



Abstract:Inspired by the fact that spreading and collecting information through the Internet becomes the norm, more and more people choose to post for-profit contents (images and texts) in social networks. Due to the difficulty of network censors, malicious marketing may be capable of harming society. Therefore, it is meaningful to detect marketing intentions online automatically. However, gaps between multimodal data make it difficult to fuse images and texts for content marketing detection. To this end, this paper proposes Two-Branch Collaborative Graph Neural Networks to collaboratively represent multimodal data by Graph Convolution Networks (GCNs) in an end-to-end fashion. Experimental results demonstrate that our proposed method achieves superior graph classification performance for marketing intention detection.




Abstract:Deep neural networks have demonstrated advanced abilities on various visual classification tasks, which heavily rely on the large-scale training samples with annotated ground-truth. However, it is unrealistic always to require such annotation in real-world applications. Recently, Few-Shot learning (FS), as an attempt to address the shortage of training samples, has made significant progress in generic classification tasks. Nonetheless, it is still challenging for current FS models to distinguish the subtle differences between fine-grained categories given limited training data. To filling the classification gap, in this paper, we address the Few-Shot Fine-Grained (FSFG) classification problem, which focuses on tackling the fine-grained classification under the challenging few-shot learning setting. A novel low-rank pairwise bilinear pooling operation is proposed to capture the nuanced differences between the support and query images for learning an effective distance metric. Moreover, a feature alignment layer is designed to match the support image features with query ones before the comparison. We name the proposed model Low-Rank Pairwise Alignment Bilinear Network (LRPABN), which is trained in an end-to-end fashion. Comprehensive experimental results on four widely used fine-grained classification datasets demonstrate that our LRPABN model achieves the superior performances compared to state-of-the-art methods.




Abstract:The recognition ability of human beings is developed in a progressive way. Usually, children learn to discriminate various objects from coarse to fine-grained with limited supervision. Inspired by this learning process, we propose a simple yet effective model for the Few-Shot Fine-Grained (FSFG) recognition, which tries to tackle the challenging fine-grained recognition task using meta-learning. The proposed method, named Pairwise Alignment Bilinear Network (PABN), is an end-to-end deep neural network. Unlike traditional deep bilinear networks for fine-grained classification, which adopt the self-bilinear pooling to capture the subtle features of images, the proposed model uses a novel pairwise bilinear pooling to compare the nuanced differences between base images and query images for learning a deep distance metric. In order to match base image features with query image features, we design feature alignment losses before the proposed pairwise bilinear pooling. Experiment results on four fine-grained classification datasets and one generic few-shot dataset demonstrate that the proposed model outperforms both the state-ofthe-art few-shot fine-grained and general few-shot methods.




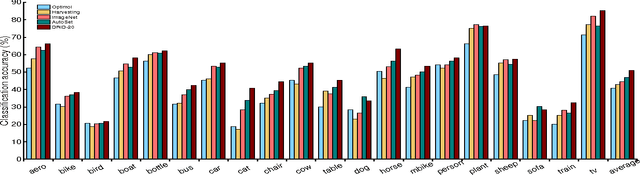
Abstract:Labelled image datasets have played a critical role in high-level image understanding. However, the process of manual labelling is both time-consuming and labor intensive. To reduce the cost of manual labelling, there has been increased research interest in automatically constructing image datasets by exploiting web images. Datasets constructed by existing methods tend to have a weak domain adaptation ability, which is known as the "dataset bias problem". To address this issue, we present a novel image dataset construction framework that can be generalized well to unseen target domains. Specifically, the given queries are first expanded by searching the Google Books Ngrams Corpus to obtain a rich semantic description, from which the visually non-salient and less relevant expansions are filtered out. By treating each selected expansion as a "bag" and the retrieved images as "instances", image selection can be formulated as a multi-instance learning problem with constrained positive bags. We propose to solve the employed problems by the cutting-plane and concave-convex procedure (CCCP) algorithm. By using this approach, images from different distributions can be kept while noisy images are filtered out. To verify the effectiveness of our proposed approach, we build an image dataset with 20 categories. Extensive experiments on image classification, cross-dataset generalization, diversity comparison and object detection demonstrate the domain robustness of our dataset.