Abstract:When humans face problems beyond their immediate capabilities, they rely on tools, providing a promising paradigm for improving visual reasoning in multimodal large language models (MLLMs). Effective reasoning, therefore, hinges on knowing which tools to use, when to invoke them, and how to compose them over multiple steps, even when faced with new tools or new tasks. We introduce \textbf{AdaReasoner}, a family of multimodal models that learn tool use as a general reasoning skill rather than as tool-specific or explicitly supervised behavior. AdaReasoner is enabled by (i) a scalable data curation pipeline exposing models to long-horizon, multi-step tool interactions; (ii) Tool-GRPO, a reinforcement learning algorithm that optimizes tool selection and sequencing based on end-task success; and (iii) an adaptive learning mechanism that dynamically regulates tool usage. Together, these components allow models to infer tool utility from task context and intermediate outcomes, enabling coordination of multiple tools and generalization to unseen tools. Empirically, AdaReasoner exhibits strong tool-adaptive and generalization behaviors: it autonomously adopts beneficial tools, suppresses irrelevant ones, and adjusts tool usage frequency based on task demands, despite never being explicitly trained to do so. These capabilities translate into state-of-the-art performance across challenging benchmarks, improving the 7B base model by +24.9\% on average and surpassing strong proprietary systems such as GPT-5 on multiple tasks, including VSP and Jigsaw.
Abstract:Front-end engineering involves a complex workflow where engineers conceptualize designs, translate them into code, and iteratively refine the implementation. While recent benchmarks primarily focus on converting visual designs to code, we present FullFront, a benchmark designed to evaluate Multimodal Large Language Models (MLLMs) \textbf{across the full front-end development pipeline}. FullFront assesses three fundamental tasks that map directly to the front-end engineering pipeline: Webpage Design (conceptualization phase), Webpage Perception QA (comprehension of visual organization and elements), and Webpage Code Generation (implementation phase). Unlike existing benchmarks that use either scraped websites with bloated code or oversimplified LLM-generated HTML, FullFront employs a novel, two-stage process to transform real-world webpages into clean, standardized HTML while maintaining diverse visual designs and avoiding copyright issues. Extensive testing of state-of-the-art MLLMs reveals significant limitations in page perception, code generation (particularly for image handling and layout), and interaction implementation. Our results quantitatively demonstrate performance disparities across models and tasks, and highlight a substantial gap between current MLLM capabilities and human expert performance in front-end engineering. The FullFront benchmark and code are available in https://github.com/Mikivishy/FullFront.




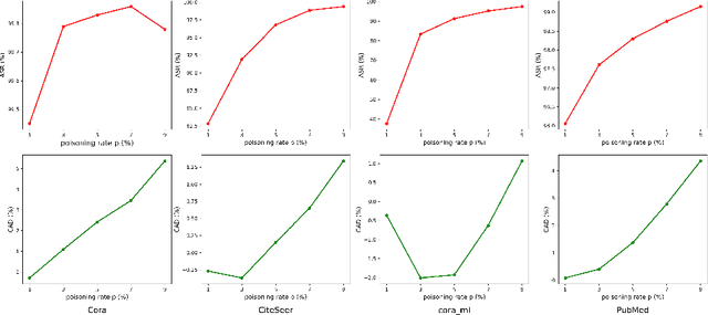
Abstract:Graph Convolutional Networks (GCNs) have shown excellent performance in graph-structured tasks such as node classification and graph classification. However, recent research has shown that GCNs are vulnerable to a new type of threat called the backdoor attack, where the adversary can inject a hidden backdoor into the GCNs so that the backdoored model performs well on benign samples, whereas its prediction will be maliciously changed to the attacker-specified target label if the hidden backdoor is activated by the attacker-defined trigger. Clean-label backdoor attack and semantic backdoor attack are two new backdoor attacks to Deep Neural Networks (DNNs), they are more imperceptible and have posed new and serious threats. The semantic and clean-label backdoor attack is not fully explored in GCNs. In this paper, we propose a semantic and clean-label backdoor attack against GCNs under the context of graph classification to reveal the existence of this security vulnerability in GCNs. Specifically, SCLBA conducts an importance analysis on graph samples to select one type of node as semantic trigger, which is then inserted into the graph samples to create poisoning samples without changing the labels of the poisoning samples to the attacker-specified target label. We evaluate SCLBA on multiple datasets and the results show that SCLBA can achieve attack success rates close to 99% with poisoning rates of less than 3%, and with almost no impact on the performance of model on benign samples.




