ECE




Abstract:We consider the uplink of a grant-free cell-free massive multiple-input multiple-output (GF-CF-MaMIMO) system. We propose an algorithm for distributed joint activity detection, channel estimation, and data detection (JACD) based on expectation propagation (EP) called JACD-EP. We develop the algorithm by factorizing the a posteriori probability (APP) of activities, channels, and transmitted data, then, mapping functions and variables onto a factor graph, and finally, performing a message passing on the resulting factor graph. If users with the same pilot sequence are sufficiently distant from each other, the JACD-EP algorithm is able to mitigate the effects of pilot contamination which naturally occurs in grant-free systems due to the large number of potential users and limited signaling resources. Furthermore, it outperforms state-of-the-art algorithms for JACD in GF-CF-MaMIMO systems.





Abstract:Wireless information and energy transfer (WIET) represents an emerging paradigm which employs controllable transmission of radio-frequency signals for the dual purpose of data communication and wireless charging. As such, WIET is widely regarded as an enabler of envisioned 6G use cases that rely on energy-sustainable Internet-of-Things (IoT) networks, such as smart cities and smart grids. Meeting the quality-of-service demands of WIET, in terms of both data transfer and power delivery, requires effective co-design of the information and energy signals. In this article, we present the main principles and design aspects of WIET, focusing on its integration in 6G networks. First, we discuss how conventional communication notions such as resource allocation and waveform design need to be revisited in the context of WIET. Next, we consider various candidate 6G technologies that can boost WIET efficiency, namely, holographic multiple-input multiple-output, near-field beamforming, terahertz communication, intelligent reflecting surfaces (IRSs), and reconfigurable (fluid) antenna arrays. We introduce respective WIET design methods, analyze the promising performance gains of these WIET systems, and discuss challenges, open issues, and future research directions. Finally, a near-field energy beamforming scheme and a power-based IRS beamforming algorithm are experimentally validated using a wireless energy transfer testbed. The vision of WIET in communication systems has been gaining momentum in recent years, with constant progress with respect to theoretical but also practical aspects. The comprehensive overview of the state of the art of WIET presented in this paper highlights the potentials of WIET systems as well as their overall benefits in 6G networks.

Abstract:We consider a cell-free massive multiple-input multiple-output (CF-MaMIMO) communication system in the uplink transmission and propose a novel algorithm for blind or semi-blind joint channel estimation and data detection (JCD). We formulate the problem in the framework of bilinear inference and develop a solution based on the expectation propagation (EP) method for both channel estimation and data detection. We propose a new approximation of the joint a posteriori distribution of the channel and data whose representation as a factor graph enables the application of the EP approach using the message-passing technique, local low-complexity computations at the nodes, and an effective modeling of channel-data interplay. The derived algorithm, called bilinear-EP JCD, allows for a distributed implementation among access points (APs) and the central processing unit (CPU) and has polynomial complexity. Our simulation results show that it outperforms other EP-based state-of-the-art polynomial time algorithms.



Abstract:Integrating different functionalities, conventionally implemented as dedicated systems, into a single platform allows utilising the available resources more efficiently. We consider an integrated sensing and power transfer (ISAPT) system and propose the joint optimisation of the rectangular pulse-shaped transmit signal and the beamforming vector to combine sensing and wireless power transfer (WPT) functionalities efficiently. In contrast to prior works, we adopt an accurate non-linear circuit-based energy harvesting (EH) model. We formulate and solve a non-convex optimisation problem for a general number of EH receivers to maximise a weighted sum of the average harvested powers at the EH receivers while ensuring the received echo signal reflected by a sensing target (ST) has sufficient power for estimating the range to the ST with a prescribed accuracy within the considered coverage region. The average harvested power is shown to monotonically increase with the pulse duration when the average transmit power budget is sufficiently large. We discuss the trade-off between sensing performance and power transfer for the considered ISAPT system. The proposed approach significantly outperforms a heuristic baseline scheme based on a linear EH model, which linearly combines energy beamforming with the beamsteering vector in the direction to the ST as its transmit strategy.





Abstract:In this paper, we study optical simultaneous lightwave information and power transfer (SLIPT) systems employing photovoltaic optical receivers (RXs). To be able to efficiently harvest energy from broadband light, we propose to employ multi-junction photovoltaic cells at the optical RX. We consider the case, where the optical RX is illuminated by ambient light, an intensity-modulated information free space optical (FSO) signal, and since the ambient light may not be always present, a dedicated energy-providing broadband optical signal. Based on the analysis of the equivalent electrical circuit of the multi-junction photovoltaic RX, we model the current flow through the photovoltaic cell and derive a novel accurate and two novel approximate energy harvesting (EH) models for the two cases, where the optical RX is equipped with a single and multiple p-n junctions, respectively. We derive the optimal distribution of the transmit information signal that maximizes the achievable information rate. We validate the proposed EH models by circuit simulations and show that the photovoltaic RXs saturate for high received signal powers. For single-junction RXs, we compare the proposed EH model with two well-known baseline models and demonstrate that, in contrast to the proposed EH model, they are not able to fully capture the RX non-linearity. Since multi-junction RXs allow a more efficient allocation of the optical power, they are more robust against saturation, and thus, are able to harvest significantly more power and achieve higher data rates than RXs employing a single p-n junction. Finally, we highlight a tradeoff between the information rate and harvested power in SLIPT systems and demonstrate that the proposed optimal distribution yields significantly higher achievable information rates compared to uniformly distributed transmit signals, which are optimal for linear optical information RXs.





