Abstract:In this retrospective study, a dataset was constructed with two parts. The first part included 1,656 synthetic chest radiology reports generated by GPT-4 using specified prompts, with 828 being error-free synthetic reports and 828 containing errors. The second part included 614 reports: 307 error-free reports between 2011 and 2016 from the MIMIC-CXR database and 307 corresponding synthetic reports with errors generated by GPT-4 on the basis of these MIMIC-CXR reports and specified prompts. All errors were categorized into four types: negation, left/right, interval change, and transcription errors. Then, several models, including Llama-3, GPT-4, and BiomedBERT, were refined using zero-shot prompting, few-shot prompting, or fine-tuning strategies. Finally, the performance of these models was evaluated using the F1 score, 95\% confidence interval (CI) and paired-sample t-tests on our constructed dataset, with the prediction results further assessed by radiologists. Using zero-shot prompting, the fine-tuned Llama-3-70B-Instruct model achieved the best performance with the following F1 scores: 0.769 for negation errors, 0.772 for left/right errors, 0.750 for interval change errors, 0.828 for transcription errors, and 0.780 overall. In the real-world evaluation phase, two radiologists reviewed 200 randomly selected reports output by the model. Of these, 99 were confirmed to contain errors detected by the models by both radiologists, and 163 were confirmed to contain model-detected errors by at least one radiologist. Generative LLMs, fine-tuned on synthetic and MIMIC-CXR radiology reports, greatly enhanced error detection in radiology reports.




Abstract:Despite recent advances in algorithmic fairness, methodologies for achieving fairness with generalized linear models (GLMs) have yet to be explored in general, despite GLMs being widely used in practice. In this paper we introduce two fairness criteria for GLMs based on equalizing expected outcomes or log-likelihoods. We prove that for GLMs both criteria can be achieved via a convex penalty term based solely on the linear components of the GLM, thus permitting efficient optimization. We also derive theoretical properties for the resulting fair GLM estimator. To empirically demonstrate the efficacy of the proposed fair GLM, we compare it with other well-known fair prediction methods on an extensive set of benchmark datasets for binary classification and regression. In addition, we demonstrate that the fair GLM can generate fair predictions for a range of response variables, other than binary and continuous outcomes.




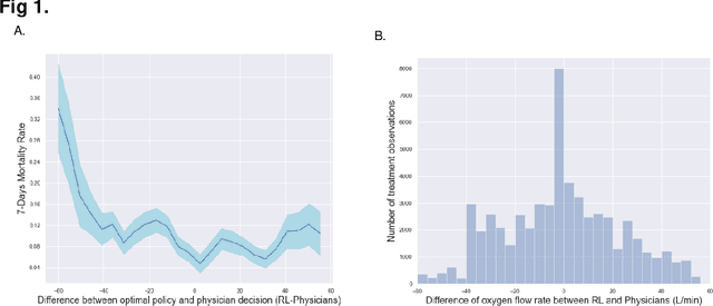
Abstract:Patients with severe Coronavirus disease 19 (COVID-19) typically require supplemental oxygen as an essential treatment. We developed a machine learning algorithm, based on a deep Reinforcement Learning (RL), for continuous management of oxygen flow rate for critical ill patients under intensive care, which can identify the optimal personalized oxygen flow rate with strong potentials to reduce mortality rate relative to the current clinical practice. Basically, we modeled the oxygen flow trajectory of COVID-19 patients and their health outcomes as a Markov decision process. Based on individual patient characteristics and health status, a reinforcement learning based oxygen control policy is learned and real-time recommends the oxygen flow rate to reduce the mortality rate. We assessed the performance of proposed methods through cross validation by using a retrospective cohort of 1,372 critically ill patients with COVID-19 from New York University Langone Health ambulatory care with electronic health records from April 2020 to January 2021. The mean mortality rate under the RL algorithm is lower than standard of care by 2.57% (95% CI: 2.08- 3.06) reduction (P<0.001) from 7.94% under the standard of care to 5.37 % under our algorithm and the averaged recommended oxygen flow rate is 1.28 L/min (95% CI: 1.14-1.42) lower than the rate actually delivered to patients. Thus, the RL algorithm could potentially lead to better intensive care treatment that can reduce mortality rate, while saving the oxygen scarce resources. It can reduce the oxygen shortage issue and improve public health during the COVID-19 pandemic.




Abstract:Comorbid chronic conditions are common among people with type 2 diabetes. We developed an Artificial Intelligence algorithm, based on Reinforcement Learning (RL), for personalized diabetes and multi-morbidity management with strong potential to improve health outcomes relative to current clinical practice. In this paper, we modeled glycemia, blood pressure and cardiovascular disease (CVD) risk as health outcomes using a retrospective cohort of 16,665 patients with type 2 diabetes from New York University Langone Health ambulatory care electronic health records in 2009 to 2017. We trained a RL prescription algorithm that recommends a treatment regimen optimizing patients' cumulative health outcomes using their individual characteristics and medical history at each encounter. The RL recommendations were evaluated on an independent subset of patients. The results demonstrate that the proposed personalized reinforcement learning prescriptive framework for type 2 diabetes yielded high concordance with clinicians' prescriptions and substantial improvements in glycemia, blood pressure, cardiovascular disease risk outcomes.