



Abstract:Despite recent advances in population-based structural health monitoring (PBSHM), knowledge transfer between highly-disparate structures (i.e., heterogeneous populations) remains a challenge. It has been proposed that heterogeneous transfer may be accomplished via intermediate structures that bridge the gap in information between the structures of interest. A key aspect of the technique is the idea that by varying parameters such as material properties and geometry, one structure can be continuously morphed into another. The current work demonstrates the development of these interpolating structures, via case studies involving the parameterisation of (and transfer between) a simple, simulated 'bridge' and 'aeroplane'. The facetious question 'When is a bridge not an aeroplane?' has been previously asked in the context of predicting positive transfer based on structural similarity. While the obvious answer to this question is 'Always,' the current work demonstrates that in some cases positive transfer can be achieved between highly-disparate systems.




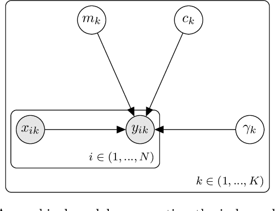
Abstract:Population-based structural health monitoring (PBSHM), aims to share information between members of a population. An offshore wind (OW) farm could be considered as a population of nominally-identical wind-turbine structures. However, benign variations exist among members, such as geometry, sea-bed conditions and temperature differences. These factors could influence structural properties and therefore the dynamic response, making it more difficult to detect structural problems via traditional SHM techniques. This paper explores the use of a Bayesian hierarchical model as a means of multitask learning, to infer foundation stiffness distribution parameters at both population and local levels. To do this, observations of natural frequency from populations of structures were first generated from both numerical and experimental models. These observations were then used in a partially-pooled Bayesian hierarchical model in tandem with surrogate FE models of the structures to infer foundation stiffness parameters. Finally, it is demonstrated how the learned parameters may be used as a basis to perform more robust anomaly detection (as compared to a no-pooling approach) e.g. as a result of scour.




Abstract:At present, most surface-quality prediction methods can only perform single-task prediction which results in under-utilised datasets, repetitive work and increased experimental costs. To counter this, the authors propose a Bayesian hierarchical model to predict surface-roughness measurements for a turning machining process. The hierarchical model is compared to multiple independent Bayesian linear regression models to showcase the benefits of partial pooling in a machining setting with respect to prediction accuracy and uncertainty quantification.




Abstract:Reductions in natural frequency are often used as a damage indicator for structural health monitoring (SHM) purposes. However, fluctuations in operational and environmental conditions, changes in boundary conditions, and slight differences among nominally-identical structures can also affect stiffness, producing frequency changes that mimic or mask damage. This variability has limited the practical implementation and generalisation of SHM technologies. The aim of this work is to investigate the effects of normal variation, and to identify methods that account for the resulting uncertainty. This work considers vibration data collected from a set of four healthy full-scale composite helicopter blades. The blades were nominally-identical but distinct, and slight differences in material properties and geometry among the blades caused significant variability in the frequency response functions, which presented as four separate trajectories across the input space. In this paper, an overlapping mixture of Gaussian processes (OMGP), was used to generate labels and quantify the uncertainty of normal-condition frequency response data from the helicopter blades. Using a population-based approach, the OMGP model provided a generic representation, called a form, to characterise the normal condition of the blades. Additional simulated data were then compared against the form and evaluated for damage using a marginal-likelihood novelty index.