Abstract:As Internet of Things (IoT) devices proliferate, sustainable methods for powering them are becoming indispensable. The wireless provision of power enables battery-free operation and is crucial for complying with weight and size restrictions. For the energy harvesting components of these devices to be small, a high operating frequency is necessary. In conjunction with an electrically large antenna, the receivers may be located in the radiating near-field (Fresnel) region, e.g., in indoor scenarios. In this paper, we propose a wireless power transfer system to ensure a reliable supply of power to an arbitrary number of mobile, low-power, and single-antenna receivers, which are located in a three-dimensional cuboid room. To this end, we formulate a max-min optimisation problem to determine the optimal allocation of transmit power among an infinite number of radiating elements of the system's transmit antenna array. Thereby, the optimal deployment, i.e, the set of transmit antenna positions that are allocated non-zero transmit power according to the optimal allocation, is obtained implicitly. Generally, the set of transmit antenna positions corresponding to the optimal deployment has Lebesgue measure zero and the closure of the set has empty interior. Moreover, for a one-dimensional transmit antenna array, the set of transmit antenna positions is proven to be finite. The proposed optimal solution is validated through simulation. Simulation results indicate that the optimal deployment requires a finite number of transmit antennas and depends on the geometry of the environment and the dimensionality of the transmit antenna array. The robustness of the solution, which is obtained under a line-of-sight (LoS) assumption between the transmitter and receiver, is assessed in an isotropic scattering environment containing a strong LoS component.





Abstract:In this paper, we study terahertz (THz) simultaneous wireless information and power transfer (SWIPT) systems. Since coherent information detection is challenging at THz frequencies and Schottky diodes are not usable for THz energy harvesting (EH), we employ unipolar amplitude shift keying (ASK) modulation at the transmitter (TX) and a resonant tunnelling diode (RTD)- based EH circuit at the receiver (RX) to extract both information and power from the received signal. However, the electrical properties of Schottky diodes and RTDs are different, and unlike EH receivers based on a single Schottky diode, an accurate closed-form EH model for RTD-based RXs is not available, yet. In this paper, we model the dependency of the instantaneous RX output power on the instantaneous received power by a non-linear piecewise function, whose parameters are adjusted to fit circuit simulation results. We formulate an optimization problem to maximize the mutual information between the TX and RX signals subject to constraints on the peak amplitude of the transmitted signal and the required average harvested power at the RX. Furthermore, we determine a feasibility condition for the formulated problem, and for high and low required average harvested powers, we derive the achievable information rate numerically and in closed form, respectively. Our simulation results highlight a tradeoff between the information rate and the average harvested power. Finally, we show that this tradeoff is determined by the peak amplitude of the transmitted signal and the maximum instantaneous harvested power for low and high received signal powers, respectively.





Abstract:In this paper, we study optical simultaneous wireless information and power transfer (SWIPT) systems, where a photovoltaic optical receiver (RX) is illuminated by ambient light and an intensity-modulated free space optical (FSO) signal. To facilitate simultaneous information reception and energy harvesting (EH) at the RX, the received optical signal is first converted to an electrical signal, and then, its alternating current (AC) and direct current (DC) components are separated and utilized for information decoding and EH, respectively. By accurately analysing the equivalent electrical circuit of the photovoltaic RX, we model the current flow through the photovoltaic p-n junction in both the low and high input power regimes using a two-diode model of the p-n junction and we derive a closed-form non-linear EH model that characterizes the harvested power at the RX. Furthermore, taking into account the non-linear behaviour of the photovoltaic RX on information reception, we derive the optimal distribution of the transmit information signal that maximizes the achievable information rate. The proposed EH model is validated by circuit simulation results. Furthermore, we compare with two baseline models based on maximum power point (MPP) tracking at the RX and a single-diode p-n junction model, respectively, and demonstrate that in contrast to the proposed EH model, they are not able to fully capture the non-linearity of photovoltaic optical RXs. Finally, our numerical results highlight that the proposed optimal distribution of the transmit signal yields significantly higher achievable information rates compared to uniformly distributed transmit signals, which are optimal for linear optical information RXs.




