:Autonomous aerial harvesting is a highly complex problem because it requires numerous interdisciplinary algorithms to be executed on mini low-powered computing devices. Object detection is one such algorithm that is compute-hungry. In this context, we make the following contributions: (i) Fast Fruit Detector (FFD), a resource-efficient, single-stage, and postprocessing-free object detector based on our novel latent object representation (LOR) module, query assignment, and prediction strategy. FFD achieves 100FPS@FP32 precision on the latest 10W NVIDIA Jetson-NX embedded device while co-existing with other time-critical sub-systems such as control, grasping, SLAM, a major achievement of this work. (ii) a method to generate vast amounts of training data without exhaustive manual labelling of fruit images since they consist of a large number of instances, which increases the labelling cost and time. (iii) an open-source fruit detection dataset having plenty of very small-sized instances that are difficult to detect. Our exhaustive evaluations on our and MinneApple dataset show that FFD, being only a single-scale detector, is more accurate than many representative detectors, e.g. FFD is better than single-scale Faster-RCNN by 10.7AP, multi-scale Faster-RCNN by 2.3AP, and better than latest single-scale YOLO-v8 by 8AP and multi-scale YOLO-v8 by 0.3 while being considerably faster.




Abstract:This paper addresses category-agnostic instance segmentation for robotic manipulation, focusing on segmenting objects independent of their class to enable versatile applications like bin-picking in dynamic environments. Existing methods often lack generalizability and object-specific information, leading to grasp failures. We present a novel approach leveraging object-centric instance segmentation and simulation-based training for effective transfer to real-world scenarios. Notably, our strategy overcomes challenges posed by noisy depth sensors, enhancing the reliability of learning. Our solution accommodates transparent and semi-transparent objects which are historically difficult for depth-based grasping methods. Contributions include domain randomization for successful transfer, our collected dataset for warehouse applications, and an integrated framework for efficient bin-picking. Our trained instance segmentation model achieves state-of-the-art performance over WISDOM public benchmark [1] and also over the custom-created dataset. In a real-world challenging bin-picking setup our bin-picking framework method achieves 98% accuracy for opaque objects and 97% accuracy for non-opaque objects, outperforming the state-of-the-art baselines with a greater margin.



Abstract:Sanskrit poetry has played a significant role in shaping the literary and cultural landscape of the Indian subcontinent for centuries. However, not much attention has been devoted to uncovering the hidden beauty of Sanskrit poetry in computational linguistics. This article explores the intersection of Sanskrit poetry and computational linguistics by proposing a roadmap of an interpretable framework to analyze and classify the qualities and characteristics of fine Sanskrit poetry. We discuss the rich tradition of Sanskrit poetry and the significance of computational linguistics in automatically identifying the characteristics of fine poetry. The proposed framework involves a human-in-the-loop approach that combines deterministic aspects delegated to machines and deep semantics left to human experts. We provide a deep analysis of Siksastaka, a Sanskrit poem, from the perspective of 6 prominent kavyashastra schools, to illustrate the proposed framework. Additionally, we provide compound, dependency, anvaya (prose order linearised form), meter, rasa (mood), alankar (figure of speech), and riti (writing style) annotations for Siksastaka and a web application to illustrate the poem's analysis and annotations. Our key contributions include the proposed framework, the analysis of Siksastaka, the annotations and the web application for future research. Link for interactive analysis: https://sanskritshala.github.io/shikshastakam/




Abstract:We present a neural Sanskrit Natural Language Processing (NLP) toolkit named SanskritShala (a school of Sanskrit) to facilitate computational linguistic analyses for several tasks such as word segmentation, morphological tagging, dependency parsing, and compound type identification. Our systems currently report state-of-the-art performance on available benchmark datasets for all tasks. SanskritShala is deployed as a web-based application, which allows a user to get real-time analysis for the given input. It is built with easy-to-use interactive data annotation features that allow annotators to correct the system predictions when it makes mistakes. We publicly release the source codes of the 4 modules included in the toolkit, 7 word embedding models that have been trained on publicly available Sanskrit corpora and multiple annotated datasets such as word similarity, relatedness, categorization, analogy prediction to assess intrinsic properties of word embeddings. So far as we know, this is the first neural-based Sanskrit NLP toolkit that has a web-based interface and a number of NLP modules. We are sure that the people who are willing to work with Sanskrit will find it useful for pedagogical and annotative purposes. SanskritShala is available at: https://cnerg.iitkgp.ac.in/sanskritshala. The demo video of our platform can be accessed at: https://youtu.be/x0X31Y9k0mw4.




Abstract:The phenomenon of compounding is ubiquitous in Sanskrit. It serves for achieving brevity in expressing thoughts, while simultaneously enriching the lexical and structural formation of the language. In this work, we focus on the Sanskrit Compound Type Identification (SaCTI) task, where we consider the problem of identifying semantic relations between the components of a compound word. Earlier approaches solely rely on the lexical information obtained from the components and ignore the most crucial contextual and syntactic information useful for SaCTI. However, the SaCTI task is challenging primarily due to the implicitly encoded context-sensitive semantic relation between the compound components. Thus, we propose a novel multi-task learning architecture which incorporates the contextual information and enriches the complementary syntactic information using morphological tagging and dependency parsing as two auxiliary tasks. Experiments on the benchmark datasets for SaCTI show 6.1 points (Accuracy) and 7.7 points (F1-score) absolute gain compared to the state-of-the-art system. Further, our multi-lingual experiments demonstrate the efficacy of the proposed architecture in English and Marathi languages.The code and datasets are publicly available at https://github.com/ashishgupta2598/SaCTI