



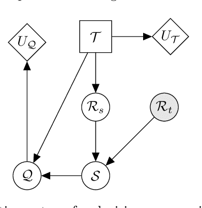
Abstract:Because of the global need to increase power production from renewable energy resources, developments in the online monitoring of the associated infrastructure is of interest to reduce operation and maintenance costs. However, challenges exist for data-driven approaches to this problem, such as incomplete or limited histories of labelled damage-state data, operational and environmental variability, or the desire for the quantification of uncertainty to support risk management. This work first introduces a probabilistic regression model for predicting wind-turbine power, which adjusts for wake effects learnt from data. Spatial correlations in the learned model parameters for different tasks (turbines) are then leveraged in a hierarchical Bayesian model (an approach to multi-task learning) to develop a "metamodel", which can be used to make power-predictions which adjust for turbine location - including on previously unobserved turbines not included in the training data. The results show that the metamodel is able to outperform a series of benchmark models, and demonstrates a novel strategy for making efficient use of data for inference in populations of structures, in particular where correlations exist in the variable(s) of interest (such as those from wind-turbine wake-effects).
Abstract:A Nonlinear Auto-Regressive with eXogenous inputs (NARX) model can be used to describe time-varying processes; where the output depends on both previous outputs and current/previous external input variables. One limitation of NARX models is their propensity to overfit and result in poor generalisation for future predictions. The proposed method to help to overcome the issue of overfitting is a NARX model which predicts outputs at both the current time and several lead times into the future. This is a form of multi-task learner (MTL); whereby the lead time outputs will regularise the current time output. This work shows that for high noise level, MTL can be used to regularise NARX with a lower Normalised Mean Square Error (NMSE) compared to the NMSE of the independent learner counterpart.




Abstract:Despite recent advances in population-based structural health monitoring (PBSHM), knowledge transfer between highly-disparate structures (i.e., heterogeneous populations) remains a challenge. It has been proposed that heterogeneous transfer may be accomplished via intermediate structures that bridge the gap in information between the structures of interest. A key aspect of the technique is the idea that by varying parameters such as material properties and geometry, one structure can be continuously morphed into another. The current work demonstrates the development of these interpolating structures, via case studies involving the parameterisation of (and transfer between) a simple, simulated 'bridge' and 'aeroplane'. The facetious question 'When is a bridge not an aeroplane?' has been previously asked in the context of predicting positive transfer based on structural similarity. While the obvious answer to this question is 'Always,' the current work demonstrates that in some cases positive transfer can be achieved between highly-disparate systems.




Abstract:Damage prognosis is, arguably, one of the most difficult tasks of structural health monitoring (SHM). To address common problems of damage prognosis, a population-based SHM (PBSHM) approach is adopted in the current work. In this approach the prognosis problem is considered as an information-sharing problem where data from past structures are exploited to make more accurate inferences regarding currently-degrading structures. For a given population, there may exist restrictions on the resources available to conduct monitoring; thus, the current work studies the problem of allocating such resources within a population of degrading structures with a view to maximising the damage-prognosis accuracy. The challenges of the current framework are mainly associated with the inference of outliers on the level of damage evolution, given partial data from the damage-evolution phenomenon. The current approach considers an initial population of structures for which damage evolution is extensively observed. Subsequently, a second population of structures with evolving damage is considered for which two monitoring systems are available, a low-availability and high-fidelity (low-uncertainty) one, and a widely-available and low-fidelity (high-uncertainty) one. The task of the current work is to follow an active-learning approach to identify the structures to which the high-fidelity system should be assigned in order to enhance the predictive capabilities of the machine-learning model throughout the population.




Abstract:Classification models are a key component of structural digital twin technologies used for supporting asset management decision-making. An important consideration when developing classification models is the dimensionality of the input, or feature space, used. If the dimensionality is too high, then the `curse of dimensionality' may rear its ugly head; manifesting as reduced predictive performance. To mitigate such effects, practitioners can employ dimensionality reduction techniques. The current paper formulates a decision-theoretic approach to dimensionality reduction for structural asset management. In this approach, the aim is to keep incurred misclassification costs to a minimum, as the dimensionality is reduced and discriminatory information may be lost. This formulation is constructed as an eigenvalue problem, with separabilities between classes weighted according to the cost of misclassifying them when considered in the context of a decision process. The approach is demonstrated using a synthetic case study.