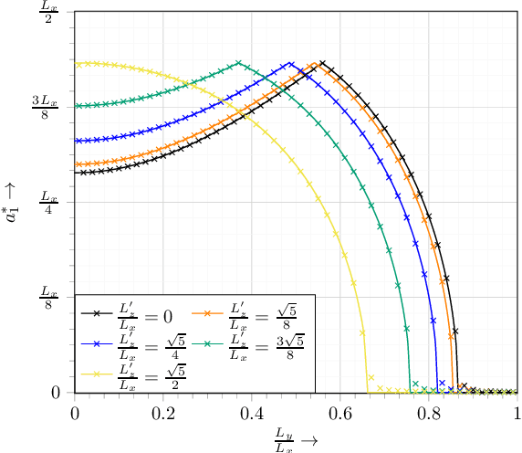
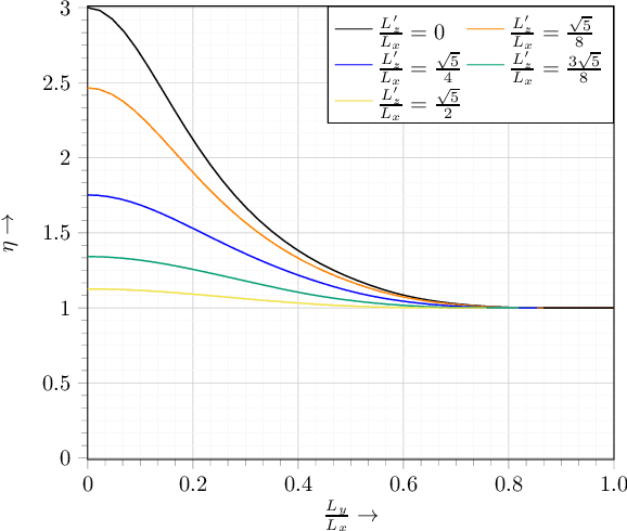
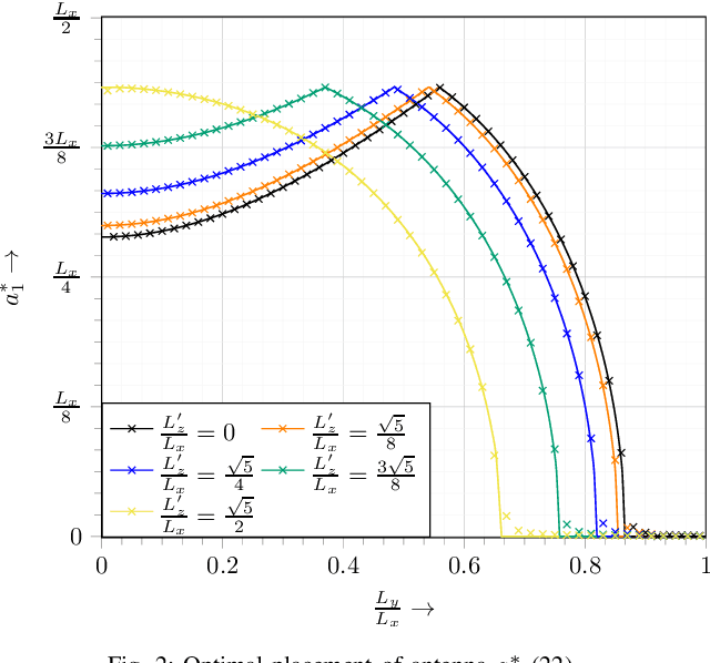
Abstract:Current trends in communication system design precipitate a change in the operating regime from the traditional far-field to the radiating near-field (Fresnel) region. We investigate the optimal transmit antenna placement for a multiple-input single-output (MISO) wireless power transfer (WPT) system designed for a three-dimensional cuboid room under line-of-sight (LoS) conditions in the Fresnel region. We formulate an optimisation problem for maximising the received power at the worst possible receiver location by considering the spherical nature of the electromagnetic (EM) wavefronts in the Fresnel region while assuming perfect knowledge of the channel at the transmitter. For the case of two transmit antennas, we derive a closed-form expression for the optimal positioning of the antennas which is purely determined by the geometry of the environment. If the room contains locations where the far-field approximation holds, the proposed positioning is shown to reduce to the far-field solution. The analytical solution is validated through simulation. Furthermore, the maximum received power at the locations yielding the worst performance is quantified and the power gain over the optimal far-field solution is presented. For the considered cuboid environment, we show that a distributed antenna system is optimal in the Fresnel region, whereas a co-located antenna architecture is ideal for the far-field.





Abstract:In this work, we tackle the problem of hidden community detection. We consider Belief Propagation (BP) applied to the problem of detecting a hidden Erd\H{o}s-R\'enyi (ER) graph embedded in a larger and sparser ER graph, in the presence of side-information. We derive two related algorithms based on BP to perform subgraph detection in the presence of two kinds of side-information. The first variant of side-information consists of a set of nodes, called cues, known to be from the subgraph. The second variant of side-information consists of a set of nodes that are cues with a given probability. It was shown in past works that BP without side-information fails to detect the subgraph correctly when an effective signal-to-noise ratio (SNR) parameter falls below a threshold. In contrast, in the presence of non-trivial side-information, we show that the BP algorithm achieves asymptotically zero error for any value of the SNR parameter. We validate our results through simulations on synthetic datasets as well as on a few real world networks.