Abstract:Accurately and promptly predicting accidents among surrounding traffic agents from camera footage is crucial for the safety of autonomous vehicles (AVs). This task presents substantial challenges stemming from the unpredictable nature of traffic accidents, their long-tail distribution, the intricacies of traffic scene dynamics, and the inherently constrained field of vision of onboard cameras. To address these challenges, this study introduces a novel accident anticipation framework for AVs, termed CRASH. It seamlessly integrates five components: object detector, feature extractor, object-aware module, context-aware module, and multi-layer fusion. Specifically, we develop the object-aware module to prioritize high-risk objects in complex and ambiguous environments by calculating the spatial-temporal relationships between traffic agents. In parallel, the context-aware is also devised to extend global visual information from the temporal to the frequency domain using the Fast Fourier Transform (FFT) and capture fine-grained visual features of potential objects and broader context cues within traffic scenes. To capture a wider range of visual cues, we further propose a multi-layer fusion that dynamically computes the temporal dependencies between different scenes and iteratively updates the correlations between different visual features for accurate and timely accident prediction. Evaluated on real-world datasets--Dashcam Accident Dataset (DAD), Car Crash Dataset (CCD), and AnAn Accident Detection (A3D) datasets--our model surpasses existing top baselines in critical evaluation metrics like Average Precision (AP) and mean Time-To-Accident (mTTA). Importantly, its robustness and adaptability are particularly evident in challenging driving scenarios with missing or limited training data, demonstrating significant potential for application in real-world autonomous driving systems.




Abstract:Graph Convolutional Networks (GCNs) have shown excellent performance in dealing with various graph structures such as node classification, graph classification and other tasks. However,recent studies have shown that GCNs are vulnerable to a novel threat known as backdoor attacks. However, all existing backdoor attacks in the graph domain require modifying the training samples to accomplish the backdoor injection, which may not be practical in many realistic scenarios where adversaries have no access to modify the training samples and may leads to the backdoor attack being detected easily. In order to explore the backdoor vulnerability of GCNs and create a more practical and stealthy backdoor attack method, this paper proposes a clean-graph backdoor attack against GCNs (CBAG) in the node classification task,which only poisons the training labels without any modification to the training samples, revealing that GCNs have this security vulnerability. Specifically, CBAG designs a new trigger exploration method to find important feature dimensions as the trigger patterns to improve the attack performance. By poisoning the training labels, a hidden backdoor is injected into the GCNs model. Experimental results show that our clean graph backdoor can achieve 99% attack success rate while maintaining the functionality of the GCNs model on benign samples.




Abstract:Graph Neural Networks (GNNs) are a class of deep learning models capable of processing graph-structured data, and they have demonstrated significant performance in a variety of real-world applications. Recent studies have found that GNN models are vulnerable to backdoor attacks. When specific patterns (called backdoor triggers, e.g., subgraphs, nodes, etc.) appear in the input data, the backdoor embedded in the GNN models is activated, which misclassifies the input data into the target class label specified by the attacker, whereas when there are no backdoor triggers in the input, the backdoor embedded in the GNN models is not activated, and the models work normally. Backdoor attacks are highly stealthy and expose GNN models to serious security risks. Currently, research on backdoor attacks against GNNs mainly focus on tasks such as graph classification and node classification, and backdoor attacks against link prediction tasks are rarely studied. In this paper, we propose a backdoor attack against the link prediction tasks based on GNNs and reveal the existence of such security vulnerability in GNN models, which make the backdoored GNN models to incorrectly predict unlinked two nodes as having a link relationship when a trigger appear. The method uses a single node as the trigger and poison selected node pairs in the training graph, and then the backdoor will be embedded in the GNN models through the training process. In the inference stage, the backdoor in the GNN models can be activated by simply linking the trigger node to the two end nodes of the unlinked node pairs in the input data, causing the GNN models to produce incorrect link prediction results for the target node pairs.




Abstract:With the rapid development of global road transportation, countries worldwide have completed the construction of road networks. However, the ensuing challenge lies in the maintenance of existing roads. It is well-known that countries allocate limited budgets to road maintenance projects, and road management departments face difficulties in making scientifically informed maintenance decisions. Therefore, integrating various artificial intelligence decision-making techniques to thoroughly explore historical maintenance data and adapt them to the context of road maintenance scientific decision-making has become an urgent issue. This integration aims to provide road management departments with more scientific tools and evidence for decision-making. The framework proposed in this paper primarily addresses the following four issues: 1) predicting the pavement performance of various routes, 2) determining the prioritization of maintenance routes, 3) making maintenance decisions based on the evaluation of the effects of past maintenance, and considering comprehensive technical and management indicators, and 4) determining the prioritization of maintenance sections based on the maintenance effectiveness and recommended maintenance effectiveness. By tackling these four problems, the framework enables intelligent decision-making for the optimal maintenance plan and maintenance sections, taking into account limited funding and historical maintenance management experience.