Abstract:Accurate channel estimation with low pilot overhead and computational complexity is key to efficiently utilizing multi-antenna wireless systems. Motivated by the evolution from purely statistical descriptions toward physics- and geometry-aware propagation models, this work focuses on incorporating channel information into a Gaussian process regression (GPR) framework for improving the channel estimation accuracy. In this work, we propose a GPR-based channel estimation framework along with a novel Spatial-correlation (SC) kernel that explicitly captures the channel's second-order statistics. We derive a closed-form expression of the proposed SC-based GPR estimator and prove that its posterior mean is optimal in terms of minimum mean-square error (MMSE) under the same second-order statistics, without requiring the underlying channel distribution to be Gaussian. Our analysis reveals that, with up to 50% pilot overhead reduction, the proposed method achieves the lowest normalized mean-square error, the highest empirical 95% credible-interval coverage, and superior preservation of spectral efficiency compared to benchmark estimators, while maintaining lower computational complexity than the conventional MMSE estimator.
Abstract:This paper analyzes the impact of spatially correlated additive noise on the minimum mean-square error (MMSE) estimation of multiple-input multiple-output (MIMO) channels from one-bit quantized observations. Although additive noise can be correlated in practical scenarios, e.g., due to jamming, clutter, or other external disturbances, the effect of such correlation on the MMSE channel estimator in this setting remains unexplored in prior work. Against this backdrop, we derive a novel analytical expression for the general MIMO MMSE channel estimator, which is inherently nonlinear in one-bit observations, and accommodates arbitrary channel and noise correlation structures. To further characterize the impact of noise correlation, we subsequently specialize the general MMSE expression to certain tractable multi antenna configurations in which both the channel and the noise assume single-parameter constant correlation structures. Our analyses reveal nontrivial, noise-correlation-induced scenarios in which the estimator remains linear despite non-zero channel and noise correlation parameters. Moreover, the results indicate that, at low-to-medium signal-to-noise ratio, noise correlation improves the MMSE performance when channels are uncorrelated, but degrades performance when channels are strongly correlated.
Abstract:In this paper, the average symbol error probability (SEP) of a phase-quantized single-input multiple-output (SIMO) system with M-ary phase-shift keying (PSK) modulation is analyzed under Rayleigh fading and additive white Gaussian noise. By leveraging a novel method, we derive exact SEP expressions for a quadrature PSK (QPSK)-modulated n-bit phase-quantized SIMO system with maximum ratio combining (SIMO-MRC), along with the corresponding high signal-to-noise ratio (SNR) characterizations in terms of diversity and coding gains. For a QPSK-modulated 2-bit phase-quantized SIMO system with selection combining, the diversity and coding gains are further obtained for an arbitrary number of receive antennas, complementing existing results. Interestingly, the proposed method also reveals a duality between a SIMO-MRC system and a phase-quantized multiple-input single-output (MISO) system with maximum ratio transmission, when the modulation order, phase-quantization resolution, antenna configuration, and the channel state information (CSI) conditions are reciprocal. This duality enables direct inference to obtain the diversity of a general M-PSK-modulated n-bit phase-quantized SIMO-MRC system, and extends the results to its MISO counterpart. All the above results have been obtained assuming perfect CSI at the receiver (CSIR). Finally, the SEP analysis of a QPSK-modulated 2-bit phase-quantized SIMO system is extended to the limited CSIR case, where the CSI at each receive antenna is represented by only 2 bits of channel phase information. In this scenario, the diversity gain is shown to be further halved in general.
Abstract:Holographic multiple-input multiple-output (MIMO) enables electrically large continuous apertures, overcoming the physical scaling limits of conventional MIMO architectures with half-wavelength spacing. Their near-field operating regime requires channel models that jointly capture line-of-sight (LoS) and non-line-of-sight (NLoS) components in a physically consistent manner. Existing studies typically treat these components separately or rely on environment-specific multipath models. In this work, we develop a unified LoS+NLoS channel representation for holographic lines that integrates spatial-sampling-based and expansion-based formulations. Building on this model, we extend the wavenumber-division multiplexing (WDM) framework, originally introduced for purely LoS channels, to the LoS+NLoS scenario. Applying WDM to the NLoS component yields its angular-domain representation, enabling direct characterization through the power spectral factor and power spectral density. We further derive closed-form characterizations for isotropic and non-isotropic scattering, with the former recovering Jakes' isotropic model. Lastly, we evaluate the resulting degrees of freedom and ergodic capacity, showing that incorporating the NLoS component substantially improves the performance relative to the purely LoS case.
Abstract:This paper investigates a fluid antenna system (FAS) where a single-antenna transmitter communicates with a receiver equipped with a fluid antenna (FA) over a Rician fading channel. Considering that multiple ports among the M available FA ports can be activated, the receiver selects the best K with the highest instantaneous signal-to-noise ratio (SNR) and combines the received signals at the selected ports using maximum ratio combining. The statistics of the post-combining SNR are derived using a Laplace transform-based approach, which allows to analyze the outage probability (OP) of the FAS. Additional closed-form expressions for a lower bound on the OP and the asymptotic OP at high SNR are presented. Numerical results validate the analytical framework and demonstrate the interplay of key system parameters on the performance of the considered MRC-based FAS.
