Abstract:A hybrid transmit precoder (TPC) and receive combiner (RC) pair is conceived for millimeter wave (mmWave) multiple input multiple output (MIMO) integrated sensing and communication (ISAC) systems. The proposed design considers a practical mean squared error (MSE) constraint between the desired and the achieved beampatterns constructed for identifying radar targets (RTs). To achieve optimal performance, we formulate an optimization problem relying on sum spectral efficiency (SE) maximization of the communication users (CUs), while satisfying certain radar beampattern similarity (RBPS), total transmit power, and constant modulus constraints, where the latter are attributed to the hybrid mmWave MIMO architecture. Since the aforementioned problem is non-convex and intractable, a sequential approach is proposed wherein the TPCs are designed first, followed by the RCs. To deal with the non-convex MSE and constant modulus constraints in the TPC design problem, we propose a majorization and minimization (MM) based Riemannian conjugate gradient (RCG) method, which restricts the tolerable MSE of the beampattern to within a predefined limit. Moreover, the least squares and the zero-forcing methods are adopted for maximizing the sum-SE and for mitigating the multiuser interference (MUI), respectively. Furthermore, to design the RC at each CU, we propose a linear MM-based blind combiner (LMBC) scheme that does not rely on the knowledge of the TPC at the CUs and has a low complexity. To achieve user fairness, we further extend the proposed sequential approach for maximizing the geometric mean (GM) of the CU's rate. Simulation results are presented, which show the superior performance of the proposed hybrid TPC and RC in comparison to the state-of-the-art designs in the mmWave MIMO ISAC systems under consideration.
Abstract:A hybrid beamformer (HBF) is designed for integrated sensing and communication (ISAC)-aided millimeter wave (mmWave) systems. The ISAC base station (BS), relying on a limited number of radio frequency (RF) chains, supports multiple communication users (CUs) and simultaneously detects the radar target (RT). To maximize the probability of detection (PD) of the RT, and achieve rate fairness among the CUs, we formulate two problems for the optimization of the RF and baseband (BB) transmit precoders (TPCs): PD-maximization (PD-max) and geometric mean rate-maximization (GMR-max), while ensuring the quality of services (QoS) of the RT and CUs. Both problems are highly non-convex due to the intractable expressions of the PD and GMR and also due to the non-convex unity magnitude constraints imposed on each element of the RF TPC. To solve these problems, we first transform the intractable expressions into their tractable counterparts and propose a power-efficient bisection search and majorization and minimization-based alternating algorithms for the PD-max and GMR-max problems, respectively. Furthermore, both algorithms optimize the BB TPC and RF TPCs in an alternating fashion via the successive convex approximation (SCA) and penalty-based Riemannian conjugate gradient (PRCG) techniques, respectively. Specifically, in the PRCG method, we initially add all the constraints except for the unity magnitude constraint to the objective function as a penalty term and subsequently employ the RCG method for optimizing the RF TPC. Finally, we present our simulation results and compare them to the benchmarks for demonstrating the efficacy of the proposed algorithms.
Abstract:Millimeter wave (mmWave) multiple-input multiple-output (MIMO) systems capable of integrated sensing and communication (ISAC) constitute a key technology for connected autonomous vehicles (CAVs). In this context, we propose a multi-beam object-localization (MBOL) model for enhancing the sensing beampattern (SBP) gain of adjacent objects in CAV scenarios. Given the ultra-narrow beams of mmWave MIMO systems, a single pencil beam is unsuitable for closely located objects, which tend to require multiple beams. Hence, we formulate the SBP gain maximization problem, considering also the constraints on the signal-to-interference and noise ratio (SINR) of the communication users (CUs), on the transmit power, and the constant modulus of the phase-shifters in the mmWave hybrid transceiver. To solve this non-convex problem, we propose a penalty-based triple alternating optimization algorithm to design the hybrid beamformer. Finally, simulation results are provided for demonstrating the efficacy of the proposed model.