Abstract:Regression is a fundamental prediction task common in data-centric engineering applications that involves learning mappings between continuous variables. In many engineering applications (e.g.\ structural health monitoring), feature-label pairs used to learn such mappings are of limited availability which hinders the effectiveness of traditional supervised machine learning approaches. The current paper proposes a methodology for overcoming the issue of data scarcity by combining active learning with hierarchical Bayesian modelling. Active learning is an approach for preferentially acquiring feature-label pairs in a resource-efficient manner. In particular, the current work adopts a risk-informed approach that leverages contextual information associated with regression-based engineering decision-making tasks (e.g.\ inspection and maintenance). Hierarchical Bayesian modelling allow multiple related regression tasks to be learned over a population, capturing local and global effects. The information sharing facilitated by this modelling approach means that information acquired for one engineering system can improve predictive performance across the population. The proposed methodology is demonstrated using an experimental case study. Specifically, multiple regressions are performed over a population of machining tools, where the quantity of interest is the surface roughness of the workpieces. An inspection and maintenance decision process is defined using these regression tasks which is in turn used to construct the active-learning algorithm. The novel methodology proposed is benchmarked against an uninformed approach to label acquisition and independent modelling of the regression tasks. It is shown that the proposed approach has superior performance in terms of expected cost -- maintaining predictive performance while reducing the number of inspections required.




Abstract:Population-based structural health monitoring (PBSHM), aims to share information between members of a population. An offshore wind (OW) farm could be considered as a population of nominally-identical wind-turbine structures. However, benign variations exist among members, such as geometry, sea-bed conditions and temperature differences. These factors could influence structural properties and therefore the dynamic response, making it more difficult to detect structural problems via traditional SHM techniques. This paper explores the use of a Bayesian hierarchical model as a means of multitask learning, to infer foundation stiffness distribution parameters at both population and local levels. To do this, observations of natural frequency from populations of structures were first generated from both numerical and experimental models. These observations were then used in a partially-pooled Bayesian hierarchical model in tandem with surrogate FE models of the structures to infer foundation stiffness parameters. Finally, it is demonstrated how the learned parameters may be used as a basis to perform more robust anomaly detection (as compared to a no-pooling approach) e.g. as a result of scour.




Abstract:In traditional approaches to structural health monitoring, challenges often arise associated with the availability of labelled data. Population-based structural health monitoring seeks to overcomes these challenges by leveraging data/information from similar structures via technologies such as transfer learning. The current paper demonstrate a methodology for quantifying the value of information transfer in the context of operation and maintenance decision-making. This demonstration, based on a population of laboratory-scale aircraft models, highlights the steps required to evaluate the expected value of information transfer including similarity assessment and prediction of transfer efficacy. Once evaluated for a given population, the value of information transfer can be used to optimise transfer-learning strategies for newly-acquired target domains.




Abstract:Population-based structural health monitoring (PBSHM), seeks to address some of the limitations associated with data scarcity that arise in traditional SHM. A tenet of the population-based approach to SHM is that information can be shared between sufficiently-similar structures in order to improve predictive models. Transfer learning techniques, such as domain adaptation, have been shown to be a highly-useful technology for sharing information between structures when developing statistical classifiers for PBSHM. Nonetheless, transfer-learning techniques are not without their pitfalls. In some circumstances, for example if the data distributions associated with the structures within a population are dissimilar, applying transfer-learning methods can be detrimental to classification performance -- this phenomenon is known as negative transfer. Given the potentially-severe consequences of negative transfer, it is prudent for engineers to ask the question `when, what, and how should one transfer between structures?'. The current paper aims to demonstrate a transfer-strategy decision process for a classification task for a population of simulated structures in the context of a representative SHM maintenance problem, supported by domain adaptation. The transfer decision framework is based upon the concept of expected value of information transfer. In order to compute the expected value of information transfer, predictions must be made regarding the classification (and decision performance) in the target domain following information transfer. In order to forecast the outcome of transfers, a probabilistic regression is used here to predict classification performance from a proxy for structural similarity based on the modal assurance criterion.
Abstract:At present, most surface-quality prediction methods can only perform single-task prediction which results in under-utilised datasets, repetitive work and increased experimental costs. To counter this, the authors propose a Bayesian hierarchical model to predict surface-roughness measurements for a turning machining process. The hierarchical model is compared to multiple independent Bayesian linear regression models to showcase the benefits of partial pooling in a machining setting with respect to prediction accuracy and uncertainty quantification.