Abstract:The average symbol error probability (SEP) of a 1-bit quantized single-input multiple-output (SIMO) system is analyzed under Rayleigh fading channels and quadrature phase-shift keying (QPSK) modulation. Previous studies have partially characterized the diversity gain for selection combining (SC). In this paper, leveraging a novel analytical method, an exact analytical SEP expression is derived for a 1-bit quantized SIMO system employing QPSK modulation at the transmitter and maximum ratio combining (MRC) at the receiver. The corresponding diversity and coding gains of a SIMO-MRC system are also determined. Furthermore, the diversity and coding gains of a 1-bit quantized SIMO-SC system are quantified for an arbitrary number of receive antennas, thereby extending and complementing prior results.




Abstract:6G must be designed to withstand, adapt to, and evolve amid prolonged, complex disruptions. Mobile networks' shift from efficiency-first to sustainability-aware has motivated this white paper to assert that resilience is a primary design goal, alongside sustainability and efficiency, encompassing technology, architecture, and economics. We promote resilience by analysing dependencies between mobile networks and other critical systems, such as energy, transport, and emergency services, and illustrate how cascading failures spread through infrastructures. We formalise resilience using the 3R framework: reliability, robustness, resilience. Subsequently, we translate this into measurable capabilities: graceful degradation, situational awareness, rapid reconfiguration, and learning-driven improvement and recovery. Architecturally, we promote edge-native and locality-aware designs, open interfaces, and programmability to enable islanded operations, fallback modes, and multi-layer diversity (radio, compute, energy, timing). Key enablers include AI-native control loops with verifiable behaviour, zero-trust security rooted in hardware and supply-chain integrity, and networking techniques that prioritise critical traffic, time-sensitive flows, and inter-domain coordination. Resilience also has a techno-economic aspect: open platforms and high-quality complementors generate ecosystem externalities that enhance resilience while opening new markets. We identify nine business-model groups and several patterns aligned with the 3R objectives, and we outline governance and standardisation. This white paper serves as an initial step and catalyst for 6G resilience. It aims to inspire researchers, professionals, government officials, and the public, providing them with the essential components to understand and shape the development of 6G resilience.
Abstract:Extremely large-scale multiple-input multiple-output (XL-MIMO) systems operating at sub-THz carrier frequencies represent a promising solution to meet the demands of next-generation wireless applications. This work focuses on sparse channel estimation for XL-MIMO systems operating in the near-field (NF) regime. Assuming a practical subarray-based architecture, we develop a NF channel estimation framework based on adaptive filtering, referred to as \textit{polar-domain zero-attracting least mean squares (PD-ZALMS)}. The proposed method achieves significantly superior channel estimation accuracy and lower computational complexity compared with the well-established polar-domain orthogonal matching pursuit. In addition, the proposed PD-ZALMS is shown to outperform the oracle least-squares channel estimator at low-to-moderate signal-to-noise ratio.




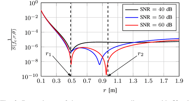
Abstract:Shifting 6G-and-beyond wireless communication systems to higher frequency bands and the utilization of massive multiple-input multiple-output arrays will extend the near-field region, affecting beamforming and user localization schemes. In this paper, we propose a localization-based beam-focusing strategy that leverages the dominant line-of-sight (LoS) propagation arising at mmWave and sub-THz frequencies. To support this approach, we analyze the 2D-MUSIC algorithm for distance estimation by examining its spectrum in simplified, tractable setups with minimal numbers of antennas and users. Lastly, we compare the proposed localization-based beam focusing, with locations estimated via 2D-MUSIC, with zero forcing with pilot-based channel estimation in terms of uplink sum spectral efficiency. Our numerical results show that the proposed method becomes more effective under LoS-dominated propagation, short coherence blocks, and strong noise power arising at high carrier frequencies and with large bandwidths.
Abstract:To leverage high-frequency bands in 6G wireless systems and beyond, employing massive multiple-input multipleoutput (MIMO) arrays at the transmitter and/or receiver side is crucial. To mitigate the power consumption and hardware complexity across massive frequency bands and antenna arrays, a sacrifice in the resolution of the data converters will be inevitable. In this paper, we consider a point-to-point massive MIMO system with 1-bit digital-to-analog converters at the transmitter, where the linearly precoded signal is supplemented with dithering before the 1-bit quantization. For this system, we propose a new maximumlikelihood (ML) data detection method at the receiver by deriving the mean and covariance matrix of the received signal, where symbol-dependent linear minimum mean squared error estimation is utilized to efficiently linearize the transmitted signal. Numerical results show that the proposed ML method can provide gains of more than two orders of magnitude in terms of symbol error rate over conventional data detection based on soft estimation.