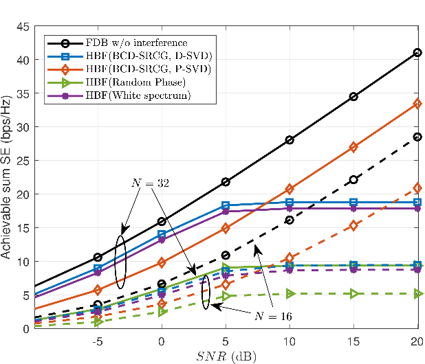
Abstract:In this work, a reconfigurable intelligent surface (RIS)-aided millimeter wave (mmWave) multiple-input multiple-output (MIMO) cognitive radio (CR) downlink operating in the underlay mode is investigated. The cognitive base station (CBS) communicates with multiple secondary users (SUs), each having multiple RF chains in the presence of a primary user (PU). We conceive a joint hybrid transmit precoder (TPC), receiver combiner (RC), and RIS reflection matrix (RM) design, which maximizes the sum spectral efficiency (SE) of the secondary system while maintaining the interference induced at the PU below a specified threshold. To this end, we formulate the sum-SE maximization problem considering the total transmit power (TP), the interference power (IP), and the non-convex unity modulus constraints of the RF TPC, RF RC, and RM. To solve this highly non-convex problem, we propose a two-stage hybrid transceiver design in conjunction with a novel block coordinate descent (BCD)-successive Riemannian conjugate gradient (SRCG) algorithm. We initially decompose the RF TPC, RC, and RM optimization problem into a series of sub-problems and subsequently design pairs of RF TPC and RC vectors, followed by successively optimizing the elements of the RM using the iterative BCD-SRCG algorithm. Furthermore, based on the effective baseband (BB) channel, the BB TPC and BB RC are designed using the proposed direct singular value decomposition (D-SVD) and projection based SVD (P-SVD) methods. Subsequently, the proportional water-filling solution is proposed for optimizing the power, which maximizes the weighted sum-SE of the system. Finally, simulation results are provided to compare our proposed schemes to several benchmarks and quantify the impact of other parameters on the sum-SE of the system.
Abstract:This paper conceives a hybrid beamforming design (HBF) that maximizes the energy efficiency (EE) of an integrated sensing and communication (ISAC)-enabled millimeter wave (mmWave) multiple-input multiple-output (MIMO) system. In the system under consideration, an ISAC base station (BS) with the hybrid MIMO architecture communicates with multiple users and simultaneously detects multiple targets. The proposed scheme seeks to maximize the EE of the system, considering the signal-to-interference and noise ratio (SINR) as the user's quality of service (QoS) and the sensing beampattern gain of the targets as constraints. To solve this non-convex problem, we initially adopt Dinkelbach's method to convert the fractional objective function to subtractive form and subsequently obtain the sub-optimal fully-digital transmit beamformer by leveraging the principle of semi-definite relaxation. Subsequently, we propose a penalty-based manifold optimization scheme in conjunction with an alternating minimization method to determine the baseband (BB) and analog beamformers based on the designed fully-digital transmit beamformer. Finally, simulation results are given to demonstrate the efficacy of our proposed algorithm with respect to the benchmarks.
Abstract:Pareto optimal solutions are conceived for radar beamforming error (RBE) and sum rate maximization in short-packet (SP) millimeter-wave (mmWave) integrated sensing and communication (ISAC). Our ultimate goal is to realize ultra-reliable low-latency communication (uRLLC) and real-time sensing capabilities for 6G applications. The ISAC base station (BS) transmits short packets in the downlink (DL) to serve multiple communication users (CUs) and detect multiple radar targets (RTs). We investigate the performance trade-off between the sensing and communication capabilities by optimizing both the radio frequency (RF) and the baseband (BB) transmit precoder (TPC), together with the block lengths. The optimization problem considers the minimum rate requirements of the CUs, the maximum tolerable radar beamforming error (RBE) for the RTs, the unit modulus (UM) elements of the RF TPC, and the finite transmit power as the constraints for SP transmission. The resultant problem is highly non-convex due to the intractable rate expression of the SP regime coupled with the non-convex rate and UM constraints. To solve this problem, we propose an innovative two-layer bisection search (TLBS) algorithm, wherein the RF and BB TPCs are optimized in the inner layer, followed by the block length in the outer layer. Furthermore, a pair of novel methods, namely a bisection search-based majorizer and minimizer (BMM) as well as exact penalty-based manifold optimization (EPMO) are harnessed for optimizing the RF TPC in the inner layer. Subsequently, the BB TPC and the block length are derived via second-order cone programming (SOCP) and mixed integer programming methods, respectively. Finally, our exhaustive simulation results reveal the effect of system parameters for various settings on the RBE-rate region of the SP mmWave ISAC system and demonstrate a significantly enhanced performance compared to the benchmarks.


Abstract:Soil organic carbon (SOC) sequestration is the transfer and storage of atmospheric carbon dioxide in soils, which plays an important role in climate change mitigation. SOC concentration can be improved by proper land use, thus it is beneficial if SOC can be estimated at a regional or global scale. As multispectral satellite data can provide SOC-related information such as vegetation and soil properties at a global scale, estimation of SOC through satellite data has been explored as an alternative to manual soil sampling. Although existing studies show promising results, they are mainly based on pixel-based approaches with traditional machine learning methods, and convolutional neural networks (CNNs) are uncommon. To study the use of CNNs on SOC remote sensing, here we propose the FNO-DenseNet based on the Fourier neural operator (FNO). By combining the advantages of the FNO and DenseNet, the FNO-DenseNet outperformed the FNO in our experiments with hundreds of times fewer parameters. The FNO-DenseNet also outperformed a pixel-based random forest by 18% in the mean absolute percentage error.




Abstract:Current time-series forecasting problems use short-term weather attributes as exogenous inputs. However, in specific time-series forecasting solutions (e.g., demand prediction in the supply chain), seasonal climate predictions are crucial to improve its resilience. Representing mid to long-term seasonal climate forecasts is challenging as seasonal climate predictions are uncertain, and encoding spatio-temporal relationship of climate forecasts with demand is complex. We propose a novel modeling framework that efficiently encodes seasonal climate predictions to provide robust and reliable time-series forecasting for supply chain functions. The encoding framework enables effective learning of latent representations -- be it uncertain seasonal climate prediction or other time-series data (e.g., buyer patterns) -- via a modular neural network architecture. Our extensive experiments indicate that learning such representations to model seasonal climate forecast results in an error reduction of approximately 13\% to 17\% across multiple real-world data sets compared to existing demand forecasting methods.